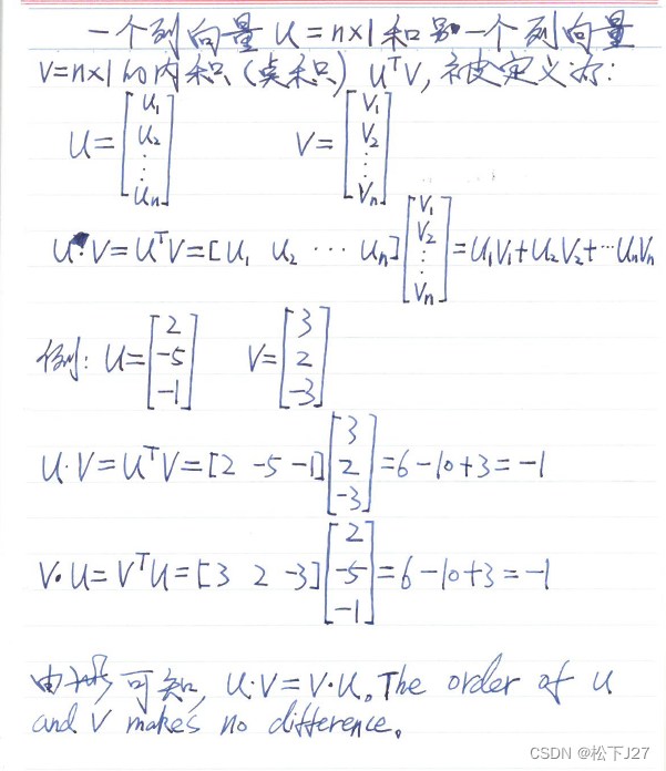
向量与向量的乘法 - 内积
两个向量的内积,也叫点积(但在我们这个笔记的前半部分,我们说的,或者用到的更多的应该是点积),他的计算方式是两个同维度向量(例如两个n维向量)的内部元素从1到n,逐一相乘再相加后的累加和,得到的是一个数。注意,这里的v和w是两个2x1的向量。
Tips: 两个相同向量v的内积,即,等于
,等于向量v的长度的平方,即
。
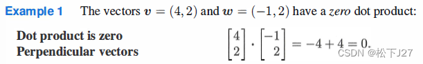
两个相互垂直的向量内积为0
如果两个向量的点积为0,则他们的夹角是90度。就如上图中的w,v一样,他们是相互垂直的。最明显的例子就是i=(1,0)和j=(0,1)这两组向量了。i*j=0+0=0. (点积的这一特性将会被用于求解最小二乘)
内积的计算与顺序无关
n维向量的点积
这里举的例子都是二维向量的点积,对于n维向量的点积有:
(全文完)
作者 --- 松下J27
格言摘抄:謹 守 口 的 , 得 保 生 命 ; 大 張 嘴 的 , 必 致 敗 亡 。《箴言》13章3节
参考文献(鸣谢):
文中截图均来自于《Introduction to Linear Algebra》,5th Edition - Gilbert Strang
(配图与本文无关)
版权声明:所有的笔记,可能来自很多不同的网站和说明,在此没法一一列出,如有侵权,请告知,立即删除。欢迎大家转载,但是,如果有人引用或者COPY我的文章,必须在你的文章中注明你所使用的图片或者文字来自于我的文章,否则,侵权必究。 ----松下J27
