参考书籍:《计算机操作系统》第四版 汤小丹等编著
- 点此链接可跳转到:操作系统笔记整理——目录索引页
- 死锁概述
- 产生死锁的原因
- 产生死锁的四个必要条件
- 处理死锁的方法
- 预防死锁
- 破坏互斥条件
- 破坏请求和保持条件
- 破坏不可剥夺条件
- 破坏环路等待条件
- 避免死锁
- 银行家算法
- 实质
- 前提
- 数据结构
- 算法描述
- 资源分配算法
- 安全性算法
- 例题
- 死锁的检测和解除
- 资源分配图
- 资源分配图的化简方法
- 死锁的解除
死锁是多个进程在运行过程中因争夺资源而造成的一种僵局,若无外力作用,这些进程都将无法向前推进。
- 参与死锁的进程数至少为两个
- 参与死锁的所有进程均等待资源
- 参与死锁的进程至少有两个已经占有资源
- 死锁进程是系统中当前进程集合的一个子集
1.竞争不可抢占资源引起死锁 2.竞争可消耗资源引起死锁 3.进程间推进顺序不当引起死锁
产生死锁的四个必要条件1.互斥条件:进程对分配到的资源进行排他性使用 2.请求和保持条件:进程已经保持了至少一个资源,但又提出了新的资源请求,而该资源已被其它进程占有,此时请求进程被阻塞,但对自己已经获得的资源保持不放 3.不可剥夺条件:进程已获得的资源,在未使用之前不能被抢占,只能在进程使用完时自己释放 4.环路等待条件:在发生死锁时,必然存在一个进程-资源的循环链,如P0等待一个P1占用的资源,P1等待P2占用的资源,P2等待P0占用的资源
处理死锁的方法1.鸵鸟方法:忽略死锁 2.预防死锁:通过设置某些限制条件,去破坏产生死锁的四个必要条件中的一个或几个 3.避免死锁:在资源的动态分配过程中,用某种方法防止系统进入不安全状态 4.检测死锁:允许系统在运行过程中发生死锁,但可设置检测机构及时检测死锁的发生,并可采取适当措施加以清除 5.解除死锁:检测出死锁后,采取适当措施将进程从死锁中解脱出来
预防死锁预防死锁是要破坏四个必要条件中的一个或几个,下面逐个条件分析
破坏互斥条件要想破坏互斥条件,就要允许多个进程同时访问资源,但由于资源本身固有特性的性质,此方法不可行
破坏请求和保持条件- 第一种协议:全分配,全释放:采用预先静态分配方法,即要求进程在运行之前一次性申请它所需要的全部资源,在它的资源未满足前,不把它投入运行。 摒弃了请求条件:在整个运行期间不会再提出资源请求 摒弃了保持条件:在该进程的等待期间,它并未占有任何资源
- 第二种协议:允许一个进程只获得运行初期所需的资源后,便开始运行。 摒弃保持条件:进程运行过程中必须释放已分配且已用完的资源,然后才能申请新的资源。
- 实施方案1:进程在申请新的资源不能立即得到满足而变为等待状态之前,必须释放已占有的全部资源,若需要再重新申请
- 实施方案2:进程申请的资源被其它进程占用时,可通过操作系统抢占这一资源
采用有序资源分配方法,即将系统中所有资源都按类型赋予一个编号,要求每个进程均按照资源序号递增的次序来请求资源,从而保证不出现环路。
例如:系统把所有资源按类型进行排队。如输入机 =1,打印机 =2,磁带 机 =3,磁盘机 =4。 如果一个进程已经分配了序号为 i 资源,它接下来请求的资源只能是那些排在 i 之后的资源。 当 iRj 分配边:Rj->Pi
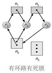
如果资源分配图中不存在环路,则系统中不存在死锁;反之,如果资源分配图中存在环路,则系统中可能存在死锁,也可能不存在死锁
- 寻找一个既不阻塞也不孤立的进程节点Pi,若无则算法结束;
- 去除Pi的所有分配边和请求边,使Pi成为一个孤立结点
- 转步骤(1)
在进行一系列化简后,若能消去图中所有的边,使所有进程都成为孤立结点,则称该图是可完全简化的;反之,称该图是不可完全简化的 孤立结点:没有请求边和分配边与之相连 阻塞结点:有请求边但资源无法满足其要求 死锁定理:出现死锁的充分条件是资源分配图不可完全简化
可以完全简化 不可完全简化,三个进程结点均为阻塞结点 资源分配图的化简结果与化简顺序无关,最终结果相同
常用的解除死锁方法有两种:
- 资源剥夺法: 当发现死锁后,从其它进程剥夺足够数量的资源给死锁进 程,以解除死锁状态。
- 撤消进程法: 采用强制手段从系统中撤消一个/一部分死锁进程,并剥夺这些进程的资源供其它死锁进程使用。
- 撤消全部死锁进程。
- 按照某种顺序逐个地撤消进程,直至有足够的资源可用,使死锁状态消除 为止。
