1.1、线性无关、相关的定义
两次反证法, (1) 证明线性表示,(2) 唯一解
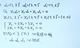
列向量直接转为系数矩阵 克拉默法则
