超级IT网
在线工具
开发文档
小游戏
首页
PHP
JAVA
JSON
用户登录
您当前的位置:
首页
>
宝哥大数据
高阶导数
宝哥大数据
发布时间:2020-02-20 17:04:07 ,浏览量:2
一、高阶高数 1.1、由加速度引出二阶导数
1.2、高阶导数的定义
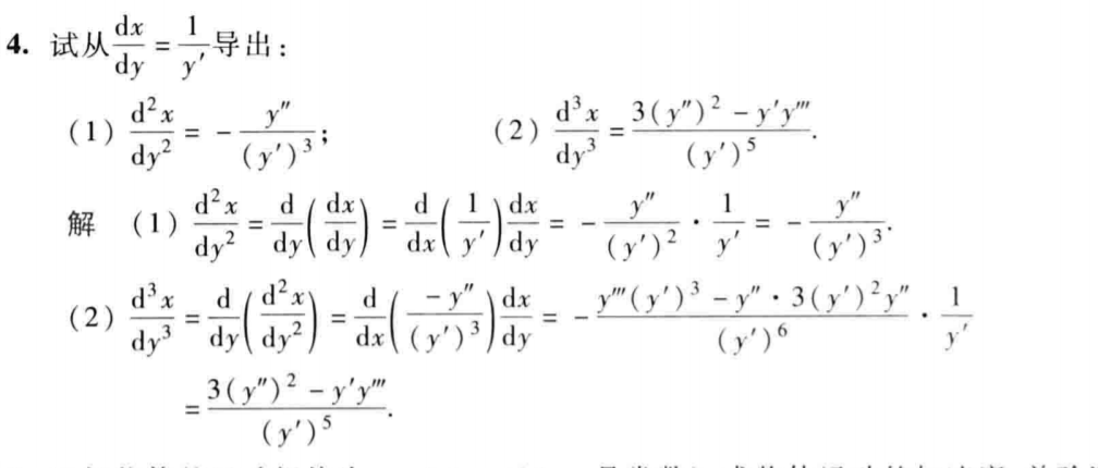
二、习题 2.1、习题1: 添加中间变量
关注
打赏
1688896170
提交评论
查看更多评论
宝哥大数据
暂无认证
2
浏览
0
关注
985
博文
0
收益
0
浏览
0
点赞
0
打赏
0
留言
私信
关注
热门博文
数据仓库思维导图
面试系列文章
实时数仓
impala目录导图
kudu导图目录
Flink目录导读
Redis目录
python导图目录
ES入门与进阶
Linux导图目录
[ 申请 ]
友情链接:
传奇私服
南島屋
My命理学
快连vpn
快连vpn
搜外友链
笔趣阁
爱思助手
ClashX教程
绘画宝宝
配音宝宝
立即登录/注册
微信扫码登录