一、隐函数的导数
1.1、隐函数与显函数
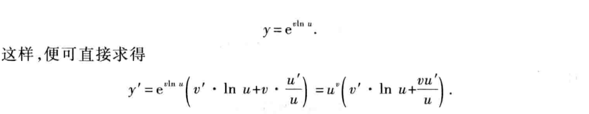
y = xsinx 可以写成esinxlnx ,然后对方程两边同时对x求导,上边方法运用对数求导法
(4-2)将t消去有:
