一、定积分问题举例
1.1、曲面梯形面积
另一种定义 与积分变量符号无关
矩形法 梯形法 抛物线法(辛普森法)
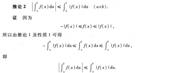
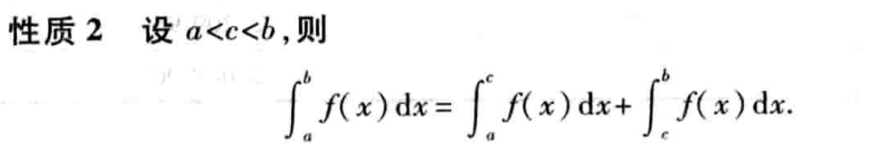
四、定积分性质 4.0、补充使用定积分定义证明
- 连续函数的介值定理及其推论
- 注意那个积分项是一个确定的值(假设确定之为Y),Y在[m, M]之间, 在以m,M值域的区间,运用介值定理,则f© = Y, 整理一下,就是积分中值公式
