您当前的位置: 首页 >  liyatjj leetcode

LeetCode最大数值

liyatjj 发布时间:2022-05-28 10:29:59 ,浏览量:4

最大数值

编写一个方法,找出两个数字a和b中最大的那一个。不得使用if-else或其他比较运算符。

示例:

输入: a = 1, b = 2 输出: 2

来源:LeetCode

一开始看到的确没什么思路,还是得看完题解之后,明白数值在计算机内的存储之后才能明白。

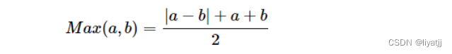
对于两个数当中的最大值,在数学中: 在这里插入图片描述 所以也可以不用运算符和if-else语句。 但是有一个点要注意的是a-b又可能会溢出,比如两个特别大的数,一正一负相减就会特别大,为了防止数值溢出,要用long来接收a和b,要注意,最后的时候应该把数值再强转回int型。

class Solution {
    public int maximum(int a, int b) {
        //long num=a-b;
        long c=a,d=b;
        return (int)((Math.abs(c-d)+c+d)/2);
    }
}

还有一种解法就是移位操作,计算机中右移高位会补符号位,当long型数据移位63位之后,结果就是其符号位了,负数的话就是-1,正数应该是0。 当long a-b移位之后确定是-1(k的值)的话,就能说明a

关注
打赏
1688896170
查看更多评论

liyatjj

暂无认证

  • 4浏览

    0关注

    99博文

    0收益

  • 0浏览

    0点赞

    0打赏

    0留言

私信
关注
热门博文
立即登录/注册

微信扫码登录

0.0460s