Warm up
warm up是深度学习炼丹时常用的一种手段,由于一开始参数不稳定,梯度较大,如果此时学习率设置过大可能导致数值不稳定。使用warm up有助于减缓模型在初始阶段对mini-batch的提前过拟合现象,保持分布的平稳,其次也有助于保持模型深层的稳定性。
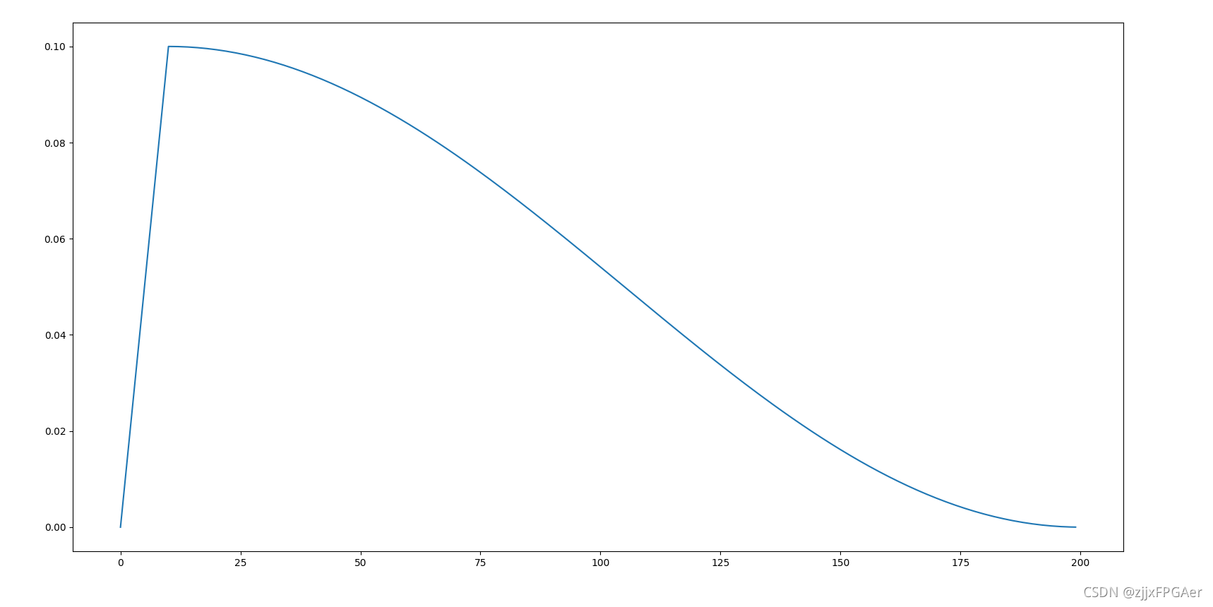
Cosine Anneal
import matplotlib.pyplot as plt
import math
import torch
from torchvision.models import resnet18
from math import cos, pi
def adjust_learning_rate(optimizer, current_epoch,max_epoch,lr_min=0,lr_max=0.1,warmup=True):
warmup_epoch = 10 if warmup else 0
if current_epoch < warmup_epoch:
lr = lr_max * current_epoch / warmup_epoch
else:
lr = lr_min + (lr_max-lr_min)*(1 + cos(pi * (current_epoch - warmup_epoch) / (max_epoch - warmup_epoch))) / 2
for param_group in optimizer.param_groups:
param_group['lr'] = lr
model = resnet18(pretrained=False)
optimizer = torch.optim.SGD(model.parameters(),lr=0.1)
lr_max=0.1
lr_min=0.00001
max_epoch=200
lrs=[]
for epoch in range(max_epoch):
adjust_learning_rate(optimizer=optimizer,current_epoch=epoch,max_epoch=max_epoch,lr_min=lr_min,lr_max=lr_max,warmup=True)
print(optimizer.param_groups[0]['lr'])
lrs.append(optimizer.param_groups[0]['lr'])
optimizer.step()
plt.plot(lrs)
plt.show()
结果展示

