目录
1. Overview
1、Human Intelligence
2、Machine Learning
3、How to develop learning system?
4、Traditional Machine Learning Strategy
5、SVM挑战
6、Brief History of Neural Network
7、流行的深度学习框架
2. Linear Model(线性模型)
模型为 y = w * x 的代码:
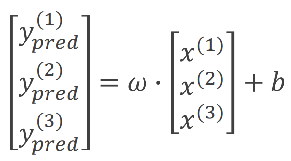
模型为 y = w * x + b 的代码:
3. Gradient Descent(梯度下降算法)
1、寻找最优w值的几种方法
2、梯度下降法(Gradient Descent Algorithm)
3、随机梯度下降法(Stochastic Gradient Descent Algorithm)
4. Back Propagation(反向传播)
1、计算图
2、Tensor in PyTorch
5. Linear Regression with Pytorch(用Pytorch实现线性回归)
1、Before:线性模型如何训练、如何更新权重
2、Now:如何构造神经网络 nn.Module、损失函数 loss、随机梯度下降的优化器
(1)Prepare dataset
(2)设计模型
(3)构造损失函数和优化器
(4)训练周期
Exercise
6. Logistic Regression(逻辑斯蒂回归)
分类问题中的数据集:
Sigmoid 函数:
逻辑回归模型
损失函数(Binary Cross Entropy,二分类交叉熵)
逻辑回归的完整代码
7. Multiple Dimension Input(处理多维特征的输入)
Mini-Batch(N个样本)
例子:糖尿病预测
8. Dataset and Dataloader(加载数据集)
区分 Epoch Batch-Size Iteration
Dataset:提供索引和 len()
DataLoader:batch_size=2,shuffle=True
如何定义数据集
例子:糖尿病数据集(Diabetes Dataset)
torchvision.datasets
Exercise
9. Softmax Classifier(多分类问题)
十分类问题神经网络应该怎么设计?
Loss Function - Cross Entropy
对比:CrossEntropyLoss(交叉熵损失) 和 NLLLoss(NLL损失)
Mini-Batch
对 MNIST 数据集构建分类器
Exercise
1. OverviewPyTorch 是一种深度学习框架,本课程代码版本:Pytorch 0.4
1、Human Intelligence-
推理(Infer):外部信息或已有信息输入 ——> 决策 ——> 推理
-
预测(Prediction):把视觉上接收到的信息转换成抽象概念的过程 把真实世界的实体与抽象概念(实例化后才易理解)联系起来
- 推理(Infer):把用来作推理的大脑换为算法(AI)
- 预测(Prediction):用算法把视觉信息或自然语言文本转换为抽象概念
ML是从数据集中找算法 ——> 提模型 ——> 拿数据训练 ——> 验证效果 ——> 部署,和下面的算法设计思维方式中的四种算法,思路不同
- 监督学习(Supervised)—— Labeled Dataset(打上标签的数据)
- 基于统计的方法(如最大似然、最大后验)
(1)算法设计思维方式:
- 穷举法
- 贪心法:每一步只选当前看来最好的选择,如梯度下降
- 分治法:一分为二
- 动态规划
算法思路来源于人工的设定,而ML的算法思路来源于数据
(2)分类:
- AI > Machine Learning > Representation Learning > Deep Learning
- AI:如知识库(Knowledge Bases)、机器学习、机器视觉(Machine Vision)、因果推断、NLP
- Machine Learning:如逻辑回归(Logistic Regression)
- Representation Learning(表示学习):一种特征提取(原始数据特征特别多,用一种更好的方法表示数据样本)。如:浅层自动编码器(Shallow Autoencoders)
- Deep Learning:如多层感知机(MLPs)、卷积/循环神经网络。缺陷主要是可解释性差
(1)基于规则(Rule-based):手工设计程序
- 依赖于规则的制定,要有很强的背景知识,复杂目标规则难以制定
- 例:程序求原函数 构建知识库 ——> 等价变形规则 ——> 三角变换
- 如图搜索、树搜索等
(2)经典机器学习:
- 输入(关系型数据表中的记录或无结构输入)——> 手工提取特征 ——> 把向量与输出之间建立一个线性的映射
- 手工提取特征: 法1:筛选 法2:输入(图像、文本、语音等)变为向量/张量
--------------------------------------------------------------------------------------------------------------------------------
(3)表示学习:
- 为什么要特征提取? 维度诅咒:每一条数据样本(input)的特征越多,对样本数量的需求就越多(这样才可以满足大数定律,满足原分布)
- 学习提取出来的特征的向量,以及由高维空间到低维空间的表示(由高维空间压缩到低维空间,线性/非线性的映射),尽量保持高维空间的度量信息
- 表示学习/降维:学习器面临维度诅咒,维度越高,需要数据量越大
- 从数据训练中得到算法
(4)深度学习:
- 原来要训练专门的特征提取器,深度学习只用原始特征(非常简单的特征),做变换
- 传统表示学习方法:特征(无标签)与学习器(有标签)是分开训练的,机器学习中的无监督学习(无标签)即做特征提取的训练
- 深度学习是统一训练,是端到端的训练过程(End2End),即输入 ——> 模型(整个一起训练)——> 输出
- 手工设计特征的限制
- 不能很好地应对大数据集
- 越来越多的应用需要解决无结构数据(图像、文本、声音...)

- 神经网络来源:神经科学
- 深度学习来源:数学与工程学
(1)感知机
(2)人工神经网络
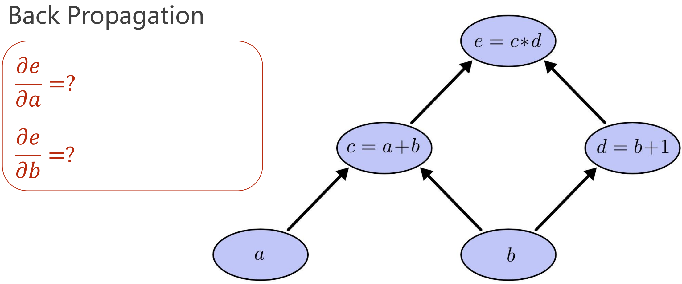
(3)反向传播(Back Propagation):求偏导
核心:计算图
先正向计算:前馈过程、原子计算

基本原子的偏导确定下来 ——> 计算图里的传播导数
模型易拓展,灵活性好
(4)LeNet-5 识别手写邮政编码
神经网络得以发展的三大因素:
- 算法 Algorithm
- 数据 Data
- 算力提升 Computation
- TensorFlow:Static Graph(静态图),灵活性低
- Pytorch:Dynamic Graph,灵活、易调试
- MxNet
安装Pytorch后:
- Win+R输入cmd,进入命令行
-
首先激活pytorch环境,输入
conda activate pytorch
激活pytorch环境后可以看到前面有个 (pytorch)
-
先输入
python
,再输入
import torch
,最后输入
print(torch.__version__)
结果如图所示:
准备Dataset ——> 选择/设计Model ——> 训练(人工/自动)——> 应用:infer(推理)

模型看不到y的两种情况:
- 测试test
- 模型上线后的推理
整个数据集分为:
(1)训练集:看得到x和y
实际将训练集再一分为二:
- 训练集:训练(过拟合:训练集误差很小,但也学了噪声)
- 开发集:评估(又叫验证集)
(2)测试集:只看得到x(判断模型的泛化能力,即对没见过的图像能否进行较好的识别)
---------------------------------------------------------------------------------------------------------------------------------
选择模型:一般先拿线性模型试试,效果不好再拿其他复杂的模型
如何找到最优权重w?
- 机器学习一般首先w取随机数(w = random value)
- 取了一个权重w后,评估偏移/计算误差(Evaluate Model Error)
对于一个样本来说: Loss Function

对于Training Set来说:Cost Function 平均平方误差(MSE)
穷举法:每一点都计算损失(实际中会先采样)
import numpy as np import matplotlib.pyplot as plt # 相同的索引对应一组样本 x_data = [1.0,2.0,3.0] y_data = [2.0,4.0,6.0] # 定义模型 def forward(x): return x * w # 定义损失函数 def loss(x,y): y_pred = forward(x) return (y_pred-y)*(y_pred-y) # 把权重(多个)及其对应的损失值保存到列表里 w_list = [] mse_list = [] # np.arange(start, end, step) 创建数组 for w in np.arange(0.0,4.1,0.1): # 从0.0到4.0,每次间隔0.1 print('w=',w) l_sum = 0 for x_val,y_val in zip(x_data,y_data): # zip()将两个列表的数据一对一对拼在一起 y_pred_val = forward(x_val) loss_val = loss(x_val,y_val) l_sum += loss_val # 没做均值 print('\t',x_val, y_val, y_pred_val, loss_val) # \t相当于一个tab键 print('MSE=',l_sum/3) print('------------------------') w_list.append(w) mse_list.append(l_sum/3)
真实的深度学习训练过程难以判断什么时候收敛,超参数:确定模型是否训练成功了,收敛还是发散?
- 可视化
- 打印日志
训练过程中实时画图的工具:visdom库
详解PyTorch可视化工具visdom(一)_奋斗の博客-CSDN博客_visdom
plt.plot(w_list,mse_list) plt.ylabel('loss') plt.xlabel('w') plt.show()
一般拿训练轮数(epoch)做横轴
---------------------------------------------------------------------------------------------------------------------------------
作业
画3D图:
- Matplotlib: The mplot3d Toolkit — Matplotlib 3.5.1 documentation
- np.meshgrid():numpy.meshgrid — NumPy v1.22 Manual
Matplotlib画3D图的示例代码:
import matplotlib.pyplot as plt from matplotlib import cm from matplotlib.ticker import LinearLocator import numpy as np fig, ax = plt.subplots(subplot_kw={"projection": "3d"}) # Make data. X = np.arange(-5, 5, 0.25) Y = np.arange(-5, 5, 0.25) X, Y = np.meshgrid(X, Y) R = np.sqrt(X**2 + Y**2) Z = np.sin(R) # Plot the surface. surf = ax.plot_surface(X, Y, Z, cmap=cm.coolwarm, linewidth=0, antialiased=False) # Customize the z axis. ax.set_zlim(-1.01, 1.01) ax.zaxis.set_major_locator(LinearLocator(10)) # A StrMethodFormatter is used automatically ax.zaxis.set_major_formatter('{x:.02f}') # Add a color bar which maps values to colors. fig.colorbar(surf, shrink=0.5, aspect=5) plt.show()
import matplotlib.pyplot as plt from matplotlib import cm from matplotlib.ticker import LinearLocator import numpy as np # Make data. x_data = [1.0, 2.0, 3.0] y_data = [2.0, 4.0, 6.0] # 定义模型 def forward(x): return x * w + b # 定义损失函数 def loss(x, y): y_pred = forward(x) return (y_pred - y) ** 2 # 定义空列表 w_list = [] b_list = [] mse_list = [] for w in np.arange(0.0, 4.1, 0.1): for b in np.arange(-2.0, 2.1, 0.1): print('w=',w,'b=',b) l_sum = 0 for x_val, y_val in zip(x_data, y_data): y_pred_val = forward(x_val) loss_val = loss(x_val, y_val) l_sum += loss_val print('\t', x_val, y_val, y_pred_val, loss_val) print("MSE=", l_sum/3) print('--------------------------------') w_list.append(w) b_list.append(b) mse_list.append(l_sum/3)
画3D图的代码(接上):
''' 此时得到的mse_list是一个列表 1、将其转化成矩阵(1681*1) 2、将其转化成41*41的矩阵(此时的w和b的值并不对应,即x axis与y axis反了) 3、故转置矩阵 ''' mse_list = np.array(mse_list) # 将列表转化成矩阵 mse_list = mse_list.reshape(41,41) # 将矩阵从1681*1变为41*41 mse_list = mse_list.transpose() # 转置矩阵 # w和b由于嵌套的for循环,每个值都出现了41次,故要去重,接下来使用meshgrid将w和b转化成41*41的矩阵 w, b = np.meshgrid(np.unique(w_list), np.unique(b_list)) fig, ax = plt.subplots(subplot_kw={"projection": "3d"}) # Plot the surface. surf = ax.plot_surface(w, b, mse_list, cmap=cm.coolwarm, linewidth=0, antialiased=False) # Customize the z axis. ax.set_zlim(0, 35) ax.zaxis.set_major_locator(LinearLocator(10)) # A StrMethodFormatter is used automatically ax.zaxis.set_major_formatter('{x:.00f}') # . 02f效果是z轴上的数字尺度保留两位小数 # Add a color bar which maps values to colors. fig.colorbar(surf, shrink=0.5, aspect=5) # 给每个轴标上含义 ax.set_xlabel('w') ax.set_ylabel('b') ax.text2D(0.4, 0.92, "Cost Values", transform=ax.transAxes) plt.show()
梯度下降:训练模型的一种方法
1、寻找最优w值的几种方法
- 穷举法:w在一个区间里一个一个的尝试,直到找到最小cost时的w值
- 分治法:曲线若为光滑的凸函数可用分治法,若为不规则曲面,很容易错过真正的最优点
- 梯度下降(贪心法):只看眼前最好的选择,只能得到局部区域最好的结果,难以找到全局最优。梯度下降法中,负梯度方向是下降方向,也是往cost最小值走的方向 鞍点:梯度为0的点
代码(训练前):
# 准备训练集 x_data = [1.0,2.0,3.0] y_data = [2.0,4.0,6.0] # 设置一个初始权重(随机) w = 3.0 # 定义模型 def forward(x): return x*w # 定义损失函数 def cost(xs,ys): # xs和ys是形参,代表着把x和y所有的数据都拿进来进行运算 cost = 0 for x,y in zip(xs,ys): y_pred = forward(x) cost += (y_pred - y)**2 # 平方 return cost/len(xs) # len(xs)为样本数量 # 定义梯度函数(即cost函数对权重w求偏导) def gradient(xs,ys): grad = 0 for x,y in zip(xs,ys): grad += 2*x*(x*w-y) return grad/len(xs) print('Predict before training',4,forward(4)) # Predict before training 4 12.0
代码(训练):
epoch_list = [] cost_list = [] # 更新w for epoch in range(100): # 训练100轮 cost_val = cost(x_data,y_data) grad_val = gradient(x_data,y_data) w -= 0.01*grad_val # 学习率设置为0.01 print('Epoch:',epoch,"w=",w,'loss=',cost_val) epoch_list.append(epoch) cost_list.append(cost_val) print('Predict after training',4,forward(4)) # Predict after training 4 8.000222241378795

代码(画图):
import matplotlib.pyplot as plt plt.plot(epoch_list,cost_list) plt.ylabel('cost') plt.xlabel('epoch') plt.show()
注:cost是针对多个样本来说的,loss是针对一个样本来说的
--------------------------------------------------------------------------------------------------------------------------------
1、真实场景中,损失很难降到0,因为数据中是有噪声的,所以也不知道真正的最小值到底是多少,如何辨别?
绘图时可以做一个指数加权均值,使cost函数的图像变得更平滑,这样更容易观察整体的下降趋势
加权平滑公式:C0'=C0,Ci' = βCi + (1-β)Ci-1',其中β为权重
其中:C0表示第0轮的损失,C1表示第1轮的损失... 更新后:C0',C1'...
2、对于训练集来说,若训练时cost的图像下降后又上升了,说明训练发散了,无法收敛,训练失败了(而不是最小值的地方是cost最小)
训练失败的最常见原因是:学习率取大了
3、随机梯度下降法(Stochastic Gradient Descent Algorithm)在神经网络中被证明十分有效
为什么使用随机梯度下降?
若所有样本算出来的损失函数图像里有鞍点,那么到鞍点处就无法继续下降了。若每次只算其中一个样本的损失函数,会引入随机噪声,这样即使陷入鞍点,随机噪声可能将我们向前推动,跨越鞍点,向最优值前进
代码:
x_data = [1.0,2.0,3.0] y_data = [2.0,4.0,6.0] w = 1.0 def forward(x): return x*w def loss(x,y): y_pred = forward(x) return (y_pred - y)**2 def gradient(x,y): return 2*x*(x*w-y) print('Predict before training',4,forward(4)) # Predict before training 4 4.0 # 对每一个样本的梯度进行更新 for epoch in range(100): for x,y in zip(x_data,y_data): grad=gradient(x,y) w -= 0.01*grad print('\tgrad:',x,y,grad) l = loss(x,y) print("progress:",epoch,"w:",w,"loss",l) print('Predict after training',4,forward(4)) # Predict after training 4 7.999999999999997
用梯度下降计算梯度时,f(xi) 和 f(x i+1) 时是没有互相依赖关系的,即这些运算是可以并行的,但性能不如随机梯度下降;
但在随机梯度下降中,xi 的梯度要对w进行更新,下一个样本更新时的w是从上一个样本中拿过来的。即两个样本之间的梯度下降是不能并行化的,是有依赖的,时间复杂度高
即:梯度下降效率高,可以利用并行化运算的优势;随机梯度下降学习器性能更好,更容易找到最优点,但是运算性能低,无法利用并行性,时间复杂度高
在深度学习中,采用一种折中的方式:Mini-Batch 批量随机梯度下降。每次用若干个一组的样本去求相应的梯度,进行更新
4. Back Propagation(反向传播)反向传播:在图上进行梯度传播,是神经网络中非常重要的算法
线性模型可以看成一个非常简单的神经网络
把网络看成一个图,在图上传播梯度,最终根据链式法则求出梯度
1、计算图
若不加激活函数,不管有多少层,最终都能统一成 wx+b 的形式,也就是说层数多少是没有区别的
所以,为了提高模型的复杂度,在每一层都要加非线性变换函数,如Sigmoid
链式法则:
得到相应导数后就可以做权重更新了
线性模型的计算图:
思路: 先forward,再backward,求梯度(更新)
保存loss,可视化,判断训练是否收敛
---------------------------------------------------------------------------------------------------------------------------------
2、Tensor in PyTorchTensor 是 Pytorch 里的基本数据单元,可以存标量、向量、矩阵、高维度Tensor
一个 Tensor 包含权重值w(Data)和损失对权重的导数(Grad)
- 用 Tensor 计算就是在构建计算图
- w.grad.item() 把梯度里的数值直接拿出来变为标量
- w.grad.data 取张量的data,不会建立计算图,在权重更新时不使用张量

用 Pytorch 实现线性模型:
代码:
import torch x_data = [1.0,2.0,3.0] y_data = [2.0,4.0,6.0] w = torch.Tensor([1.0]) # 选择一个权重,创建一个Tensor变量,值为1.0 w.requires_grad = True # 需要计算梯度 def forward(x): return x*w # w是tensor类型的,x会自动类型转换为tensor def loss(x,y): # 每调用一次loss,就是在动态构建一次计算图 y_pred = forward(x) return (y_pred-y)**2 print('predict before training',4,forward(4).item()) # predict before training 4 4.0 # 训练过程(随机梯度下降) for epoch in range(100): for x,y in zip(x_data,y_data): l=loss(x,y) # 前馈只需计算loss l.backward() # 每进行一次反向传播,梯度存到w里,计算图即被释放 print('\tgrad:',x,y,w.grad.item()) w.data -= 0.01*w.grad.data w.grad.data.zero_() # 把权重里的梯度数据清零 print("progress:",epoch,l.item()) print('predict after training',4,forward(4).item()) # predict after training 4 7.999998569488525
若想累加损失,循环前加一句 sum=0,循环中加一句 sum += l.item()。因为张量做加法运算会构建计算图,l本身是张量tensor类型,所以要调用 .item()。否则,sum是关于l的计算图,非常吃内存,且又没在sum上进行backward,不需要构建计算图
- 模型:线性模型
- 优化目标:损失函数(标量值)
随机梯度下降的核心:求出损失关于每一个权重的梯度,用随机梯度下降对权重进行更新
用Pytorch,代码有非常好的弹性,易扩展,易构造更复杂的神经网络
梯度下降训练:前馈算损失,反馈算梯度,更新权重
(1)Prepare datasetx 和 y 的值必须为矩阵
知道 x 和 y_pred 的维度,就能确定 w 和 b 的维度
loss 必须是一个标量,因为对 loss 调用 backward,对整个计算图进行反向传播,而向量无法用 backward
设计模型时不用写 backward(),因为 Module 构造的对象会自动根据计算图实现 backward 的过程
要使对象可调用,要定义 __call__() 方法
最后一批 minibatch 数量不够时,可以求均值 1/N
优化器不会构建计算图
还未收敛则增加训练次数 epoch
前馈、反馈、更新
完整代码:
import torch # step1 x_data = torch.Tensor([[1.0],[2.0],[3.0]]) y_data = torch.Tensor([[2.0],[4.0],[6.0]]) # step2 class LinearModel(torch.nn.Module): # LinearModel继承nn.Module这个父类 def __init__(self): # 构造函数(初始化对象时默认调用) super(LinearModel,self).__init__() # 调用父类的构造 self.linear = torch.nn.Linear(1,1) # nn.Linear类,构造对象,包含权重w和偏置b两个tensor def forward(self,x): # 前馈时要执行的计算 y_pred = self.linear(x) return y_pred model = LinearModel() # 实例化 # step3 criterion = torch.nn.MSELoss(size_average=False) # nn.MSELoss继承自nn.Module optimizer = torch.optim.SGD(model.parameters(),lr=0.01) # step4 for epoch in range(1000): y_pred = model(x_data) # 前馈:预测,算y_pred loss = criterion(y_pred,y_data) # 前馈:损失,算loss print(epoch,loss) # loss自动调用__str__(),不会产生计算图 optimizer.zero_grad() # 梯度归零 loss.backward() # 反向传播 optimizer.step() # 更新 # 输出权重和偏置 print('w=',model.linear.weight.item()) print('b=',model.linear.bias.item()) # 测试模型 x_test = torch.Tensor([[4.0]]) y_test = model(x_test) print('y_pred=',y_test.data)
--------------------------------------------------------------------------------------------------------------------------------
Exercise1、尝试不同的优化器
2、资料
Learning PyTorch with Examples — PyTorch Tutorials 1.10.1+cu102 documentation
逻辑回归(Logistic Regression)是机器学习任务的分类问题(y 属于离散集合)
对比:线性回归
线性回归中的 y 属于实数(连续空间)

(1)MNIST Dataset(手写数字的数据集)
非常基础的数据集,可以测量学习器的性能指标
类别:0-9 共 10 类
输出:属于每一类别的概率(十个类别的概率值相加为1),判断是哪个类,找最大的概率值即可。而不是直接输出 0-9 某一类别的数字,因为类别间并无实数空间中数值大小的含义
import torchvision train_set = torchvision.datasets.MNIST(root='../dataset/mnist',train=True,download=True) test_set = torchvision.datasets.MNIST(root='../dataset/mnist',train=False,download=True)
(2)CIFAR-10 Dataset(32x32的彩色图片,共10类)
---------------------------------------------------------------------------------------------------------------------------------
怎样从 R 映射到 [0,1]

https://en.wikipedia.org/wiki/Logistic_function
Sigmoid 函数:满足3个条件:(1)函数值有极限(2)单调增(3)饱合函数
其中最出名的是 logistic 函数
---------------------------------------------------------------------------------------------------------------------------------
逻辑回归模型

Logistic Function 无参数可供训练,不需在构造函数里初始化
import torch.nn.functional as F class LogisticRegressionModel(torch.nn.Module): def __init__(self): super(LogisticRegressionModel,self).__init__() self.linear=torch.nn.Linear(1,1) def forward(self,x): y_pred=F.sigmoid(self.linear(x)) return y_pred
---------------------------------------------------------------------------------------------------------------------------------
损失函数(Binary Cross Entropy,二分类交叉熵)

criterion = torch.nn.BCELoss(size_average=False)
size_average 参数:是否给每一批量求均值,影响将来如何选择学习率
另:比较两个分布的差异的参数有
- KL散度
-
Cross Entropy(交叉熵):
---------------------------------------------------------------------------------------------------------------------------------
逻辑回归的完整代码import torch import torch.nn.functional as F import numpy as np import matplotlib.pyplot as plt # 准备数据集 x_data = torch.Tensor([[1.0],[2.0],[3.0]]) y_data = torch.Tensor([[0],[0],[1]]) # 设计模型(从nn.Module继承) class LogisticRegressionModel(torch.nn.Module): def __init__(self): super(LogisticRegressionModel,self).__init__() self.linear=torch.nn.Linear(1,1) def forward(self,x): y_pred=F.sigmoid(self.linear(x)) return y_pred model = LogisticRegressionModel() # 构造损失函数和优化器(使用Pytorch API) criterion = torch.nn.BCELoss(size_average=False) optimizer = torch.optim.SGD(model.parameters(),lr=0.01) # 训练周期:前馈、反馈、更新 for epoch in range(1000): y_pred = model(x_data) loss = criterion(y_pred,y_data) print(epoch,loss.item()) optimizer.zero_grad() loss.backward() optimizer.step() # 测试 x = np.linspace(0,10,200) # 0-10h采样200个点 x_t = torch.Tensor(x).view((200,1)) # 变为200行1列的矩阵,类似于numpy里的reshape y_t = model(x_t) y = y_t.data.numpy() # 拿到数组 plt.plot(x,y) plt.plot([0,10],[0.5,0.5],c='r') plt.xlabel('Hours') plt.ylabel('Probability of Pass') plt.grid() # 网格 plt.show()
多维输入:x有很多特征,预测一条样本的对应分类
糖尿病数据集(Diabetes Dataset):


PyTorch 提供的函数都是向量化函数
Sigmoid 函数是按向量计算,依次运用到每个元素上

class Model(torch.nn.Module): def __init__(self): super(Model,self).__init__() self.linear = torch.nn.Linear(8,1) # 输入维度是8,输出维度是1 self.sigmoid = torch.nn.Sigmoid() def forward(self,x): x = self.sigmoid(self.linear(x)) return x model = Model()
线性层(空间维度的变换):
矩阵是一个空间变换的函数,把8维空间的向量映射到1维空间(线性映射)
映射不一定是线性的,用多个线性变换层,通过找到最优的权重,把它们组合起来,模拟非线性变换。神经网络的本质是寻找非线性空间的变换函数
激活函数:给线性变换增加非线性因子,从而拟合非线性变换
神经网络:
从 X 到 O1 到 O2 ... ,维度可以逐步下降,也可以先上升再下降
到底几层,每一层维度设为多少? —— 超参数的搜索的方法进行尝试
隐层越多,非线性变换的学习能力就越强,但学习能力过强也不好,会把输入样本里噪声的规律也学到,但我们要学的是数据真值本身的规律(模型必须要有泛化能力)
人工神经网络:
- X:8个维度,为糖尿病病人的一些指标
- Y:0或1,为一年后病情是否会加重
完整代码:
# 准备数据集 import torch import numpy as np xy = np.loadtxt('diabetes.csv.gz',delimiter=',',dtype=np.float32) # delimiter为分隔符 # torch.from_numpy()创建Tensor x_data = torch.from_numpy(xy[:,:-1]) # 所有行,第1列开始,最后1列不要 y_data = torch.from_numpy(xy[:,[-1]]) # -1外面加[]是为了保证拿出来是一个矩阵,不加的话拿出来是一个向量 # 定义模型(输入8维—>线性层1—>6维—>线性层2—>4维—>线性层3—>输出1维) class Model(torch.nn.Module): def __init__(self): super(Model,self).__init__() self.linear1 = torch.nn.Linear(8,6) self.linear2 = torch.nn.Linear(6,4) self.linear3 = torch.nn.Linear(4,1) self.sigmoid = torch.nn.Sigmoid() # 给模型添加一个非线性变换,继承自Module;另一种写法:torch.nn.Functional.Sigmoid() def forward(self,x): x = self.sigmoid(self.linear1(x)) x = self.sigmoid(self.linear2(x)) x = self.sigmoid(self.linear3(x)) return x model = Model() # 构建损失和优化器 criterion = torch.nn.BCELoss(size_average=True) # loss取平均值变小了,学习率最好调大一点 optimizer = torch.optim.SGD(model.parameters(),lr=0.1) # 训练周期(训练时尚未使用Mini-Batch) for epoch in range(100): # 前馈 y_pred = model(x_data) loss = criterion(y_pred,y_data) print(epoch,loss.item()) # 反馈 optimizer.zero_grad() loss.backward() # 更新 optimizer.step()
Exercise:
尝试不同的激活函数
Visualising Activation Functions in Neural Networks - dashee87.github.io
Activation Functions for Artificial Neural Networks - mlxtend
Pytorch提供了大量的激活函数
torch.nn — PyTorch 1.10 documentation
如将激活函数换成 ReLU 时的代码:
import torch class Model(torch.nn.Module): def __init__(self): super(Model,self).__init__() self.linear = torch.nn.Linear(8,6) self.linear = torch.nn.Linear(6,4) self.linear = torch.nn.Linear(4,1) self.activate = torch.nn.ReLU() def forward(self,x): x = self.activate(self.linear1(x)) x = self.activate(self.linear2(x)) x = self.activate(self.linear3(x)) return x model = Model()8. Dataset and Dataloader(加载数据集)
加载数据的两个工具集:
- Dataset:构造数据集(支持索引:用下标可以拿出数据集中的样本)
- Dataloader:拿出一组 Mini-Batch 供训练
1、梯度下降:全部数据都用(Batch)
- 最大化利用向量计算的优势,来提升计算速度
- 但性能会遇到问题
2、随机梯度下降(SGD):只用一个样本
- 得到较好的随机性,跨越优化中遇到的鞍点,性能更好
- 但导致优化时间过长,无法利用GPU或CPU的并行能力
3、深度学习(DL):Mini-Batch
- 均衡性能上及训练时间上平衡的需求
---------------------------------------------------------------------------------------------------------------------------------
区分 Epoch Batch-Size IterationEpoch:所有训练样本经历了一次前向传播和反向传播的过程(嵌套循环)
Batch-Size:每次训练时用的样本数量
Iteration:Batch分了多少个迭代次数
# training cycle for epoch in range(training_epochs): # 训练周期 # Loop over all batches for i in range(total_batch): # Mini-batch,对Batch进行迭代
---------------------------------------------------------------------------------------------------------------------------------
Dataset:提供索引和 len() DataLoader:batch_size=2,shuffle=True为了提高训练数据样本的随机性,可对数据集进行 shuffle(打乱),打乱的是每一次 epoch 拿到的数据
---------------------------------------------------------------------------------------------------------------------------------
如何定义数据集构造数据集时:
- 从 init 里读取所有数据,加载到内存;使用 getitem,传出第 [i] 个样本 适用于数据集容量不大的情况,如结构化数据表
- 在 init 里定义列表,储存数据集里每一个文件的文件名、标签(或标签的文件名),getitem 读取列表中的第 [i] 个元素 适用于如图像、语音等非结构化数据,或无法一次性加载到内存中的情况
import torch from torch.utils.data import Dataset # Dataset是一个抽象类,不能实例化,只能被其他子类继承 from torch.utils.data import DataLoader # DataLoader类(加载器)可以实例,加载数据(shuffle和batch_size自动完成) class DiabetesDataset(Dataset): # DiabetesDataset是自己定义的类,继承自Dataset类 def __init__(self): pass def __getitem__(self,index): # 实例化对象后支持下标操作,通过索引拿出数据 pass def __len__(self): # 返回数据集里的数据条数,即整个数据的数量 pass dataset = DiabetesDataset() # 实例化为数据对象 # DataLoader初始化时至少传4个量,num_workers:读数据、构成Mini-Batch时是否多线程(并行化),并行化可提高读取的效率 train_loader = DataLoader(dataset=dataset,batch_size=32,shuffle=True,num_workers=2)
Windows 下 num_workers 会报错,因为 Linux(fork)和 win(spawn)实现多进程的库不一样
解决:把 loader 要进行迭代的代码封装起来( if 语句或函数)
使用神经网络对糖尿病数据集进行分类
当使用 Mini-Batch 而不是一次性加载 All Data 时,“step1 准备数据集” 和 “step4 训练周期” 改变
import numpy as np import torch from torch.utils.data import Dataset,DataLoader # 1、准备数据(不再是加载全部数据) class DiabetesDataset(Dataset): def __init__(self,filepath): xy = np.loadtxt(filepath,delimiter=',',dtype=np.float32) self.len = xy.shape[0] # xy为N行9列(N行:数据样本个数;9列:8个特征列,1个目标列) self.x_data = torch.from_numpy(xy[:,:-1]) # 前8列 self.y_data = torch.from_numpy(xy[:,[-1]]) # 最后1列 def __getitem__(self,index): return self.x_data[index],self.y_data[index] # 返回的是一个元组 def __len__(self): return self.len dataset = DiabetesDataset('diabetes.csv.gz') train_loader = DataLoader(dataset=dataset,batch_size=32,shuffle=True,num_workers=0) # 2、设计模型 class Model(torch.nn.Module): def __init__(self): super(Model,self).__init__() self.linear1 = torch.nn.Linear(8,6) self.linear2 = torch.nn.Linear(6,4) self.linear3 = torch.nn.Linear(4,1) self.sigmoid = torch.nn.Sigmoid() def forward(self,x): x = self.sigmoid(self.linear1(x)) x = self.sigmoid(self.linear2(x)) x = self.sigmoid(self.linear3(x)) return x model = Model() # 3、构建损失和优化器 criterion = torch.nn.BCELoss(size_average=True) optimizer = torch.optim.SGD(model.parameters(),lr=0.01) # 4、训练周期(变为了嵌套循环,以便使用Mini-Batch) # 嵌套循环 for epoch in range(100): # enumerate()获得当前是第几次迭代 for i,data in enumerate(train_loader,0): # data为元组(x,y) # 1. 准备数据 inputs,labels = data # 2. 前馈 y_pred = model(inputs) loss = criterion(y_pred,labels) print(epoch,i,loss.item()) # 3. 反馈 optimizer.zero_grad() loss.backward() # 4. 更新 optimizer.step()
--------------------------------------------------------------------------------------------------------------------------------
torchvision.datasets
例子:MNIST Dataset
import torch from torch.utils.data import DataLoader from torchvision import transforms # PIL Image —> Tensor from torchvision import datasets train_dataset = datasets.MNIST(root='../dataset/mnist',train=True,transform=transform.ToTensor(),download=True) test_dataset = datasets.MNIST(root='../dataset/mnist',train=False,transform=transform.ToTensor(),download=True) train_loader = DataLoader(dataset=train_dataset,batch_size=32,shuffle=True) test_loader = DataLoader(dataset=test_dataset,batch_size=32,shuffle=False) # 测试数据一般不需要shuffle for epoch in range(100): for batch_idx,(inputs,target) in enumerate(train_loader): ...
---------------------------------------------------------------------------------------------------------------------------------
Exercise- Build DataLoader for Titanic dataset:Titanic - Machine Learning from Disaster | Kaggle
- Build a Classifier using the DataLoader,目标:判断这名乘客是否活下来了
softmax:多分类
回顾:
-
糖尿病数据集(Diabetes Dataset):二分类网络
- MNIST Dataset(测试方法是否有效的标准数据集):10分类(0-9) 手写数字识别,每个图片为 28 * 28 = 784 个像素,每个像素取值为 0-255
--------------------------------------------------------------------------------------------------------------------------------
十分类问题神经网络应该怎么设计?思路1:使用 Sigmoid 设计 10 输出,即输出每一个样本属于每一个分类的概率(把每一类别看成二分类问题,对每个输出应用二分类的 BCELoss 公式)
然而我们希望输出是有竞争性的(各个类别间应相互抑制),即输出满足分布的性质要求(输出都需 ≥0,且和为1)
思路2:最后一层为 softmax层,能够输出一个分布
softmax 层:神经网络线性层的输出可能是负的,如何变为正值?如何和为1?
例:
-
Cross Entropy in Numpy
import numpy as np y = np.array([1,0,0]) # Y数组 z = np.array([0.2,0.1,-0.1]) y_pred = np.exp(z)/np.exp(z).sum() # softmax:先求指数,再除以这些指数项的和 loss = (-y * np.log(y_pred)).sum() print(loss) # 0.9729189131256584
-
Cross Entropy in PyTorch
最后一层不用做非线性变换,直接用交叉熵损失( torch.nn.CrossEntropyLoss() )
import torch y = torch.LongTensor([0]) # 长整型张量 z = torch.Tensor([[0.2,0.1,-0.1]]) criterion = torch.nn.CrossEntropyLoss() loss = criterion(z,y) print(loss) # tensor(0.9729)
CrossEntropyLoss 等价于 LogSoftmax + NLLLoss
- CrossEntropyLoss:torch.nn — PyTorch 1.10 documentation
- NLLLoss:torch.nn — PyTorch 1.10 documentation
batch_size=3
import torch criterion = torch.nn.CrossEntropyLoss() Y = torch.LongTensor([2,0,1]) # 第几个标签分类 Y_pred1 = torch.Tensor([[0.1,0.2,0.9], # 2 [1.1,0.1,0.2], # 0 [0.2,2.1,0.1]]) # 1 Y_pred2 = torch.Tensor([[0.8,0.2,0.3], # 0 [0.2,0.3,0.5], # 2 [0.2,0.2,0.5]]) # 2 l1 = criterion(Y_pred1,Y) # Batch Loss1= tensor(0.4966) l2 = criterion(Y_pred2,Y) # Batch Loss2= tensor(1.2389) print("Batch Loss1=",l1.data,"\nBatch Loss2=",l2.data)
---------------------------------------------------------------------------------------------------------------------------------
对 MNIST 数据集构建分类器
部分代码解释:
1. Prepare dataset
transforms.ToTensor()

- 灰度图:单通道
- 彩色图:多通道(channel,C)
transforms.Normalize((0.1307, ),(0.3081, ))
整个 MNIST 数据集的均值和标准差分别为 0.1307 和 0.3081(经验数据)
2. Design Model
全连接神经网络要求输入为矩阵,所以 x.view(-1,784),其中 view() 包含两个参数,即代表二阶张量(矩阵),784为矩阵列数(一张图片里的像素数量),-1代表 pytorch 自动计算其行数
3. Construct Loss and Optimizer
SGD 中有个参数 momentum(冲量),有助于突破局部极小值
4. Train
print('[%d,%5d]loss: %.3f' % (epoch+1,batch_idx+1,running_loss/300))
print 格式化输出
5. Test
测试不需反向传播,只要正向
完整代码:
# 0.导包 import torch from torchvision import transforms # 对图像进行原始处理的工具 from torchvision import datasets from torch.utils.data import DataLoader import torch.nn.functional as F # 为了使用函数 relu() import torch.optim as optim # 为了构建优化器 # 1.准备数据 batch_size = 64 transform = transforms.Compose([transforms.ToTensor(), # PIL Image 转换为 Tensor transforms.Normalize((0.1307, ),(0.3081, ))]) # 归一化到0-1分布,其中mean=0.1307,std=0.3081 train_dataset = datasets.MNIST(root='../dataset/mnist',train=True,download=True,transform=transform) train_loader = DataLoader(train_dataset,shuffle=True,batch_size=batch_size) test_dataset = datasets.MNIST(root='../dataset/mnist',train=False,download=True,transform=transform) test_loader = DataLoader(test_dataset,shuffle=False,batch_size=batch_size) # 2.设计模型 class Net(torch.nn.Module): def __init__(self): super(Net,self).__init__() # 线性层 self.l1 = torch.nn.Linear(784,512) self.l2 = torch.nn.Linear(512,256) self.l3 = torch.nn.Linear(256,128) self.l4 = torch.nn.Linear(128,64) self.l5 = torch.nn.Linear(64,10) def forward(self,x): x = x.view(-1,784) x = F.relu(self.l1(x)) x = F.relu(self.l2(x)) x = F.relu(self.l3(x)) x = F.relu(self.l4(x)) return self.l5(x) # 最后一层不做激活,直接接到softmax model = Net() # 3.构建损失和优化器 criterion = torch.nn.CrossEntropyLoss() optimizer = optim.SGD(model.parameters(),lr=0.01,momentum=0.5) # 4.训练 def train(epoch): # 把一轮循环封装到函数里 running_loss = 0 for batch_idx, data in enumerate(train_loader,0): inputs,target=data optimizer.zero_grad() # 前馈 反馈 更新 outputs = model(inputs) loss = criterion(outputs,target) loss.backward() optimizer.step() running_loss += loss.item() if batch_idx % 300 == 299: # 每300批量输出一次 print('[%d,%5d]loss: %.3f' % (epoch+1,batch_idx+1,running_loss/300)) running_loss = 0 # 5.测试 def test(): correct = 0 total = 0 with torch.no_grad(): for data in test_loader: images,labels = data outputs = model(images) _,predicted = torch.max(outputs.data,dim=1) # 求每一行里max的下标,对应着分类,其中dim=1为行,dim=0为列 total += labels.size(0) # (N,1),取N correct += (predicted==labels).sum().item() print('Accuracy on test set: %d %%' %(100*correct/total)) if __name__ == '__main__': for epoch in range(10): train(epoch) test() # 训练一轮,测试一轮 # 若想每训练10轮测试1次,可在test()前面加一行 if epoch % 10 == 9:
准确率到 97% 基本为极限了,因为:处理图像用全连接神经网络,忽略了对局部信息的利用(所有元素间都做全连接,权重不够多,且处理图像时更关心高抽象级别的特征,而现在只用了非常原始的特征)。若先特征提取再分类训练,效果会更好
图像人工提取特征的方法:
- 整张图像的特征提取:傅里叶变换(缺陷:都是正弦波,周期性)
- Wavelet 小波
自动提取特征的方法:CNN等
--------------------------------------------------------------------------------------------------------------------------------
Exercise奥托集团的产品分类挑战(多分类问题)
Otto Group Product Classification Challenge | Kaggle