在很长的一段时间里,我们判断一个矩阵是否可逆,都是根据矩阵的行列式det是否为0,来判断的。如果行列式的值为0,则我们认定该矩阵为奇异矩阵,即不可逆矩阵。如果行列式的值不为0,则认为该矩阵可逆。
可实际上,我们在计算机中求矩阵的行列式时,更多时候不太会得到一个标准的0,而是一个很小很小的数,我们会把它当作0,并判断该矩阵不可逆。
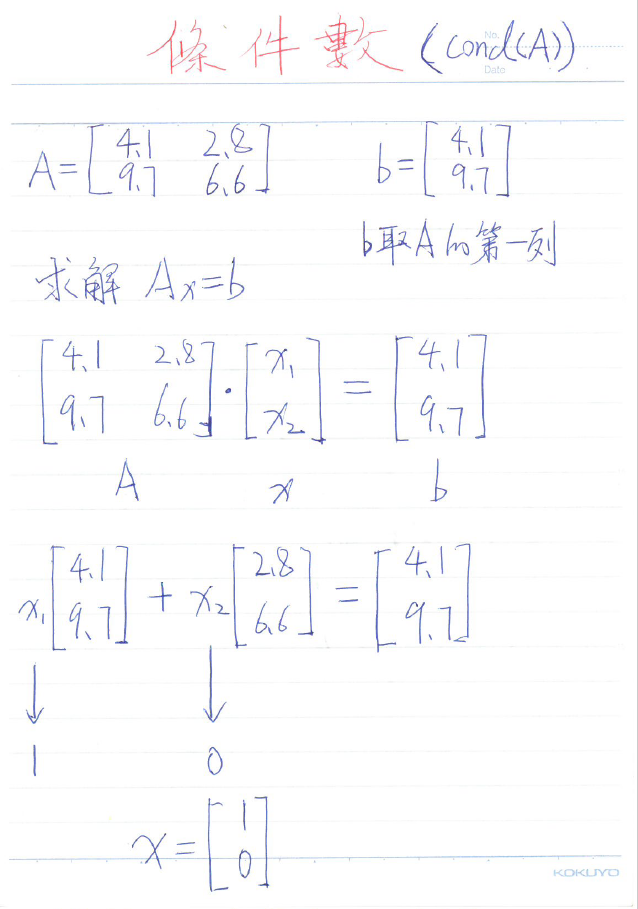
现在我们介绍一种全新的判断矩阵是否可逆的方法,英文叫condition number,中文翻译为条件数。这也是我在matlab里面看到的一个方法,在matlab中的命令为cond(A)。它是方程组Ax=b中右端b的变换对于解x的影响的一个度量值,用希腊字母表示。
我们一起来看下面的这个例子:
对于上述方程组Ax=b而言,很明显,等式右端b正好等于A中的第一例。方程有解,说明b在A的列空间中,b等于A中各列的线性组合,x=[1 0]。
Matlab code:
Result:
现在我们把等式右端b中的第一个值修改0.01,从b=[4.1 9.7]改成b=[4.11 9.7],然后再重新求解方程。
奇怪!原来的b等于A的第一例,现在只不过是把b中的第一个数改了0.01,凭直觉,我觉得解x大概率是在[0.99 0]到[1.01 0]之间徘徊吧。因为,毕竟b是A中各列的线性组合,只改了那么一丁点,A中第一列对b的贡献好歹也有99%吧。可是实际结果却让人大跌眼镜,跟我预先的估计完全不一样。(有没有觉得特别像气象学中的蝴蝶效应?)
Matlab code:
Result:
引入Condition number条件数(希腊字母kappa):
科学家们觉得b的改变对解x的影响存在着一定的关系,并且专门研究了一套度量方法,用于衡量相对于b的改变,方程组的解x的敏感程度(sensitivity)。换句话说就是在研究等式右端b的变化与解x的变化之间的联系,科学家们把这个能够衡量敏感程度的指标用希腊字母表示,它基于对矩阵A的计算,即
(A),MATLAB中的命令为cond(A)。
在这里,我们先简单的介绍一下如何计算向量的范数,准确的说是计算向量欧几里得范数Euclidean norm或二阶范数2- norm。计算公式为:
熟悉线性代数的朋友应该发现了,这所谓向量的范数(模)就是n维空间中向量的长度。
而对于线性方程组Ax=b而言,我们同样也需要考虑矩阵A的范数。矩阵A的范数表示的是矩阵A对向量x的长度改变程度。(友情提示:向量的范数和矩阵的范数的计算方式不同,矩阵的 2-范数为最大奇异值。)
一方面我们要看看矩阵A最大能把向量x拉的有多长?定义这个最大的拉伸率为M(max),他等于矩阵A的范数(当A为对称正定矩阵(特征值全为正的对称矩阵),它等于矩阵A的最大特征值,)且有:
另一方面,我们也要看看矩阵A究竟能把向量x缩的有多小?并定义它为m(min),即最小拉伸率,它等于矩阵A的逆矩阵的范数的倒数(当A为对称正定矩阵(特征值全为正的对称矩阵),它等于矩阵A的最小特征值的倒数,1/),即:
对于奇异矩阵而言,矩阵不可逆,m=0。
也就是说,如果把Ax看成矩阵A对x的操作,并把b看成A对x操作的结果。那么,根据对于M和m的定义,A对x的操作结果b,也就是向量b的模的变化相对于向量x的变换,最大不会超过M,最小不会小于m。
现在我们可以定义条件数了,它等于矩阵A的最大拉伸率和最小拉伸率的比值:
或
对于第二个式子而言,如果A为奇异矩阵,则他的条件数为无穷大。
若A为对称正定矩阵(特征值全为正的对称矩阵),则:
回到线性方程组的讨论:
现在我们就详细的考察一下b的变化与x的变化的相对联系,即delta b对delta x的影响。
原方程组为:
结合矩阵A的最大拉伸率M的定义,他代表了矩阵A拉伸\放大一个向量的能力上限。也就是说无论矩阵A对x怎么操作即Ax(在这里是拉伸、放大),最终得到的结果向量Ax的长度,即||Ax||,不会大于||A||乘以x的长度,即||A|||x||:
也就是说,||A|||x||决定了A对x操作的上限。
又因为Ax=b,Ax的长度等于b的长度:
又最大拉伸率M等于A的模,即M=||A||,所以有:
修改b后的对应方程组为:
其中就表示b的改变量,而
表示的就是相对于原来的解x,当b改变以后,x的变化。用这个方程减去原方程有:
继而有:
或
再来,结合矩阵A的最小拉伸率m的定义,他代表了矩阵A拉伸\放大一个向量的能力下限。也就是说无论A的逆矩阵对
怎么操作即
,最终得到的结果向量
的长度,即||
||,不会小于||
||乘以
的长度,即||
|||
||:
也就是说,|||||b||决定了
对b操作的下限。
又因为=
,所以有:
又因为最小拉伸率m等于A的逆矩阵的模的倒数,即m=1/||||,所以有:
无论是基于
和
还是基于
和
利用不等式的同向正值不等式可乘性:如果a>b>0,m>n>0,那么am>bn
再加上: 或
最终得到:
不等式左边的||δb||/||b||表示的正是方程组右端b的相对变化,不等式右边的||δx||/||x||所表示的也正好是修改b后,方程组的解的相对变化。这个不等式表明: 等式右侧b的相对变化乘以矩阵的条件数(A)为方程组解x的变化的上限。
下面我看看MATLAB的实际情况:
首先我们先来计算条件数,按照定义条件数(A)等于A的范数乘以A的逆的范数.
Matlab code:
Result:
又因为A为对称正定矩阵(特征值全为正的对称矩阵),则我们还可以用另外一种基于特征值的算法计算条件数:
Matlab code:
Result:
首先尝试对矩阵A做Cholesky分解,如果分解失败,则矩阵不是对称正定矩阵。
然后对矩阵A做奇异值分解,然后再用最大特征值除以最小特征值,同样能够算出正确的条件数。
当然你还可以用matlab自带的条件数函数cond(A)来计算条件数,得到的结果和上述两种方法算出来的是一样的:
Matlab code:
Result:
其次,根据不等式右边条件数乘以b的相对变换量,得到解x的变换上限:
Matlab code:
Result:
然后,我们再看看x相对于b的实际变化:
Matlab code:
Result:
可见,x的这一实际改变1.1732基本上也接近了前面算出来的x的变化的上限1.5412。这也正好符合或者说很好的解释了前面的疑惑,为什么b中的一个元素的小小的0.01的改变,彻底的改变了原始方程组的解x。
总结:b的一小步,x的一大步。x的变化之巨,直接逼近了x的变化上限1.5412,而这一变化上限是基于条件数算出来的,他反应了x对于b的变化的敏感程度。在Matlab的算法中,条件数接近 1 则表示该矩阵为良态矩阵,而条件数越大则说明该矩阵越有可能是病态矩阵,当条件数接近无穷大时Inf时,该矩阵为奇异矩阵。
(全文完)
作者 --- 松下J27
参考文献(鸣谢):
1,What is the Condition Number of a Matrix? » Cleve’s Corner: Cleve Moler on Mathematics and Computing - MATLAB & Simulink
2,向量范数和矩阵范数 - MATLAB norm- MathWorks 中国
3,逆运算的条件数 - MATLAB cond- MathWorks 中国
格言摘抄:
有罪的人哪,要洁净你们的手!心怀二意的人哪,要清洁你们的心!-----《圣经,雅各书4章8节》
(配图与本文无关)
版权声明:所有的笔记,可能来自很多不同的网站和说明,在此没法一一列出,如有侵权,请告知,立即删除。欢迎大家转载,但是,如果有人引用或者COPY我的文章,必须在你的文章中注明你所使用的图片或者文字来自于我的文章,否则,侵权必究。 ----松下J27
