您当前的位置: 首页 >  jeff one

每日一题 双重积分

jeff one 发布时间:2022-02-25 17:41:24 ,浏览量:5

每日一题 双重积分

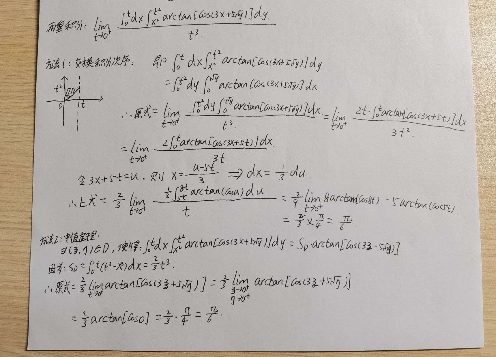
在这里插入图片描述

关注
打赏
1688896170
查看更多评论

jeff one

暂无认证

  • 5浏览

    0关注

    179博文

    0收益

  • 0浏览

    0点赞

    0打赏

    0留言

私信
关注
热门博文
立即登录/注册

微信扫码登录

0.1718s