目录 
 
 
 
1.题目 
- 1.题目
- 2.思路
- 3.代码实现(Java)
给你一个链表,每 k 个节点一组进行翻转,请你返回翻转后的链表。 k 是一个正整数,它的值小于或等于链表的长度。 如果节点总数不是 k 的整数倍,那么请将最后剩余的节点保持原有顺序。
进阶: 你可以设计一个只使用常数额外空间的算法来解决此问题吗? 你不能只是单纯的改变节点内部的值,而是需要实际进行节点交换。
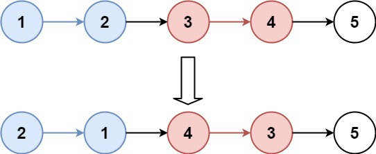
示例 1:
输入:head = [1,2,3,4,5], k = 2 输出:[2,1,4,3,5]
示例 2:
输入:head = [1,2,3,4,5], k = 3 输出:[3,2,1,4,5]
示例 3: 输入:head = [1,2,3,4,5], k = 1 输出:[1,2,3,4,5]
示例 4: 输入:head = [1], k = 1 输出:[1]
提示: 列表中节点的数量在范围 sz 内 1
关注
                打赏
            
 
                 
    