前言
t
a
g
:
tag :
tag: 构造 树形结构 传送门 :
题意 :
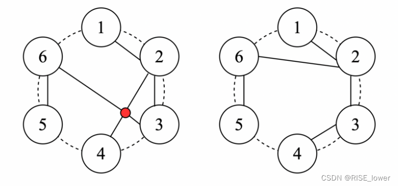
给定一个 01 01 01串,如果是 0 0 0的话那么该点的度是偶数,否则是奇数,询问是否可以构造,并且输出构造方案
注意 : 构造出来的所有边不能有交叉 思路 : 因为不能有交叉,我们考虑环形连边,然后最后将所有链的结尾加入到第一个链的结尾上面,这样子就不会导致相交的的情况
code :
void solve(){
mp.clear();
int n;cin>>n;
string s;cin>>s;
vector one;
vector vis(n);
vector last;
vector ans;
for(int i = 0 ;i
关注
打赏
