FFT. 对于n次多项式和m次多项式相乘需要n*m的时间 tips: 对于n次多项式,只需要任意 n+1个多项式上的点即可唯一确定。 如果多项式用点表示法计算,可以用n+m的时间完成计算。 通过分治FFT可以花nlogn的时间由系数表示法变为点表示法,n+m的时间计算完成后,再花nlogn由点表示法变为系数表示法.
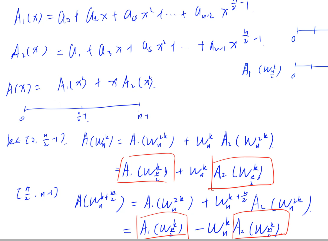
既然这n+1个点可以任意选,我们可以选择一些具有良好性质的点。比如选择n个复数根。 可以发现对于某一个x,可以由多项式的偶数项构成的多项式和奇数项构成的多项式的两个数求得,所以可以进行分治求解。时间复杂度为O(nlogn)。这里是由多项式的系数表示法转换成多项式的点表示法。
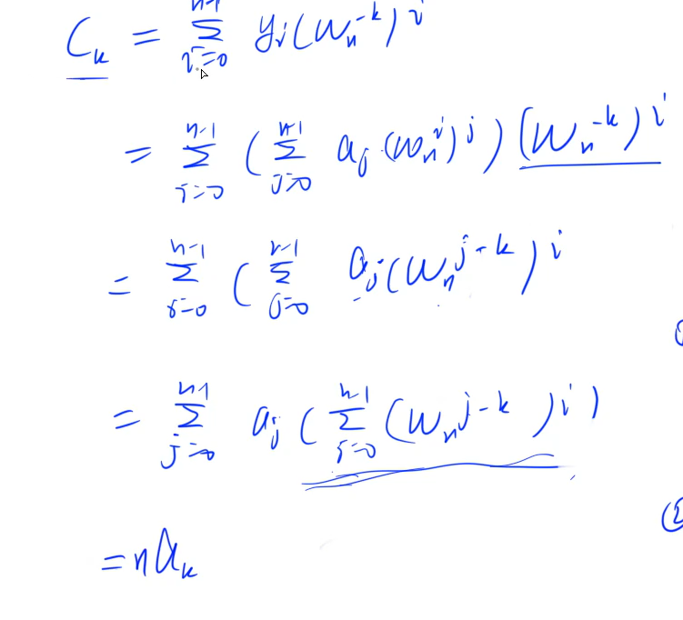
FFT逆变换。 可以发现Ck = n*ak,ak为原多项式的系数。Ck可以通过构造一个新的多项式,套用FFT模板求得。时间复杂度O(nlogn)
学不明白,干饭去了。
