目录
损失函数
1 多类SVM损失函数
1.1 一些典型的规则化方法
2 Softmax分类器
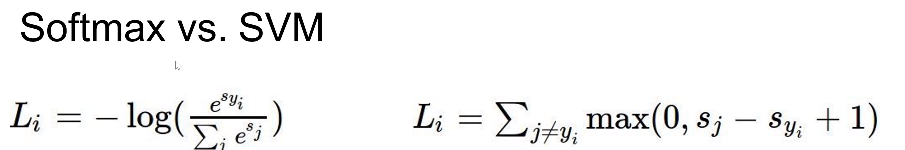
3 Softmax对比SVM
4 总结与图示
损失函数 1 多类SVM损失函数-
期望正确的分类值,越大越好,而且还应该大得多(+1)地到一定程度。
目的:
W权值矩阵变成2W时,上面的L值仍然是那么多不发生变换,造成W值不唯一确定,所以引入正则化项𝜆𝑅(𝑊),而避免该现象。
正则化的作用:
(可以表达对权值的喜好,可以防止过拟合-分类太细,可以增加非线性)
将分类数值,求e的对数运算,然后算出概率的形式。
最大似然估计:将概率的值求负对数,及达到最大似然估计
那么问题来了: 怎样找到合适的W权值矩阵,使得损失最小呢?那正是“最优化问题”
