您当前的位置: 首页 >  惊鸿一博 数学

数学_最小二乘法相关

惊鸿一博 发布时间:2021-05-27 18:33:56 ,浏览量:4

目录

1. 多元高斯分布

1.1 一元高斯分布概率密度

1.2 多元高斯分布概率密度

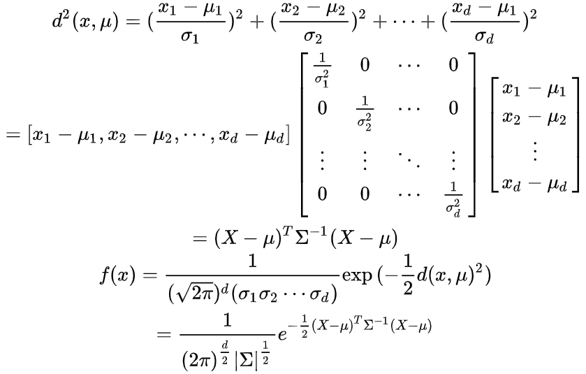
1.2.1 维度相互独立

参考:

1. 多元高斯分布 1.1 一元高斯分布概率密度

1.2 多元高斯分布概率密度 1.2.1 维度相互独立

参考:
  • 多元高斯分布概率密度推导
关注
打赏
1688896170
查看更多评论

惊鸿一博

暂无认证

  • 4浏览

    0关注

    343博文

    0收益

  • 0浏览

    0点赞

    0打赏

    0留言

私信
关注
热门博文
立即登录/注册

微信扫码登录

0.0415s