您当前的位置: 首页 >  软件工程小施同学

有向无环图 前一个任务 后一个任务称为什么 英文

软件工程小施同学 发布时间:2021-12-01 22:45:22 ,浏览量:3

 

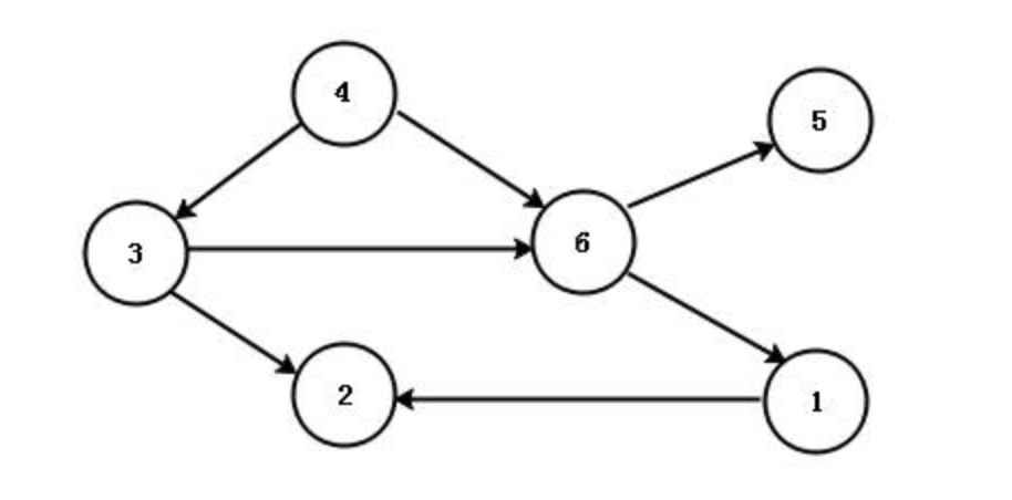
4和6存在优先关系(precedence relation)

4是6的紧前任务(immediate preceding activity)

1是6的紧后任务(immediate succeeding activtiy)

关注
打赏
1688896170
查看更多评论
  • 3浏览

    0关注

    1135博文

    0收益

  • 0浏览

    0点赞

    0打赏

    0留言

私信
关注
热门博文
立即登录/注册

微信扫码登录

0.3348s