m × n m\times n m×n矩阵 A A A可表示为,其中每个元素 a i j a_{ij} aij为scalar: A = [ a 11 a 12 . . . a 1 n a 21 a 22 . . . a 2 n . . . . . . . . . . . . a m 1 a m 2 . . . a m n ] A=\begin{bmatrix} a_{11}& a_{12} & ... & a_{1n}\\ a_{21}& a_{22} & ... & a_{2n}\\ ...& ... & ... & ...\\ a_{m1}& a_{m2} & ... & a_{mn} \end{bmatrix} A=⎣⎢⎢⎡a11a21...am1a12a22...am2............a1na2n...amn⎦⎥⎥⎤
2. 矩阵的加法和乘法若A和B均为矩阵,则有: A + B = ( a i j + b i j ) A+B=(a_{ij}+b_{ij}) A+B=(aij+bij)
scalar α \alpha α与矩阵A乘法: α A = A α = ( α a i j ) . \alpha A=A\alpha=(\alpha a_{ij}). αA=Aα=(αaij).
矩阵A为 m × p m \times p m×p和B为 p × n p \times n p×n的乘积C为 m × n m \times n m×n: C = A B C=AB C=AB c i j = ( A ) i . ( B ) . j = ∑ k = 1 p a i k b k j . c_{ij}=(A)i.(B).j=\sum_{k=1}^{p}a_{ik}b_{kj}. cij=(A)i.(B).j=∑k=1paikbkj.
满足以下关系:
矩阵A的转置为: A ′ = [ a 11 a 21 . . . a n 1 a 12 a 22 . . . a n 2 . . . . . . . . . . . . a 1 m a 2 m . . . a n m ] A'=\begin{bmatrix} a_{11}& a_{21} & ... & a_{n1}\\ a_{12}& a_{22} & ... & a_{n2}\\ ...& ... & ... & ...\\ a_{1m}& a_{2m} & ... & a_{nm} \end{bmatrix} A′=⎣⎢⎢⎡a11a12...a1ma21a22...a2m............an1an2...anm⎦⎥⎥⎤
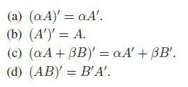
转置运算具有以下特点:
trace通常仅对方形矩阵而言。 t r ( A ) = ∑ i = 1 m a i i tr(A)=\sum_{i=1}^{m}a_{ii} tr(A)=∑i=1maii
trace运算有如下特点:
若A为 m × m m \times m m×m矩阵,其判别式表示为: ∣ A ∣ = ∑ ( − 1 ) f ( i 1 , . . . , i m ) a 1 i 1 a 2 i 2 . . . a m i m = ∑ ( − 1 ) f ( i 1 , . . . , i m ) a i 1 1 a i 2 2 . . . a i m m |A|=\sum(-1)^{f(i_1,...,i_m)}a_{1i_1}a_{2i_2}...a_{mi_m}=\sum(-1)^{f(i_1,...,i_m)}a_{i_11}a_{i_22}...a_{i_mm} ∣A∣=∑(−1)f(i1,...,im)a1i1a2i2...amim=∑(−1)f(i1,...,im)ai11ai22...aimm
具体的,当 m = 1 m=1 m=1时, ∣ A ∣ = a 11 |A|=a_{11} ∣A∣=a11 当 m = 2 m=2 m=2时, ∣ A ∣ = a 11 a 22 − a 12 a 21 |A|=a_{11}a_{22}-a_{12}a_{21} ∣A∣=a11a22−a12a21 当 m = 3 m=3 m=3时, ∣ A ∣ = a 11 a 22 a 33 + a 12 a 23 a 31 + a 13 a 21 a 32 − a 11 a 23 a 32 − a 12 a 21 a 33 − a 13 a 22 a 31 |A|=a_{11}a_{22}a_{33}+a_{12}a_{23}a_{31}+a_{13}a_{21}a_{32}-a_{11}a_{23}a_{32}-a_{12}a_{21}a_{33}-a_{13}a_{22}a_{31} ∣A∣=a11a22a33+a12a23a31+a13a21a32−a11a23a32−a12a21a33−a13a22a31.
判别式运算具有以下特征:
当矩阵A为 m × m m\times m m×m的判别式 ∣ A ∣ ! = 0 |A|!=0 ∣A∣!=0时,存在对应的逆矩阵 A − 1 A^{-1} A−1,使得: A A − 1 = A − 1 A = I m AA^{-1}=A^{-1}A=I_m AA−1=A−1A=Im 其中 I m I_m Im为单位矩阵。
逆运算具有如下特征:
若矩阵A和B均为 m × n m\times n m×n,则有: A ⊙ B = [ a 11 b 11 a 12 b 12 . . . a 1 n b 1 n a 21 b 21 a 22 b 22 . . . a 2 n b 2 n . . . . . . . . . . . . a m 1 b m 1 a m 2 b m 2 . . . a m n b m n ] A\odot B=\begin{bmatrix} a_{11}b_{11}& a_{12}b_{12} & ... & a_{1n}b_{1n}\\ a_{21}b_{21}& a_{22}b_{22} & ... & a_{2n}b_{2n}\\ ...& ... & ... & ...\\ a_{m1}b_{m1}& a_{m2}b_{m2} & ... & a_{mn}b_{mn} \end{bmatrix} A⊙B=⎣⎢⎢⎡a11b11a21b21...am1bm1a12b12a22b22...am2bm2............a1nb1na2nb2n...amnbmn⎦⎥⎥⎤
Hadamard Product运算具有如下特征:
参考资料:
[1] 《Matrix Analysis for Statistics》
