接之前博客qesa——零知识证明,无需trusted setup。
- 注意:无论是在qesa还是bulletproofs中,inner-product的challenge x向量和y向量的选择应满足如下特征: z l = z j − i = l = x i y j , 当 取 l = 0 时 , 应 有 : z 0 = x 0 y 0 = x 1 y 1 = . . . = x n y n z_{l}=z_{j-i=l}=x_iy_j,当取l=0时,应有:z_0=x_0y_0=x_1y_1=...=x_ny_n zl=zj−i=l=xiyj,当取l=0时,应有:z0=x0y0=x1y1=...=xnyn
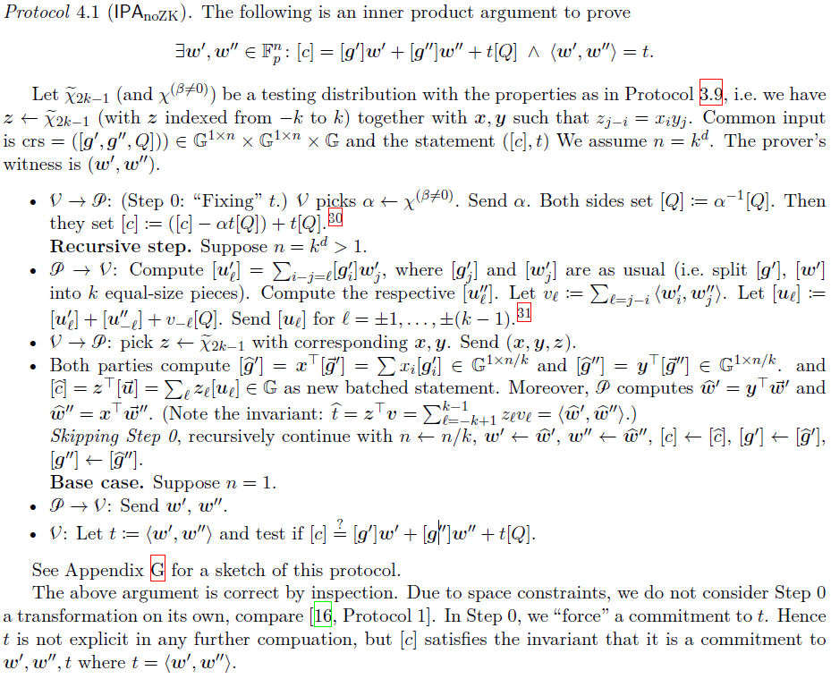
2019年论文《Efficient zero-knowledge arguments in the discrete log setting,revisited (Full version)》第四章:
在protocol 3.9基础上,以 k
=
2
k=2 k=2为例( k
k k取2值可最小化交互信息量), [
A
]
w
=
[
t
]
[A]w=[t] [A]w=[t]可转化为以点积(inner product)方式表示为:
<
[
A
]
,
w
>
=
[
t
]
<[A], w>=[t] <[A],w>=[t]。
根据protocol 3.9第二步,prover仅需给verifier传递 [
u
±
1
]
=
<
[
A
i
]
,
w
j
>
(
其
中
j
−
i
=
±
1
)
[u_{\pm 1}]=<[A_i], w_j>(其中j-i=\pm1) [u±1]=<[Ai],wj>(其中j−i=±1)。
k
=
2
k=2 k=2时, [
A
]
=
(
A
0
A
1
)
,
w
=
(
w
0
w
1
)
[A]=\begin{pmatrix} A_0\\ A_1 \end{pmatrix},w=\begin{pmatrix} w_0\\ w_1 \end{pmatrix} [A]=(A0A1),w=(w0w1),如需证明 <
[
A
]
,
w
>
=
[
A
]
w
=
t
=
A
0
w
0
+
A
1
w
1
<[A],w>=[A]w=t=A_0w_0+A_1w_1 <[A],w>=[A]w=t=A0w0+A1w1,在第三步和第四步,引入了challeng x
=
(
1
,
ξ
)
,
y
=
(
ξ
,
1
)
x=(1, \xi ), y=(\xi, 1) x=(1,ξ),y=(ξ,1),改为证明:
t
′
=
<
x
[
A
]
,
y
w
>
=
(
A
0
+
ξ
A
1
)
(
ξ
w
0
+
w
1
)
=
ξ
(
A
0
w
0
+
A
1
w
1
)
+
ξ
2
A
1
w
0
+
A
0
w
1
=
ξ
t
+
ξ
2
<
A
1
,
w
0
>
+
<
A
0
,
w
1
>
=
ξ
t
+
ξ
2
u
−
1
+
u
1
t'==(A_0+\xi A_1)(\xi w_0+w_1)=\xi (A_0w_0+A_1w_1)+\xi^2A_1w_0+A_0w_1=\xi t+\xi^2+=\xi t+\xi^2u_{-1}+u_1 t′=<x[A],yw>=(A0+ξA1)(ξw0+w1)=ξ(A0w0+A1w1)+ξ2A1w0+A0w1=ξt+ξ2<A1,w0>+<A0,w1>=ξt+ξ2u−1+u1。
2017年论文Bulletproofs: Short Proofs for Confidential Transactions and More第三章,分别取的是 x = ( ξ , ξ − 1 ) , y = ( ξ − 1 , ξ ) x=(\xi,\xi^{-1}), y=(\xi^{-1},\xi) x=(ξ,ξ−1),y=(ξ−1,ξ)。
qesa中的Protocol 4.1(除了其中的Step 0),与Bulletproofs中的Protocol 1(论文中challenge固定为 x
=
(
ξ
,
ξ
−
1
)
,
y
=
(
ξ
−
1
,
ξ
)
x=(\xi,\xi^{-1}), y=(\xi^{-1},\xi) x=(ξ,ξ−1),y=(ξ−1,ξ))完全相同。具体的代码实现可参见https://github.com/crate-crypto/qesa/blob/master/src/ipa/no_zk.rs中的实现。其中challenge x向量和y向量的取值分别为: x
=
(
1
,
ξ
)
,
y
=
(
ξ
,
1
)
x=(1,\xi), y=(\xi,1) x=(1,ξ),y=(ξ,1)。
qesa在bulletproofs IPA(inner product argument)的基础上引入了zero-knowledge。引入的方式为由原来的证明:
<
w
′
,
w
′
′
>
=
t
<w′,w′′>=t
改为证明(借助kernel特征):
<
β
w
′
+
r
′
,
β
w
′
′
+
r
′
′
>
=
t
,
其
中
<
r
′
,
w
′
′
>
=
<
w
′
,
r
′
′
>
=
<
r
,
r
′
′
>
=
0
<\beta w'+r', \beta w''+r''>=t,其中==0 <βw′+r′,βw′′+r′′>=t,其中<r′,w′′>=<w′,r′′>=<r,r′′>=0
r
′
和
r
′
′
r'和r'' r′和r′′的获取方式可参考https://github.com/crate-crypto/qesa/blob/master/src/ipa/gramschmidt.rs中代码:
//1. Compute r' and r''
//
let r_prime = sample_gram_schmidt(&b_Vec);
let r_prime_prime = sample_gram_schmidt_twice(&a_Vec, &r_prime);
/// Samples a random matrix and returns a random vector
/// which is orthogonal to `a`
pub fn sample_gram_schmidt(a: &[Scalar]) -> Vec{
let sampled_matrix = sample_m_n_plus(a.len());
orth(a, &sampled_matrix)
}
/// Samples a random matrix and returns a random vector
/// which is orthogonal to `a` and to `b`
/// XXX: We can make a better API for this and naming convention
/// XXX: Naming it sample_gram_schmidt twice could imply that we sample twice
pub fn sample_gram_schmidt_twice(a: &[Scalar], b: &[Scalar]) -> Vec{
let orth_a_b = orth(a, &b);
let orth_a_sample = sample_gram_schmidt(a);
orth(&orth_a_b, &orth_a_sample)
}
fn sample_m_n_plus(n: usize) -> Vec{
let mut r: Vec= vec![Scalar::zero(); n];
let mut rng = rand::thread_rng();
r[0] = Scalar::random(&mut rng);
r[1] = Scalar::random(&mut rng);
let mut i = 4;
while i <= n {
r[i / 2] = Scalar::random(&mut rng);
r[i / 2 + 1] = Scalar::random(&mut rng);
i = i * 2
}
r[n - 2] = Scalar::random(&mut rng);
r[n - 1] = Scalar::random(&mut rng);
assert_eq!(n, r.len());
r
}
/// Returns an vector that is orthogonal to `a`
/// Formally, this function projects `b` orthogonally onto the
/// line spanned by `a`
pub fn orth(a: &[Scalar], b: &[Scalar]) -> Vec{
let aa: Scalar = inner_product(&a, &a);
let ab: Scalar = inner_product(&a, &b);
assert_ne!(Scalar::zero(), ab);
let x: Scalar = ab * aa.invert();
let ax: Vec= a.iter().map(|k| k * x).collect();
let b_minus_ax = b.iter().zip(ax.iter()).map(|(r, s)| r - s).collect();
b_minus_ax
}
详细的实现过程见qesa论文 protocol 4.3.
参考资料: [1] 2019年论文《Efficient zero-knowledge arguments in the discrete log setting,revisited (Full version)》 [2] https://github.com/topics/zero-knowledge?o=desc&s=stars [3] 博客Inner Product点积的零知识证明 [4] 2017年论文Bulletproofs: Short Proofs for Confidential Transactions and More
