1. 背景知识
Benoˆıt Libert, Somindu C. Ramanna 和 Moti Yung 2016年论文 《Functional Commitment Schemes: From Polynomial Commitments to Pairing-Based Accumulators from Simple Assumptions》 中提出:
1)Functional Commitment (FC) primitive:用于概括所有的vector commitment、polynomial commitment和其它类型的commitment scheme。
- Committer: commit to vectors of n n n elements over domain D D D (e.g., m ⃗ = ( m 1 , ⋯ , m n ) ∈ D n \vec{m}=(m_1,\cdots,m_n)\in D^n m =(m1,⋯,mn)∈Dn)
- Committer:open for a function F : D n → R F:D^n\rightarrow R F:Dn→R (如 ∑ i = 1 n m i x i = y ∈ R \sum_{i=1}^{n}m_ix_i=y\in R ∑i=1nmixi=y∈R【 其中 { x i } i = 1 n \{x_i\}_{i=1}^n {xi}i=1n 为public coefficients,此时整个过程包含了vector commitment、polynomial commitment和cryptographic accumulator。】),生成a witness for the fact that F ( m ⃗ ) F(\vec{m}) F(m ) indeed evalutes to y y y。
- Functional Commitment (FC) 应具有function binding属性:即不可能基于同一function F F F 将一个commitment open为2个不同的evaluation y , y ′ y,y^{'} y,y′。
- Functional Commitment (FC) 的commitment 和 opening 应具有constant size (i.e., independent of n n n or function description)。
- Functional Commitment (FC) 应具有hiding属性,被commit的messages 为 information theoretically hidden。
- 本文构建了 Functional Commitment (FC) for a linear functions based on constant-size assumptions in composite order groups endowed with a bilinear map。
- 本文的security proof 基于:the D´ej`a Q framework of Chase and Meiklejohn (Eurocrypt 2014) and its extension by Wee (TCC 2016) to encryption primitives, thus relying on constant-size subgroup decisional assumptions.
- 本文的FC 可实现:polynomial commitment 和 accumulator for large universe。
- 基于的assumption为:
2)vector commitment:messages are v e c t o r s vectors vectors and commitment is only opened with respect to specific positions。
3)polynomial commitment:commit to a polynomial and only reveal evaluations of this polynomial on certain inputs。
Functional commitment 借鉴了Functional encryption的思想。
1.1 Functional encryption
Functional encryption 由2011年Boneh等人论文《Functional Encryption: Definitions and Challenges》中提出:
Functional encryption 可 restrict what the receiver learns about encrypted data,当使用 function
F
F
F 的 secret key
S
K
F
SK_F
SKF 进行解密操作时,decryptor learns
F
(
x
)
F(x)
F(x) and nothing else。
与此类似的,Functional commitment 允许 committer accurately control what the opening phase can reveal about the committed message。
Functional commitment (FC) 的概念首次由Gorbunov等人在2015年论文《Leveled Fully Homomorphic Signatures from Standard Lattices》中含蓄提出,在该论文中描述了:a statistically-hiding commitment scheme for which the sender is able to only reveal a circuit evaluation C ( x ) C(x) C(x) when x x x is the committed input. 该方案基于well-studied lattice assumption,可支持任意circuit,其输入 x x x 必须被committed to in a bit-by-bit manner (或者说至少应将 x x x split into small blocks)。
若借助common reference string,ordinary statistically-hiding commitment + NIZK proof 可实现 non-interactive FC for general functionalities。
1.2 Verifiable random function
1999年,Micali,Rabin和Vadhan等人在论文《Verifiable Random Functions》 提出了Verifiable random function概念,可实现 a perfectly binding commitment to a pseudo-random function key for which the committer can convince a verifier about the correct function evaluation for the committed key on a given input。
1.3 Selective-opening security
Bellare, Hofheinz和Yilek在2009年论文《 Possibility and Impossibility Results for Encryption and Commitment Secure under Selective Opening》,Dwork等人1999年论文《Magic Functions》中均提出了Selective-opening security问题,即:根据已open的信息,adversary是能根据关联性获得un-open的信息。(the security of un-opened commitments when an adversary gets to see the opening of other commitments to possibly correlated messages.)
1.4 Zero-knowledge set
Zero-knowledge set,由Micali, Rabin和Kilian在2003年论文《Zero-Knowledge Sets》中提出:commit to a set
S
S
S or an elementary database,然后可提供membership proof或non-membership proof of an element without revealing any further information (not even the cardinality of the committed set
S
S
S)。
Ostrovsky, Rackoff和Smith等人在2004年论文《Efficient Consistency Proofs for Generalized Queries on a Committed Database》中将committed database 概念扩展为了更general statement,而不仅仅是membership和non-membership proof。
2. Vector commitment
Vector commitment的概念首次由Libert和Yung在2010年论文《 Concise Mercurial Vector Commitments and Independent Zero-Knowledge Sets with Short Proofs》中提出,由Catalano和Fiore在2013年论文《Vector Commitments and their Applications》中进一步完善。
主要借助Pedersen-like commitment to vector ( m 1 , ⋯ , m n ) (m_1,\cdots,m_n) (m1,⋯,mn),实现constant-size open (所谓constant是指independent of n n n) for m i m_i mi without revealing anything else。
Vector commitment的设计初衷是为了通过mercurial commitment来支持short coordinate-wise opening 从而实现支持short proof的zero-knowledge databse。Vector commitment也可用于verifiable database。
参见博客 Vector Commitments and their Applications学习笔记 和博客 Vector Commitments with Efficient Proofs学习笔记 中指出,构建vector commitment可有以下四种方式:
- 基于accumulator或RSA构建的vector commitment:要求所使用的group应具有unknown order(hidden order)。
- 基于SDH assumption的vector commitment:CRS size为 O ( 2 n ) O(2n) O(2n),使用了bilinear pairing。
- 基于CDH assumption的vector commitment:CRS size为 O ( n 2 ) O(n^2) O(n2),使用了bilinear pairing。
- 基于DHE assumption的vector commitment:CRS size为 O ( 2 n ) O(2n) O(2n),使用了bilinear pairing。
3. Polynomial commitment
Polynomial commitment 由Kate, Zaverucha和Goldberg在2010年论文《 Constant-Size Commitments to Polynomials and their Applications》中提出:生成a constant-size commitment to a polynomial P [ Z ] P[Z] P[Z] (constant指independent of the degree),然后存在a constant-size witness to convince a verifier that the committed P [ Z ] P[Z] P[Z] indeed evaluates to P ( i ) P(i) P(i) for a given i i i。
Polynomial commitment 可用于:
- verifiable secret sharing;
- anonymous credentials with attributes;
- 不需要隐藏committed set size的zero-knowledge database;
- 利用Lagrange插值,可构建vector commitment。
4. Accumulator
密码学累加器也可理解为是commitment,especially when the hashing algorithm is randomized。累加器与zero-knowledge set类似,可提供inclusion证明(比zero-knowledge set更短的membership证明),但是不同的是,累加器通常无法隐藏the cardinality of the set。
参见博客 密码学累加器cryptographic accumulator。
累加器的构建方式主要分为三大类:
- strong RSA assumption in groups of unknown order:如RSA group或者class group。[6,3,36,11,34]。通常CRS size更short,且可提供non-membership proof从而扩展为通用累加器或动态累加器。但是需要set内的元素为co-prime。
- bilinear maps:如[41,14]。不要求set内元素为prime,但是CRS的size与累加的元素数量一样。可用于e-cash、authenticated data structure等场景,用于证明子集、交集等场景。
- Merkle hash trees:如[44, 11]。基于Merkle tree而不是number theoretic assumption。主要的缺点是使用hash tree,假设hashed set的cardinality为 N N N,则proof size 为 O ( log N ) O(\log N) O(logN),而基于number theoretic 的累加器,其proof size 为 O ( 1 ) O(1) O(1)。
Deler等人2015年论文《 Solving Revocation with Efficient Update of Anonymous Credentials》对the security property of accumulator进行了re-formalize,为accumulator与其它primitive建立了关联:如,拥有indistinguishability属性后,accumulator可用于non-interactive commitment scheme以及zero-knowledge set。
5. Functional commitment (FC)
本论文主要关注Functional commitment (FC) for linear function family { F x ⃗ : D n × D n → D } x ⃗ ∈ D n \{F_{\vec{x}}:D^n\times D^n\rightarrow D\}_{\vec{x}\in D^n} {Fx :Dn×Dn→D}x ∈Dn 定义为: F x ⃗ = < x ⃗ , m ⃗ > = ∑ i = 1 n x i m i F_{\vec{x}}==\sum_{i=1}^{n}x_im_i Fx ==∑i=1nximi,其中 m ⃗ ∈ D n \vec{m}\in D^n m ∈Dn。【其实即为Inner product?】
基本流程为:
- 用 { F x ⃗ : D n → D } x ⃗ ∈ D n \{F_{\vec{x}}:D^n\rightarrow D\}_{\vec{x}\in D^n} {Fx :Dn→D}x ∈Dn 来produce commitment to messages of the form m ⃗ = ( m 1 , ⋯ , m n ) ∈ D n \vec{m}=(m_1,\cdots,m_n)\in D^n m =(m1,⋯,mn)∈Dn over the domain D D D。
- 对于特定的 x ⃗ ∈ D \vec{x}\in D x ∈D,有 F x ⃗ ( m ⃗ ) = ∑ i = 1 n x i m i = y ∈ D F_{\vec{x}}(\vec{m})=\sum_{i=1}^{n}x_im_i=y\in D Fx (m )=∑i=1nximi=y∈D,open for F x ⃗ F_{\vec{x}} Fx that F x ⃗ ( m ⃗ ) F_{\vec{x}}(\vec{m}) Fx (m ) indeed evaluates to y y y。
- 要求:commitment和witness均应为简洁的,其size应independent of the length of the messages or function description。
本文的FC scheme基于composite order bilinear group内的subgroup decision assumption建立,具有perfect hiding和computationally binding属性。
M. Izabachene, B. Libert, D. Vergnaud 2011年论文《Blockwise P-Signatures and Non-Interactive Anonymous Credentials with Efficient Attributes》中所构建的vector commitment 的secure 是 under non-standard variable-size assumption。
本文借助 M. Chase, S. Meiklejohn. 2014年论文《D´ej`a Q:Using Dual Systems to Revisit q-Type Assumptions》的 Deja Q framework 来obtain security from constant size assumption。
2010年,Benoît Libert和Moti Yung 的论文《Concise Mercurial Vector Commitments and Independent Zero-Knowledge Sets with Short Proofs》中的思路为:【参看博客 Concise Mercurial Vector Commitments and Independent Zero-Knowledge Sets with Short Proofs 学习笔记 第2节内容。】
- commit to ( m 1 , ⋯ , m q ) (m_1,\cdots,m_q) (m1,⋯,mq)表示为 V = g γ ⋅ ∏ j = 1 q g q + 1 − j m j V=g^{\gamma}\cdot\prod_{j=1}^{q}g_{q+1-j}^{m_j} V=gγ⋅∏j=1qgq+1−jmj 【该commitment在q-DHE assumption下具有binding属性,若q-DHE assumption不成立,则adversary可produce two distinct openings of V V V at position i i i。同时,也可将该commitment看成是trapdoor commitment,其trapdoor key为 g q + 1 = g α q + 1 g_{q+1}=g^{\alpha^{q+1}} gq+1=gαq+1,拥有该trapdoor key 的人可open 该commitment为任意值。】
- 为证明 m i m_i mi为 the i i i-th committed message,Prover提供: W i = g i γ ⋅ ∏ j = 1 , j ≠ i q g q + 1 − j + i m j W_i=g_i^{\gamma}\cdot \prod_{j=1,j\neq i}^{q}g_{q+1-j+i}^{m_j} Wi=giγ⋅∏j=1,j=iqgq+1−j+imj
- Verifier验证: e ( g i , V ) = e ( g , W i ) ⋅ e ( g 1 , g q ) m i e(g_i,V)=e(g,W_i)\cdot e(g_1,g_q)^{m_i} e(gi,V)=e(g,Wi)⋅e(g1,gq)mi即可。
- 为实现mercurial commitment 具有更灵活的binding属性,若调整Verifier的验证公式为 e ( g i , V ) = e ( g 1 , W i ) ⋅ e ( g 1 , g q ) m i e(g_i,V)=e(g_1,W_i)\cdot e(g_1,g_q)^{m_i} e(gi,V)=e(g1,Wi)⋅e(g1,gq)mi则相应的binding属性将消失。基本思路为,Prover 的commitment不再只是 V V V,而是 ( C , V ) (C,V) (C,V),其中 θ ∈ Z p \theta \in\mathbb{Z}_p θ∈Zp,当 C = g θ C=g^{\theta} C=gθ时,为hard commitment;当 C = g 1 θ C=g_1^{\theta} C=g1θ时,为soft commitment。Verifier验证的公式为: e ( g i , V ) = e ( C , W i ) ⋅ e ( g 1 , g q ) m i e(g_i,V)=e(C,W_i)\cdot e(g_1,g_q)^{m_i} e(gi,V)=e(C,Wi)⋅e(g1,gq)mi
本文在Benoît Libert和Moti Yung 2010年的论文《Concise Mercurial Vector Commitments and Independent Zero-Knowledge Sets with Short Proofs》的基础上,选择的是composite order bilinear group G \mathbb{G} G of order N = p 1 p 2 p 3 N=p_1p_2p_3 N=p1p2p3, G q G_q Gq 代表the subgroup of G \mathbb{G} G of order q q q ( q q q可表示为 p 1 e 1 p 2 e 2 p 3 e 3 p_1^{e_1}p_2^{e_2}p_3^{e_3} p1e1p2e2p3e3,其中 e 1 , e 2 , e 3 ∈ { 0 , 1 } e_1,e_2,e_3\in\{0,1\} e1,e2,e3∈{0,1})。总的思路为:
- Public key: for g , u ∈ G p 1 g,u\in\mathbb{G}_{p_1} g,u∈Gp1, 构建commitment key { g α j } j = 1 n \{g^{\alpha^j}\}_{j=1}^n {gαj}j=1n和 { U j = u α j } j ∈ [ 1 , 2 n ] ∖ { n + 1 } \{U_j=u^{\alpha^j}\}_{j\in[1,2n]\setminus\{n+1\}} {Uj=uαj}j∈[1,2n]∖{n+1}。Trapdoor key 为 U n + 1 U_{n+1} Un+1
- 待commit messages:vector m ⃗ = m 1 , ⋯ , m n \vec{m}={m_1,\cdots,m_n} m =m1,⋯,mn。
- Commit算法:引入随机值 γ \gamma γ实现hiding属性, C = g γ ⋅ ∏ j = 1 n g α j m j C=g^{\gamma}\cdot\prod_{j=1}^{n}g^{\alpha^jm_j} C=gγ⋅∏j=1ngαjmj
- 待证明: < x ⃗ , m ⃗ > = y =y =y 【其实即为Inner product proof?其中 m ⃗ \vec{m} m 为witness, x ⃗ \vec{x} x 和 y y y为public info??】
- Prover计算: W i = u α n − i + 1 γ ⋅ ∏ j = 1 , j ≠ i n u α n + 1 + j − i m j W_i=u^{\alpha^{n-i+1}\gamma}\cdot \prod_{j=1,j\neq i}^{n}u^{\alpha^{n+1+j-i}m_j} Wi=uαn−i+1γ⋅∏j=1,j=inuαn+1+j−imj,根据收到的challenge x ⃗ = ( x 1 , ⋯ , x n ) \vec{x}=(x_1,\cdots,x_n) x =(x1,⋯,xn) 后,计算 W y = ∏ j = 1 n W i x i W_y=\prod_{j=1}^{n}W_i^{x_i} Wy=∏j=1nWixi,将 W y W_y Wy发送给Verifier。【建立的基本思路为: ( γ + α m 1 + α 2 m 2 + ⋯ + α n m n ) ⋅ ( α n x 1 + α n − 1 x 2 + ⋯ + α x n ) = α n + 1 y + F ( x ) (\gamma+\alpha m_1+\alpha^2 m_2+\cdots+\alpha^n m_n)\cdot (\alpha^nx_1+\alpha^{n-1}x_2+\cdots+\alpha x_n)=\alpha^{n+1}y+F(x) (γ+αm1+α2m2+⋯+αnmn)⋅(αnx1+αn−1x2+⋯+αxn)=αn+1y+F(x)】
- Verifier验证: e ( C , ∏ i = 1 n u α n − i + 1 x i ) = e ( g α , u α n ) y ⋅ e ( g , W y ) e(C,\prod_{i=1}^{n}u^{\alpha^{n-i+1}x_i})=e(g^{\alpha},u^{\alpha^n})^y\cdot e(g,W_y) e(C,∏i=1nuαn−i+1xi)=e(gα,uαn)y⋅e(g,Wy) 成立。
可以借鉴2010年,Benoît Libert和Moti Yung 的论文《Concise Mercurial Vector Commitments and Independent Zero-Knowledge Sets with Short Proofs》中的非对称pairing思路,将上述 u u u选取在 G 3 \mathbb{G}_3 G3 group。
Functional commitment的基本流程为:
D´ej`a Q framework [23] 可认为是基于subgroup decision assumption的Functional commitment:
5.1 Functional commitment as Polynomial commitment
Polynomial commitment 目标:commit to polynomial P [ Z ] = a 0 + a 1 Z + ⋯ + a n − 1 Z n − 1 P[Z]=a_0+a_1Z+\cdots+a_{n-1}Z^{n-1} P[Z]=a0+a1Z+⋯+an−1Zn−1 of degree n − 1 n-1 n−1 over D D D and reveal an opening for P ( x ) P(x) P(x) for x ∈ D x\in D x∈D。
采用Functional commitment来实现Polynomial commitment:先commit to 系数 ( a 0 , ⋯ , a n − 1 ) ∈ D n (a_0,\cdots,a_{n-1})\in D^n (a0,⋯,an−1)∈Dn,构建challenge x ⃗ = ( 1 , x , ⋯ , x n − 1 ) \vec{x}=(1,x,\cdots,x^{n-1}) x =(1,x,⋯,xn−1) 即可。
其实将 x ⃗ \vec{x} x 设置为特定位置 x i = 1 x_i=1 xi=1,其它位置均为 0 0 0 的情况,对应的即为open 位置 i i i 的vector commitment。
5.2 Functional commitment as Accumulator for large universe
参见博客 Vector Commitments and their Applications学习笔记 中的“2.2 基于RSA的Vector Commitment实现” 可知,基于accumulator可构建vector commitment。
Accumulator for large universe目标:对于集合 S = { y 1 , ⋯ , y n − 1 } S=\{y_1,\cdots,y_{n-1}\} S={y1,⋯,yn−1},提供 membership 或 non-membership proof,证明 x ∈ S 或 者 x ∉ S x\in S 或者x\notin S x∈S或者x∈/S。
采用Functional commitment来实现Accumulator for large universe:借助5.1节的思路,构建polynomial P [ Z ] = ∏ i = 1 n − 1 ( Z − y i ) = ∑ j = 0 n − 2 a j Z j + Z n − 1 P[Z]=\prod_{i=1}^{n-1}(Z-y_i)=\sum_{j=0}^{n-2}a_jZ^j+Z^{n-1} P[Z]=∏i=1n−1(Z−yi)=∑j=0n−2ajZj+Zn−1【可先commit to 系数vector ( a 0 , a 1 , ⋯ , a n − 2 , 1 ) (a_0,a_1,\cdots,a_{n-2},1) (a0,a1,⋯,an−2,1) 】,当且仅当 x ∈ S x\in S x∈S时, P [ x ] = 0 P[x]=0 P[x]=0。
密码学累加器基本流程为:
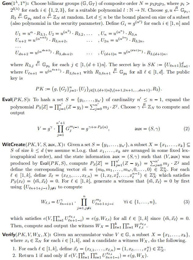
5.3 Functional commitment构建支持subset query的accumulator
假设 n n n为支持待累加集合的最大元素数, d d d为支持subset证明的subset内的最大元素数。
由博客 Concise Mercurial Vector Commitments and Independent Zero-Knowledge Sets with Short Proofs 学习笔记 第2节内容可知,若只是vector commitment的某单一位置 m i m_i mi的open的话,仅需要构建CRS public key: g 1 , ⋯ , g n , g n + 2 , ⋯ , g 2 n g_1,\cdots,g_n,g_{n+2},\cdots,g_{2n} g1,⋯,gn,gn+2,⋯,g2n,可表述为 [ 1 , 2 n ] [1,2n] [1,2n],相应的trapdoor key为 g n + 1 g_{n+1} gn+1,即hole at position n + 1 n+1 n+1。为证明第 i i i个位置为Prover计算: W i = u α n − i + 1 γ ⋅ ∏ j = 1 , j ≠ i n u α n + 1 + j − i m j W_i=u^{\alpha^{n-i+1}\gamma}\cdot \prod_{j=1,j\neq i}^{n}u^{\alpha^{n+1+j-i}m_j} Wi=uαn−i+1γ⋅∏j=1,j=inuαn+1+j−imj。
为了实现
d
d
d个位置元素subset的open,可扩展为具有
d
d
d个hole的CRS
[
1
,
(
d
+
1
)
n
]
[1,(d+1)n]
[1,(d+1)n],对应的trapdoor key 位置为
n
+
1
,
2
n
+
1
,
⋯
,
d
n
+
1
n+1, 2n+1,\cdots, dn+1
n+1,2n+1,⋯,dn+1。需要将
d
d
d个元素的open proof combine为constant size,方法为,将单个位置的
W
i
W_i
Wi表示为
W
l
,
i
W_{l,i}
Wl,i——the
i
i
i-th position of the
l
l
l-th element as a “shift” of
W
i
W_i
Wi by a factor
l
l
l in the exponent:
W
l
,
i
=
u
α
l
n
−
i
+
1
γ
⋅
∏
j
=
1
,
j
≠
i
n
u
α
l
n
+
1
+
j
−
i
m
j
W_{l,i}=u^{\alpha^{ln-i+1}\gamma}\cdot \prod_{j=1,j\neq i}^{n}u^{\alpha^{ln+1+j-i}m_j}
Wl,i=uαln−i+1γ⋅∏j=1,j=inuαln+1+j−imj
支持subset query 的accumulator的基本流程为:
支持subset query 的accumulator的具体算法可为:
