1. 引言
Groth 2011年论文《Efficient Zero-Knowledge Arguments from Two-Tiered Homomorphic Commitments》,发表于Asia crypto 2011。
本文:
-
基于double pairing assumption构建了two-tiered homomorphic commitments scheme 。
-
基于本文的two-tiered homomorphic commitments scheme狗啊见的zero-knowledge argument,具有:
– sublinear communication complexity
– perfect completeness
– perfect special honest verifier zero-knowledge
– computational soundness -
将本文的zero-knowledge argument用于实现range proof时,如证明a committed value belongs to a specific N N N-bit integer interval,相应的communication cost为 O ( N 1 3 ) O(N^{\frac{1}{3}}) O(N31) 个 group elements。
-
构建的circuit satisfiability argument的communication complexity为 O ( N 1 3 ) O(N^{\frac{1}{3}}) O(N31)个group elements,其中 N N N为gate数量。
该argument具有quasi-linear computational complexity for the prover,同时具有very efficient verification。
相关的对比见 如下表1和表2 :(其中Prover的computation保守估计为 O ( N log 2 N ) O(N\log^2 N) O(Nlog2N),若借助FFT,可进一步reduce为 O ( N log N ) O(N\log N) O(NlogN)。)
其中:
– [8] Cramer等人1994年论文《Proofs of partial knowledge and simplified design of witness hiding protocols》,基于的是DLOG assumption。
– [22] Groth 2019年论文《Linear algebra with sub-linear zero-knowledge arguments》,基于的是DLOG assumption。 -
本文的zero-knowledge argument可实例化为in asymmetric bilinear group,在该group下computational double pairing assumption成立。而[6,7] 论文中的range proof是基于 q q q-SDH assumption in bilinear group。
-
主要技术贡献是:batch product argument。已知 3 N 3N 3N个committed elements u i , v i , w i ∈ Z p u_i,v_i,w_i\in\mathbb{Z}_p ui,vi,wi∈Zp,构建了zk argument 证明 u i v i = w i u_iv_i=w_i uivi=wi。
借助commitment 的同态属性,同时支持对committed elements的加法和乘法运算,从而允许the prover to commit to the wires in a circuit and prove that they respect the N A N D NAND NAND-gate。
而对于range proof,将数值以 N N N个bit位表示 w 1 , ⋯ , w N w_1,\cdots,w_N w1,⋯,wN,则可转为证明 w i w i = w i w_iw_i=w_i wiwi=wi, which can only be true if w i ∈ { 0 , 1 } w_i\in\{0,1\} wi∈{0,1}。然后利用commitment的同态属性计算 w = ∑ i = 1 N w i 2 i − 1 w=\sum_{i=1}^{N}w_i2^{i-1} w=∑i=1Nwi2i−1,即可证明 w ∈ [ 0 ; 2 N ) w\in [0;2^N) w∈[0;2N)。也可扩展为证明 w ∈ [ A , B ) w\in [A,B) w∈[A,B)。
2. 相关定义
2.1 two-tiered homomorphic commitment
本文涉及的commitment scheme 有:
- Pedersen commitment
- commitment scheme for group elements
- Pedersen commitment + commitment scheme for group elements
(1) Pedersen commitment:
public key中包含the description of a group of prime order
p
p
p和group elements
g
,
h
g,h
g,h。
commitment to
a
∈
Z
p
a\in\mathbb{Z}_p
a∈Zp表示为:
c
=
g
a
h
r
c=g^ah^r
c=gahr,其中
r
r
r为随机值。
具有加法同态属性,即
c
⋅
c
′
=
(
g
a
h
r
)
(
g
b
h
s
)
=
g
a
+
b
h
r
+
s
c\cdot c'=(g^ah^r)(g^bh^s)=g^{a+b}h^{r+s}
c⋅c′=(gahr)(gbhs)=ga+bhr+s 为a commitment to
a
+
b
a+b
a+b。
commitment to vector
(
a
1
,
a
2
,
⋯
,
a
n
)
∈
Z
p
n
(a_1,a_2,\cdots, a_n)\in\mathbb{Z}_p^n
(a1,a2,⋯,an)∈Zpn可表示为:
c
=
h
r
∏
k
=
1
n
g
k
a
k
c=h^r\prod_{k=1}^{n}g_k^{a_k}
c=hr∏k=1ngkak
(2) commitment scheme for group elements:
Abe等人2010年论文《Structure-preserving signatures and commitments to group elements》
和
Groth 2009年论文《Homomorphic trapdoor commitments to group elements》
中均提出了commitment scheme for group elements。
其中的一种commitment scheme是使用a bilinear with a pairing
e
:
G
×
G
^
→
T
e: \mathbb{G}\times\hat{\mathbb{G}}\rightarrow \mathbb{T}
e:G×G^→T
其中
G
,
G
^
,
T
\mathbb{G},\hat{\mathbb{G}},\mathbb{T}
G,G^,T均为cyclic groups of prime order
p
p
p,将
G
\mathbb{G}
G和
G
^
\hat{\mathbb{G}}
G^ 称为base group,
T
\mathbb{T}
T称为target group。
该pairing应为efficiently computable, non-trivial and bilinear,即:
∀
x
,
y
,
a
,
b
\forall x,y,a,b
∀x,y,a,b均有
e
(
x
a
,
y
b
)
=
e
(
x
,
y
)
a
b
e(x^a,y^b)=e(x,y)^{ab}
e(xa,yb)=e(x,y)ab
对于specific non-trivial group elements
v
,
u
1
,
⋯
,
u
m
∈
G
^
v,u_1,\cdots,u_m\in\hat{\mathbb{G}}
v,u1,⋯,um∈G^,a commitment to vector
(
c
1
,
⋯
,
c
m
)
∈
G
(c_1,\cdots,c_m)\in\mathbb{G}
(c1,⋯,cm)∈G 可表示为:
C
=
e
(
t
,
v
)
∏
j
=
1
m
e
(
c
j
,
u
j
)
C=e(t,v)\prod_{j=1}^{m}e(c_j,u_j)
C=e(t,v)∏j=1me(cj,uj),其中
t
t
t为random point
t
∈
G
t\in\mathbb{G}
t∈G。
以上commitment具有computationally binding under the computational double pairing assumption,即已知
u
,
v
∈
G
^
u,v\in\hat{\mathbb{G}}
u,v∈G^,很难找到
s
,
t
∈
G
s,t\in\mathbb{G}
s,t∈G,使得
e
(
s
,
u
)
=
e
(
t
,
v
)
e(s,u)=e(t,v)
e(s,u)=e(t,v) 成立。
同时在Abe和Groth论文中证明了,the hardness of the computational double pairing assumption 与 the hardness of decision Diffie-Hellman assumption in
G
^
\hat{\mathbb{G}}
G^ 相当。
根据pairing的bilinearity属性有:
C
⋅
C
′
=
(
e
(
t
,
v
)
∏
j
=
1
m
e
(
c
j
,
u
j
)
)
(
e
(
t
′
,
v
)
∏
j
=
1
m
e
(
c
j
′
,
u
j
)
)
=
e
(
t
t
′
,
v
)
∏
j
=
1
m
e
(
c
j
c
j
′
,
u
j
)
C\cdot C'=( e(t,v)\prod_{j=1}^{m}e(c_j,u_j))( e(t',v)\prod_{j=1}^{m}e(c_j',u_j))= e(tt',v)\prod_{j=1}^{m}e(c_jc_j',u_j)
C⋅C′=(e(t,v)∏j=1me(cj,uj))(e(t′,v)∏j=1me(cj′,uj))=e(tt′,v)∏j=1me(cjcj′,uj)
即为a commitment to the entry-wise product of the messages。
(3) Pedersen commitment + commitment scheme for group elements:
将Pedersen commitment scheme 和 commitment scheme for group elements结合,可实现commit to commitments。
即若
c
j
=
h
r
j
∏
k
=
1
n
g
k
a
j
k
c_j=h^{r_j}\prod_{k=1}^{n}g_k^{a_{jk}}
cj=hrj∏k=1ngkajk,
C
=
e
(
t
,
v
)
∏
j
=
1
m
e
(
c
j
,
u
j
)
C=e(t,v)\prod_{j=1}^{m}e(c_j,u_j)
C=e(t,v)∏j=1me(cj,uj),最终可获得 a single target group element that is a commitment to
m
n
mn
mn values
{
a
j
k
}
j
=
1
,
k
=
1
m
,
n
\{a_{jk}\}_{j=1,k=1}^{m,n}
{ajk}j=1,k=1m,n。
因两种commitment scheme都是homomorphic the product of two commitments
C
⋅
C
′
C\cdot C'
C⋅C′ 为 a commitment to the sums of the messages
a
j
k
+
a
j
k
′
a_{jk}+a_{jk}'
ajk+ajk′。
two-tiered commitment scheme包含3个算法
(
K
,
c
o
m
,
c
o
m
(
2
)
)
(\mathcal{K}, com, com^{(2)})
(K,com,com(2)),其中:
1)
K
\mathcal{K}
K为key generator 输入为security parameter
λ
\lambda
λ,数字
m
,
n
m,n
m,n,输出为public key
c
k
ck
ck。the commitment key specifies cyclic groups
Z
p
,
G
\mathbb{Z}_p,\mathbb{G}
Zp,G和
T
\mathbb{T}
T of prime order
p
p
p。【一共有
m
+
n
+
2
m+n+2
m+n+2个group elements in
G
\mathbb{G}
G and
G
^
\hat{\mathbb{G}}
G^】
2)
c
o
m
c
k
:
Z
p
n
×
Z
p
→
G
com_{ck}:\mathbb{Z}_p^n\times \mathbb{Z}_p\rightarrow \mathbb{G}
comck:Zpn×Zp→G,即对应本文的Pedersen commitment。
3)
c
o
m
c
k
2
:
G
m
→
T
com_{ck}^2:\mathbb{G}^m\rightarrow \mathbb{T}
comck2:Gm→T,即对应本文的commitment scheme for group elements.
具有如下特性:
- 同态属性:当the maps c o m c k com_{ck} comck and c o m c k 2 com_{ck}^2 comck2 为 Z p \mathbb{Z}_p Zp-linear时,该two-tiered commitment scheme具有同态属性。
- computationally binding 属性
- perfectly hiding属性
2.2 Special honest verifier zero-knowledge arguments of knowledge
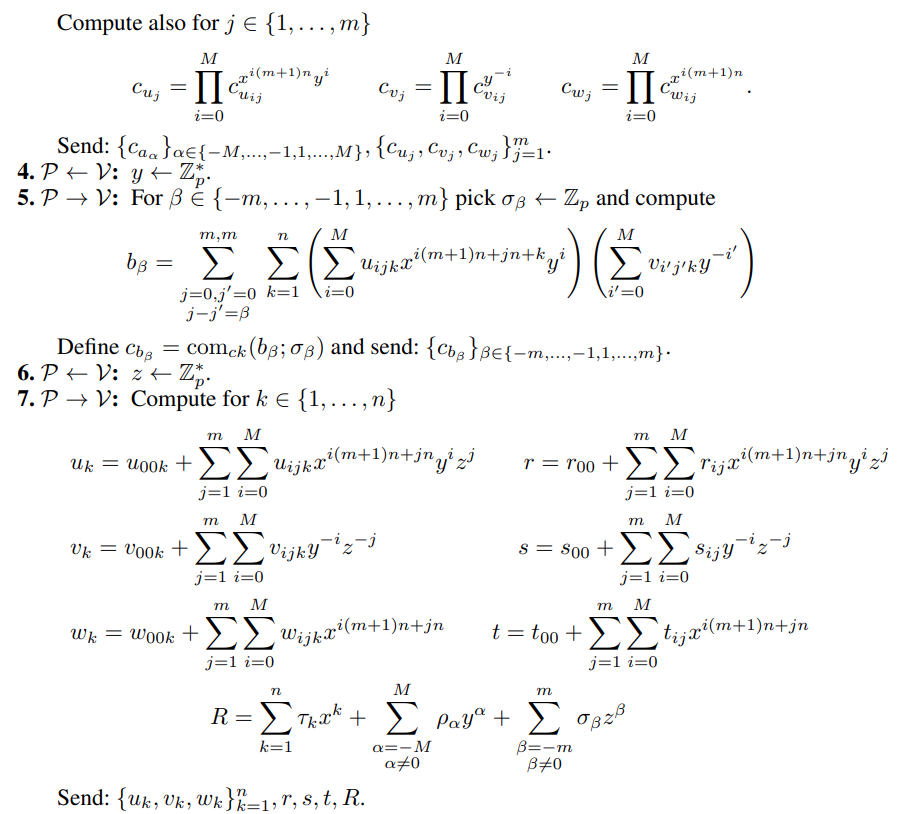
3. batch product argument (相当于Hadamard product argument)
针对的场景为:
- public info:commitments C U 1 , C V 1 , C W 1 , ⋯ , C U M , C V M , C W M C_{U_1},C_{V_1},C_{W_1},\cdots,C_{U_M},C_{V_M},C_{W_M} CU1,CV1,CW1,⋯,CUM,CVM,CWM
- private info: { u i j k ∈ Z p , v i j k ∈ Z p , w i j k ∈ Z p } i = 1 , j = 1 , k = 1 M , m , n \{u_{ijk}\in\mathbb{Z}_p, v_{ijk}\in\mathbb{Z}_p,w_{ijk}\in\mathbb{Z}_p \}_{i=1,j=1,k=1}^{M,m,n} {uijk∈Zp,vijk∈Zp,wijk∈Zp}i=1,j=1,k=1M,m,n 以及 相应的随机值 r i , j , s i , j , t i , j ∈ Z p r_{i,j},s_{i,j},t_{i,j} \in\mathbb{Z}_p ri,j,si,j,ti,j∈Zp。
- relation:
u i j k v i j k = w i j k u_{ijk}v_{ijk}=w_{ijk} uijkvijk=wijk 且
c u i , j = c o m c k ( u i j 1 , ⋯ , u i j n ; r i j ) c_{u_{i,j}}=com_{ck}(u_{ij1},\cdots,u_{ijn}; r_{ij}) cui,j=comck(uij1,⋯,uijn;rij) 且 C U i = c o m c k 2 ( c u i 1 , ⋯ , c u i m ) C_{U_i}=com_{ck}^2(c_{u_{i1}},\cdots,c_{u_{im}}) CUi=comck2(cui1,⋯,cuim) 且
c v i , j = c o m c k ( v i j 1 , ⋯ , v i j n ; s i j ) c_{v_{i,j}}=com_{ck}(v_{ij1},\cdots,v_{ijn}; s_{ij}) cvi,j=comck(vij1,⋯,vijn;sij) 且 C V i = c o m c k 2 ( c v i 1 , ⋯ , c v i m ) C_{V_i}=com_{ck}^2(c_{v_{i1}},\cdots,c_{v_{im}}) CVi=comck2(cvi1,⋯,cvim) 且
c w i , j = c o m c k ( w i j 1 , ⋯ , w i j n ; t i j ) c_{w_{i,j}}=com_{ck}(w_{ij1},\cdots,w_{ijn}; t_{ij}) cwi,j=comck(wij1,⋯,wijn;tij) 且 C W i = c o m c k 2 ( c w i 1 , ⋯ , c w i m ) C_{W_i}=com_{ck}^2(c_{w_{i1}},\cdots,c_{w_{im}}) CWi=comck2(cwi1,⋯,cwim)
基本思路为:
-
若引入challenge x ∈ Z p ∗ x\in\mathbb{Z}_p^* x∈Zp∗,则可转换为证明:
∑ i = 1 M ∑ j = 1 m ∑ k = 1 n ( u i j k v i j k − w i j k ) x i ( m + 1 ) n + j n + k = 0 \sum_{i=1}^{M}\sum_{j=1}^{m}\sum_{k=1}^{n}(u_{ijk}v_{ijk}-w_{ijk})x^{i(m+1)n+jn+k}=0 ∑i=1M∑j=1m∑k=1n(uijkvijk−wijk)xi(m+1)n+jn+k=0 …… (1)
除非 u i j k v i j k = w i j k u_{ijk}v_{ijk}=w_{ijk} uijkvijk=wijk for all choices of i , j , k i,j,k i,j,k,否则对于randomly chosen challenge x ∈ Z p ∗ x\in\mathbb{Z}_p^* x∈Zp∗,以上等式成立的概率可忽略。
接下来的难点在于构建this polynomial 并convince the verifier that 方程式(1) 成立,我们实现了communication cost仅为 O ( M + m + n ) O(M+m+n) O(M+m+n)。 -
利用 c o m c K 2 com_{cK}^2 comcK2的同态属性有:
-
利用 c o m c k com_{ck} comck的同态属性有:
-
从而有:
构建多项式 ∑ k = 1 n ( u k v k − w k ) x k \sum_{k=1}^{n}(u_kv_k-w_k)x^k ∑k=1n(ukvk−wk)xk展开为:
里面包含了我们需要证明的方程式(1),同时也包含了一些cross-terms corresponding to i ≠ i ′ i\neq i' i=i′ or j ≠ j ′ j\neq j' j=j′,使得以上多项式值可能为非零值。
因此需要引入 a α a_{\alpha} aα和 b β b_{\beta} bβ值,用于cancel out the cross-terms,需要额外再引入变量 y , z y,z y,z,使得:【本文实现的最终communication cost为 O ( M + m + n ) O(M+m+n) O(M+m+n)。】
从而有:
可以将以上的求和情况拆解为3个部分:
1) j = j ′ , i = i ′ j=j',i=i' j=j′,i=i′
2) j = j ′ , i ≠ i ′ j=j',i\neq i' j=j′,i=i′
3) j ≠ j ′ j\neq j' j=j′
从而有:
此时,Prover仅需证明其知道:
1)Prover先发送commitment { c a α } α ∈ { − M , ⋯ , − 1 , 1 , ⋯ , M } \{c_{a_{\alpha}}\}_{\alpha\in\{-M,\cdots,-1,1,\cdots,M\}} {caα}α∈{−M,⋯,−1,1,⋯,M}给Verifier。
2)Verifier 发送challenge y ∈ Z p ∗ y\in\mathbb{Z}_p^* y∈Zp∗
3)Prover发送commitment { c b β } β ∈ { − m , ⋯ , − 1 , 1 , ⋯ , m } \{c_{b_{\beta}}\}_{\beta\in\{-m,\cdots,-1,1,\cdots,m\}} {cbβ}β∈{−m,⋯,−1,1,⋯,m} 给Verifier。
4)Verifier 发送challenge z ∈ Z p ∗ z\in\mathbb{Z}_p^* z∈Zp∗
5)Prover发送相应的evaluation值 { u k , v k , w k } k = 1 n \{u_k,v_k,w_k\}_{k=1}^{n} {uk,vk,wk}k=1n和其它randomness R R R值发送给Verifier。
6)Verifier 仅需验证:
以下为详细的zero knowledge batch Hadamard product argument协议:【引入随机commitments
{
c
d
k
}
k
=
1
n
\{c_{d_k}\}_{k=1}^{n}
{cdk}k=1n 来实现hiding】
【
整个batch product argument :
- communication cost为:3个 T \mathbb{T} T elements, 2 M + 5 m + n + 1 2M+5m+n+1 2M+5m+n+1个 G \mathbb{G} G elements和 3 n + 7 3n+7 3n+7个 Z p \mathbb{Z}_p Zp elements。
- Verifier的computation为: 3 m 3m 3m个pairings and exponenetiations in the target group T \mathbb{T} T 和 5 M + 2 m + 4 n 5M+2m+4n 5M+2m+4n个exponentiations in the base group G \mathbb{G} G,可借助multi-exponentiation技术将其reduce为 O ( M + m + n log ( M + m + n ) ) O(\frac{M+m+n}{\log (M+m+n)}) O(log(M+m+n)M+m+n) 个exponentiations。
- Prover computation为:
3
m
3m
3m个pairings 和
O
(
M
+
m
+
n
)
O(M+m+n)
O(M+m+n) 个exponentiations,以及
O
(
N
(
M
+
m
)
)
O(N(M+m))
O(N(M+m))个multiplications in
Z
p
\mathbb{Z}_p
Zp,其中
N
=
M
m
n
N=Mmn
N=Mmn。可借助polynomial multiplication来reduce Prover的computation 压力。如以下协议第3步中:
- 若部分witness值为public known的话,协议性能可进一步优化:
】
4. Inner product argument
即为了证明:
∑
i
=
1
M
∑
j
=
1
m
∑
k
=
1
n
u
i
j
k
v
i
j
k
=
∑
i
=
1
M
∑
j
=
1
m
∑
k
=
1
n
w
i
j
k
\sum_{i=1}^{M}\sum_{j=1}^{m}\sum_{k=1}^{n}u_{ijk}v_{ijk}=\sum_{i=1}^{M}\sum_{j=1}^{m}\sum_{k=1}^{n}w_{ijk}
∑i=1M∑j=1m∑k=1nuijkvijk=∑i=1M∑j=1m∑k=1nwijk
观察可发现,对于方程式(1)中的 x x x值不再由Verifier random select,而是固定为 x = 1 x=1 x=1即可。
∑ i = 1 M ∑ j = 1 m ∑ k = 1 n ( u i j k v i j k − w i j k ) x i ( m + 1 ) n + j n + k = 0 \sum_{i=1}^{M}\sum_{j=1}^{m}\sum_{k=1}^{n}(u_{ijk}v_{ijk}-w_{ijk})x^{i(m+1)n+jn+k}=0 ∑i=1M∑j=1m∑k=1n(uijkvijk−wijk)xi(m+1)n+jn+k=0 …… (1)
5. arguments for circuit satisfiability
借助第三节的batch hadamard product argument,可构建a
7
7
7-move SHVZK argument for circuit satisfiability。
针对包含
N
−
1
N-1
N−1个 与非门的 boolean circuit,使得Verifier相信存在a satisfying assignment making the circuit ouput
1
1
1。
假设circuit具有 N = M m n N=Mmn N=Mmn个与非门,每个与非门的两个输入和一个输出分别为 u i j k , v i j k , w i j k u_{ijk},v_{ijk},w_{ijk} uijk,vijk,wijk,Prover需要证明:
- all the committed values are either
0
0
0 or
1
1
1 corresponding to truth values。
可通过batch Hadamard product argument来证明 u i j k u i j k = u i j k , v i j k v i j k = v i j k . w i j k w i j k = w i j k u_{ijk}u_{ijk}=u_{ijk}, v_{ijk}v_{ijk}=v_{ijk}. w_{ijk}w_{ijk}=w_{ijk} uijkuijk=uijk,vijkvijk=vijk.wijkwijk=wijk,which can only be true if u i j k , v i j k , w i j k ∈ { 0 , 1 } u_{ijk}, v_{ijk}, w_{ijk}\in\{0,1\} uijk,vijk,wijk∈{0,1}。 - Prover可利用commitment的同态属性来计算commitments to 1 − w i j k 1-w_{ijk} 1−wijk。
- 利用另一个batch Hadamard product argument来证明 u i j k v i j k = 1 − w i j k u_{ijk}v_{ijk}=1-w_{ijk} uijkvijk=1−wijk,表示the committed values respect the NAND-gates。
- 利用Groth 2009年论文《Linear algebra with sub-linear zero-knowledge arguments》中的inner product argument技术来证明all committed values u i j k , v i j k u_{ijk},v_{ijk} uijk,vijk和 w i j k w_{ijk} wijk corresponding to the same wire x l x_l xl are consistent with each other。【其中包含了permutation argument】
详细的arguments for circuit satisfiability实现为:
以上Boolean circuit 证明也可扩展至arithmetic circuit。
6. Range arguments
对应的场景为:
- public info:commitment c c c,和 A , B A,B A,B
- private info: w , t w,t w,t
- relation: c = c o m c k ( w ; t ) , w ∈ [ A ; B ) c=com_{ck}(w;t),w\in[A;B) c=comck(w;t),w∈[A;B)
基本思路为:
- 利用commitment的同态属性,可转为证明Prover knows an opening of c ⋅ c o m c k ( − A ; 0 ) c\cdot com_{ck}(-A;0) c⋅comck(−A;0) in the range [ 0 ; B − A ) [0;B-A) [0;B−A)。
- 设
N
=
⌊
log
(
B
−
A
)
⌋
N= \left \lfloor \log (B-A) \right \rfloor
N=⌊log(B−A)⌋。
Prover构建a commitment c 0 / 1 = c o m c k ( b ; s ) c_{0/1}=com_{ck}(b;s) c0/1=comck(b;s),并show that it contains 0 0 0 or 1 1 1 using standard techniques。 - 证明 KaTeX parse error: Undefined control sequence: \codt at position 22: … com_{ck}(-A;0)\̲c̲o̲d̲t̲ ̲c_{0/1}^{A-B+2^… 包含a value in the range [ 0 ; 2 N ) [0;2^N) [0;2N),即可使Verifier信服 w ∈ [ A ; B ) w\in [A;B) w∈[A;B)。
以
w
∈
[
0
;
2
N
)
w\in [0;2^N)
w∈[0;2N)为例,相应的range argument实现为:
