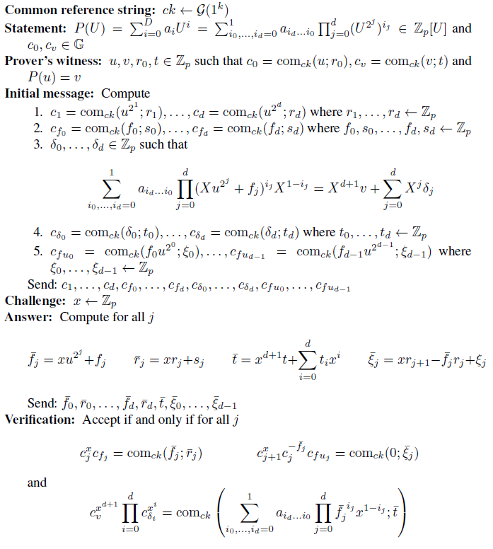
Bayer和Groth 2013年论文《Zero-Knowledge Argument for Polynomial Evaluation with Application to Blacklists》,发表于EuroCrypt 2013。
相应的代码实现参见:
- https://github.com/lovesh/bg_poly_eval
相应代码实现参见:
https://github.com/lovesh/bg_poly_eval/blob/master/src/univar_poly_eval_arg.rs:
#[test]
fn test_prove_evaluation() {
let comm_key = CommitmentKey::new("test".as_bytes());
for degree in vec![1, 2, 4, 8, 16, 32, 64, 128, 256, 512, 1024] {
let poly = UnivarPolynomial::random(degree);
let u = FieldElement::random();
let v = poly.eval(&u);
let start_prover = Instant::now();
let protocol = UnivarPolyEvalArgProtocol::init(&poly, u, v, &comm_key); //计算c_u,c_v,以及 c_1,...,c_d; c_{f_1},...,c_{f_d}; c_{\delta_0},...,c_{\delta_d}; c_{f_{u_0}},...,c_{f_{u_{d-1}}}
let c_0 = protocol.comm_variable().clone();
let c_v = protocol.comm_evaluation().clone();
let challenge_by_prover = FieldElement::from_msg_hash(&protocol.get_bytes_for_challenge(&poly, &comm_key));
let zk_argument = protocol.respond(&challenge_by_prover);
let prover_time = start_prover.elapsed();
let start_verifier = Instant::now();
let challenge_by_verifier = FieldElement::from_msg_hash(&zk_argument.get_bytes_for_challenge(&poly, &c_0, &c_v, &comm_key));
assert_eq!(challenge_by_prover, challenge_by_verifier);
assert!(zk_argument.verify(&challenge_by_verifier, &poly, &c_0, &c_v, &comm_key));
let verifier_time = start_verifier.elapsed();
println!("For degree {}, proving time is {:?} and verification time is {:?}", degree, prover_time, verifier_time);
}
}
其中的 eval() 函数中使用了Honer’s method(霍纳法则),详细参见 https://github.com/lovesh/amcl_rust_wrapper/blob/master/src/univar_poly.rs:
// Evaluate polynomial at given `x`
pub fn eval(&self, x: &FieldElement) -> FieldElement {
if x.is_zero() {
self[0].clone()
} else {
// Use Horner's method https://en.wikipedia.org/wiki/Horner%27s_method
// p(x) = a_0 + a_1*x + a_2*x^2 + a_3*x^3 + a_4*x^4 + ...
// p(x) = a_0 + x*(a_1 + x*(a_2 + x*(a_3 + x*(a_4 + ... x*(a_{n-1} + x*a_n))))..
// Reading coefficients from higher to lower degrees.
let mut res = self.0[self.0.len() - 1].clone(); // a_n
for i in (0..=self.0.len() - 2).rev() {
// in each iteration, multiply `res` with `x` and add the coefficient for ith degree, a_i
res = &self.0[i] + &(&res * x);
}
res
}
}
polynomial evaluation argument协议中相应的结构体设计为:
#[derive(Clone, Debug, Serialize, Deserialize)]
pub struct UnivarPolyEvalArgProtocol {
/// `u` is the variable at which the polynomial is evaluated
u: FieldElement,
/// Blinding used when committing to u.
r_0: FieldElement,
/// Commitment to `u`
comm_u: G1,
/// `v` is the result of evaluating the polynomial
v: FieldElement,
/// Blinding used when committing to v.
t: FieldElement,
/// Commitment to `v`
comm_v: G1,
/// Even powers of u. [u^{2^1}, u^{2^2}, u^{2^3}, ...u^{2^d}]
even_powers_u: Vec,
/// Blindings used when committing to even powers of u.
r: Vec,
/// commitments to even power of u
comm_even_powers_u: Vec,
/// `f` is the additive blinding of powers of u in Q(x)
f: Vec,
/// `s` is the blinding used to commit `f`
s: Vec,
/// commitments to `f`
comm_f: Vec,
blindings_delta: Vec,
/// commitments to `delta`
comm_delta: Vec,
xi: Vec,
/// commitments to `f_j^{u^{2^j}}`
comm_f_times_u_power: Vec
}
/// This serves as the proof that evaluating polynomial at u gives v. Commitments to u and v are
/// intentionally omitted as the verifier should receive them independently of the prover.
#[derive(Clone, Debug, Serialize, Deserialize)]
pub struct UnivarPolyEvalArg {
/// commitments to even power of u
comm_even_powers_u: Vec,
/// commitments to `f`
comm_f: Vec,
/// commitments to `delta`
comm_delta: Vec,
/// commitments to `f_j^{u^{2^j}}`
comm_f_times_u_power: Vec,
f_bar: Vec,
r_bar: Vec,
t_bar: FieldElement,
xi_bar: Vec,
}
init() 函数返回的为:
UnivarPolyEvalArgProtocol {
u: variable, r_0: blinding_variable, comm_u: comm_variable,
v: evaluation, t: blinding_evaluation, comm_v: comm_evaluation,
even_powers_u, r: blindings_even_powers_u, comm_even_powers_u,
f, s, comm_f, blindings_delta, comm_delta,
xi: blindings_f_times_u,
comm_f_times_u_power
}
respond() 函数返回的为:
UnivarPolyEvalArg {
comm_even_powers_u: self.comm_even_powers_u,
comm_f: self.comm_f,
comm_delta: self.comm_delta,
comm_f_times_u_power: self.comm_f_times_u_power,
f_bar, r_bar, t_bar, xi_bar
}
相应的 verify() 函数实现为:
pub fn verify(&self, challenge: &FieldElement, poly: &UnivarPolynomial, comm_variable: &G1, comm_evaluation: &G1, comm_key: &CommitmentKey) -> bool {
// The paper denotes the challenge by `x`
let d = UnivarPolyEvalArgProtocol::check_poly_degree_and_return_log_degree(&poly);
// TODO: Check the size of each list of commitments and responses to ensure that they are of appropriate size
// TODO: Parallelize the following code with rayon
// The need for these 2 is explained below
// TODO: Since these are 2 are used several times in multi-scalar multiplication, its better
// to compute lookup tables for them once.
let g_inv = comm_key.g.negation();
let h_inv = comm_key.h.negation();
let mut comm_u_raised_to_powers_of_2 = vec![comm_variable];
for i in 0..d {
comm_u_raised_to_powers_of_2.push(&self.comm_even_powers_u[i as usize])
}
// check {c_j}^x * c_{f_j} == commitment({f_bar}_j; {r_bar}_j) = g^{{f_bar}_j} * h^{{r_bar}_j}
// to use multi-scalar multi-exp, i can check {c_j}^x * c_{f_j} * g^{-{f_bar}_j} * h^{-{r_bar}_j} == 1
// Now rather than negating each exponent, its better to invert g and h once, so that the
// check becomes {c_j}^x * c_{f_j} * {1/g}^{{f_bar}_j} * {1/h}^{{r_bar}_j} == 1
// check {c_j}^x * c_{f_j} * {1/g}^{{f_bar}_j} * {1/h}^{{r_bar}_j} == 1 for j in [0, d]
for j in 0..=d as usize {
if !G1Vector::multi_scalar_mul_var_time_without_precomputation(
iter::once(comm_u_raised_to_powers_of_2[j]).
chain(iter::once(&self.comm_f[j])).
chain(iter::once(&g_inv)).
chain(iter::once(&h_inv)),
iter::once(challenge).
chain(iter::once(&FieldElement::one())).
chain(iter::once(&self.f_bar[j])).
chain(iter::once(&self.r_bar[j]))
).unwrap().is_identity() {
return false
}
}
// check {c_{j+1}}^x * c_j^{-{{f_bar}_j}} * c_{f_{u_j}} == commitment(0; {xi_bar}_j) = g^0 * h^{{xi_bar}_j}
// to use multi-scalar multi-exp, i can check {c_{j+1}}^x * c_j^{-{{f_bar}_j}} * c_{f_{u_j}} * h^{-{xi_bar}_j} == 1
// Rather than negating each exponent, its better to use inverted h, so that the check
// becomes {c_{j+1}}^x * c_j^{-{{f_bar}_j}} * c_{f_{u_j}} * {1/h}^{-{xi_bar}_j} == 1
// check {c_{j+1}}^x * c_j^{-{{f_bar}_j}} * c_{f_{u_j}} * {1/h}^{-{xi_bar}_j} == 1 for j in [0, d)
for j in 0..d as usize {
if !G1Vector::multi_scalar_mul_var_time_without_precomputation(
iter::once(comm_u_raised_to_powers_of_2[j +1]).
chain(iter::once(comm_u_raised_to_powers_of_2[j])).
chain(iter::once(&self.comm_f_times_u_power[j])).
chain(iter::once(&h_inv)),
iter::once(challenge).
chain(iter::once(&(-&self.f_bar[j]))).
chain(iter::once(&FieldElement::one())).
chain(iter::once(&self.xi_bar[j]))
).unwrap().is_identity() {
return false
}
}
// check {c_v}^{x^{d+1}} * { {c_{delta_j}}^{x^j} for all j in [0, d] } == commitment(delta_bar, t_bar)
// which is same as checking {c_v}^{x^{d+1}} * { {c_{delta_j}}^{x^j} for all j in [0, d] } * {1/g}^delta_bar * {1/h}^t_bar == 1
let delta_bar = Self::calculate_delta_bar(&poly, d as usize, challenge, &self.f_bar);
// x_powers is [1, x, x^2, x^3, ...., x^{d+1}]
let x_powers = FieldElementVector::new_vandermonde_vector(challenge, d as usize + 2);
// Prepare for multi-exp
// group_elems is [c_delta_0, c_delta_1, c_delta_2, ..., c_delta_d, c_v, 1/g, 1/h]
let group_elems = self.comm_delta.iter().
chain(iter::once(comm_evaluation)).
chain(iter::once(&g_inv)).
chain(iter::once(&h_inv));
// field_elems is [1, x, x^2, x^3, ...., x^{d+1}, delta_bar, t_bar]
let field_elems = x_powers.iter().
chain(iter::once(&delta_bar)).
chain(iter::once(&self.t_bar));
if !G1Vector::multi_scalar_mul_var_time_without_precomputation(group_elems, field_elems).unwrap().is_identity() {
return false
}
true
}
3. Non-membership argument
实际针对的场景为:
- public info:commitment c v c_v cv
- witness: v , r v,r v,r
- relation: c v = g v h r c_v=g^vh^r cv=gvhr且 v ≠ 0 v\neq 0 v=0
核心思想为: 若 v ≠ 0 v\neq 0 v=0,则 v − 1 v^{-1} v−1 值存在。
证明思路为:
- Prover:选择random y , z y,z y,z,计算 t = c v y h − z t=c_v^yh^{-z} t=cvyh−z,将 t t t发送给Verifier;
- Verifier:发送challenge x x x;
- Prover:计算 s 1 = y + x ⋅ v − 1 , s 2 = z + v − 1 ⋅ x ⋅ r s_1=y+x\cdot v^{-1}, s_2=z+v^{-1}\cdot x\cdot r s1=y+x⋅v−1,s2=z+v−1⋅x⋅r,将 s 1 , s 2 s_1,s_2 s1,s2发送给Verifier;
- Verifier:验证 c v s 1 = t ⋅ g x ⋅ h s 2 c_v^{s_1}=t\cdot g^x\cdot h^{s_2} cvs1=t⋅gx⋅hs2 即可。
详细的代码实现参见https://github.com/lovesh/bg_poly_eval/blob/master/src/membership_arg.rs中:
#[test]
fn test_prove_set_non_membership() {
let mut rng = rand::thread_rng();
let comm_key = CommitmentKey::new("test".as_bytes());
for set_size in vec![2, 4, 8, 16, 32, 64, 128, 256, 512, 1024] {
let set: Vec = FieldElementVector::random(set_size).into();
// pick random element and ensure its not member of the set
let mut non_member = FieldElement::random();
while set.contains(&non_member) {
non_member = FieldElement::random();
}
// Commit to non_member. In practice, this commitment (with blinding) will come from another protocol
let blinding_non_member = FieldElement::random();
let comm_non_member = comm_key.commit(&non_member, &blinding_non_member);
let start_prover = Instant::now();
let protocol = SetNonMembershipProtocol::init(&set, non_member, blinding_non_member, comm_non_member.clone(), &comm_key);
let challenge_by_prover = FieldElement::from_msg_hash(&protocol.get_bytes_for_challenge(&comm_key));
let zk_argument = protocol.respond(&challenge_by_prover);
let prover_time = start_prover.elapsed();
let start_verifier = Instant::now();
let challenge_by_verifier = FieldElement::from_msg_hash(&zk_argument.get_bytes_for_challenge(&set, &comm_non_member, &comm_key));
assert_eq!(challenge_by_prover, challenge_by_verifier);
assert!(zk_argument.verify(&challenge_by_verifier, &set, &comm_non_member, &comm_key));
let verifier_time = start_verifier.elapsed();
let start_verifier = Instant::now();
// Construct a polynomial with roots as the elements of the set. The polynomial can be constructed
// once for both `get_bytes_for_challenge_with_poly_constructed` and `verify_with_poly_constructed`
let poly = construct_polynomial_for_set(&set);
let challenge_by_verifier = FieldElement::from_msg_hash(&zk_argument.get_bytes_for_challenge_with_poly_constructed(&poly, &comm_non_member, &comm_key));
assert_eq!(challenge_by_prover, challenge_by_verifier);
assert!(zk_argument.verify_with_poly_constructed(&challenge_by_verifier, &poly, &comm_non_member, &comm_key));
let verifier_time_with_poly_construction_once = start_verifier.elapsed();
println!("For set size {}, proving time is {:?}, naive verification time is {:?}, verification time with polynomial computed only once is {:?}", set_size, prover_time, verifier_time, verifier_time_with_poly_construction_once);
}
}
其中的 init() 函数内容为:
/// Initialize protocol to prove that element `non_member` is not part of the set `set` and is committed in `comm_non_member` with blinding `blinding_non_member`
pub fn init(set: &[FieldElement], non_member: FieldElement, blinding_non_member: FieldElement, comm_non_member: G1, comm_key: &CommitmentKey) -> Self {
let poly = construct_polynomial_for_set(set);
// The polynomial evaluates to `evaluation` at `non_member`
let evaluation = poly.eval(&non_member);
// Commit to the evaluation
let blinding_evaluation = FieldElement::random();
let comm_evaluation = comm_key.commit(&evaluation, &blinding_evaluation);
// Prove comm_evaluation is a commitment to a non-zero value implying `evaluation` != 0.
// `evaluation` != 0 implies `evaluation`^-1 exists in the field
let y = FieldElement::random();
let z = FieldElement::random();
// t = comm_evaluation^y * h^-z
let t = G1Vector::multi_scalar_mul_const_time_without_precomputation(
iter::once(&comm_evaluation).chain(iter::once(&comm_key.h)),
iter::once(&y).chain(iter::once(&(-&z)))
).unwrap();
let poly_eval_arg_protocol = UnivarPolyEvalArgProtocol::init_with_given_commitments(&poly, non_member, evaluation, blinding_non_member, blinding_evaluation, comm_non_member, comm_evaluation, comm_key);
Self { poly, poly_eval_arg_protocol, y, z, t}
}
fn construct_polynomial_for_set(set: &[FieldElement]) -> UnivarPolynomial {
assert!(set.len().is_power_of_two());
// Construct a polynomial with roots as the elements of the set
UnivarPolynomial::new_with_roots(set)
}
/// Create a polynomial with given roots in `roots`
/// i.e. (x-roots[0])*(x-roots[1])*(x-roots[2])...(x-roots[last]) given `roots`
pub fn new_with_roots(roots: &[FieldElement]) -> Self {
// vector of [(x-roots[0]), (x-roots[1]), (x-roots[2]), ...]
let x_i = roots
.par_iter()
.map(|i| {
let mut v = FieldElementVector::with_capacity(2);
v.push(-i);
v.push(FieldElement::one());
UnivarPolynomial(v)
})
.collect::();
// Polynomial (x-roots[0])*(x-roots[1])*(x-roots[2])...(x-roots[last])
x_i.par_iter().cloned().reduce(
|| Self::new_constant(FieldElement::one()),
|a, b| UnivarPolynomial::multiply(&a, &b),
)
}
init() 函数的返回值为:
Self { poly, poly_eval_arg_protocol, y, z, t}
相应的respond() 函数内容为:
pub fn respond(self, challenge: &FieldElement) -> SetNonMembershipArg {
let comm_evaluation = self.poly_eval_arg_protocol.comm_evaluation().clone();
// {v^-1}
let eval_inverse = self.poly_eval_arg_protocol.evaluation().inverse();
// challenge*{v^-1}
let chal_v_inv = challenge * &eval_inverse;
// s_1 = y + challenge*{v^-1}
let s_1 = &self.y + &chal_v_inv;
// s_2 = z + challenge*{v^-1}*{blinding for v}
let s_2 = &self.z + &(&chal_v_inv * self.poly_eval_arg_protocol.blinding_evaluation());
// response for Polynomial evaluation argument
let poly_eval_arg = self.poly_eval_arg_protocol.respond(&challenge);
SetNonMembershipArg {poly_eval_arg, comm_evaluation, t: self.t, s_1, s_2}
}
相应的 verify 见 verify_with_poly_constructed() 函数:
pub fn verify_with_poly_constructed(&self, challenge: &FieldElement, poly: &UnivarPolynomial, comm_variable: &G1, comm_key: &CommitmentKey) -> bool {
// check that t * g^challenge * h^s_2 == comm_evaluation^s_1
// which is equivalent to the check t * g^challenge * h^s_2 * comm_evaluation^{-s_1} == 1
if !G1Vector::multi_scalar_mul_var_time_without_precomputation(
iter::once(&self.t).chain(iter::once(&comm_key.g)).chain(iter::once(&comm_key.h)).chain(iter::once(&self.comm_evaluation)),
iter::once(&FieldElement::one()).chain(iter::once(challenge)).chain(iter::once(&self.s_2)).chain(iter::once(&(-&self.s_1)))
).unwrap().is_identity() {
return false
}
// verify polynomial evaluation argument
self.poly_eval_arg.verify(challenge, poly, comm_variable, &self.comm_evaluation, comm_key)
}
4. membership argument
基本场景为:
- Public info: P ( X ) = ∏ i = 1 D ( X − λ i ) P(X)=\prod_{i=1}^{D}(X-\lambda_i) P(X)=∏i=1D(X−λi),以及set L = { λ 1 , ⋯ , λ D } \mathcal{L}=\{\lambda_1,\cdots,\lambda_D\} L={λ1,⋯,λD},commitment c u c_u cu和commitment c v c_v cv
- private info: u , v u,v u,v
- relation: P ( u ) = v P(u)=v P(u)=v 且 c u = C o m ( u ) c_u=Com(u) cu=Com(u) 且 c v = C o m ( v ) = C o m ( 0 ) c_v=Com(v)=Com(0) cv=Com(v)=Com(0)
详细的代码实现参见https://github.com/lovesh/bg_poly_eval/blob/master/src/membership_arg.rs中:
#[test]
fn test_prove_set_membership() {
let mut rng = rand::thread_rng();
let comm_key = CommitmentKey::new("test".as_bytes());
for set_size in vec![2, 4, 8, 16, 32, 64, 128, 256, 512, 1024] {
let set: Vec = FieldElementVector::random(set_size).into();
// pick random member of the set to prove membership
let member_idx = rng.gen_range(0, set_size);
let member = set[member_idx].clone();
// Commit to member. In practice, this commitment (with blinding) will come from another protocol
let blinding_member = FieldElement::random();
let comm_member = comm_key.commit(&member, &blinding_member);
let start_prover = Instant::now();
let protocol = SetMembershipProtocol::init(&set, member, blinding_member, comm_member.clone(), &comm_key);
let challenge_by_prover = FieldElement::from_msg_hash(&protocol.get_bytes_for_challenge(&comm_key));
let zk_argument = protocol.respond(&challenge_by_prover);
let prover_time = start_prover.elapsed();
let start_verifier = Instant::now();
let challenge_by_verifier = FieldElement::from_msg_hash(&zk_argument.get_bytes_for_challenge(&set, &comm_member, &comm_key));
assert_eq!(challenge_by_prover, challenge_by_verifier);
assert!(zk_argument.verify(&challenge_by_verifier, &set, &comm_member, &comm_key));
let verifier_time = start_verifier.elapsed();
let start_verifier = Instant::now();
// Construct a polynomial with roots as the elements of the set. The polynomial can be constructed
// once for both `get_bytes_for_challenge_with_poly_constructed` and `verify_with_poly_constructed`
let poly = construct_polynomial_for_set(&set);
let challenge_by_verifier = FieldElement::from_msg_hash(&zk_argument.get_bytes_for_challenge_with_poly_constructed(&poly, &comm_member, &comm_key));
assert_eq!(challenge_by_prover, challenge_by_verifier);
assert!(zk_argument.verify_with_poly_constructed(&challenge_by_verifier, &poly, &comm_member, &comm_key));
let verifier_time_with_poly_construction_once = start_verifier.elapsed();
println!("For set size {}, proving time is {:?}, naive verification time is {:?}, verification time with polynomial computed only once is {:?}", set_size, prover_time, verifier_time, verifier_time_with_poly_construction_once);
}
}
/// Initialize protocol to prove that element `member` is part of the set `set` and is committed in `comm_member` with blinding `blinding_member`
pub fn init(set: &[FieldElement], member: FieldElement, blinding_member: FieldElement, comm_member: G1, comm_key: &CommitmentKey) -> Self {
let poly = construct_polynomial_for_set(set);
// To prove comm_evaluation is a commitment to 0, it is sufficient to prove that comm_evaluation
// is of the form {comm_key.h}^blinding_evaluation which can be done with Schnorr's
// identification protocol.
let z = FieldElement::random();
let t = &comm_key.h * &z;
// Prove that the polynomial evaluates to 0 at `member`
let evaluation = FieldElement::zero();
let blinding_evaluation = FieldElement::random();
let comm_evaluation = comm_key.commit(&evaluation, &blinding_evaluation);
let poly_eval_arg_protocol = UnivarPolyEvalArgProtocol::init_with_given_commitments(&poly, member, evaluation, blinding_member, blinding_evaluation, comm_member, comm_evaluation, comm_key);
Self {poly, poly_eval_arg_protocol, z, t}
}
pub fn respond(self, challenge: &FieldElement) -> SetMembershipArg {
let comm_evaluation = self.poly_eval_arg_protocol.comm_evaluation().clone();
// response for Schnorr's Id protocol for proving commitment to evaluation is a commitment to 0
let s = &self.z + &(challenge * self.poly_eval_arg_protocol.blinding_evaluation());
// response for Polynomial evaluation argument
let poly_eval_arg = self.poly_eval_arg_protocol.respond(&challenge);
SetMembershipArg {poly_eval_arg, comm_evaluation, t: self.t, s}
}
pub fn verify_with_poly_constructed(&self, challenge: &FieldElement, poly: &UnivarPolynomial, comm_variable: &G1, comm_key: &CommitmentKey) -> bool {
// check that self.comm_evaluation is a commitment to 0 i.e. check h^s == t * {comm_evaluation}^challenge
// which is equivalent to the check t * {comm_evaluation}^challenge * {1/h}^s == 1
if !G1Vector::multi_scalar_mul_var_time_without_precomputation(
iter::once(&self.t).chain(iter::once(&self.comm_evaluation)).chain(iter::once(&(-&comm_key.h))),
iter::once(&FieldElement::one()).chain(iter::once(challenge)).chain(iter::once(&self.s))
).unwrap().is_identity() {
return false
}
// verify polynomial evaluation argument
self.poly_eval_arg.verify(challenge, poly, comm_variable, &self.comm_evaluation, comm_key)
}
