Mina系列博客有:
- Mina概览
- Mina的支付流程
- Mina的zkApp
- Mina中的Pasta(Pallas和Vesta)曲线
- Mina中的Schnorr signature
- Mina中的Pickles SNARK
Kimchi为基于PLONK的zk-SNARK协议。前序博客有:
- PLONK: permutations over lagrange-bases for oecumenical noninteractive arguments of knowledge 学习笔记
- Plonk代码解析
Mina计划将其proof system由Pickles升级为Kimchi。Kimchi生成的递归证明使Mina链保持为约22KB的固定大小,且未来将随着zkApps升级支持隐私智能合约。
Kimchi升级之后,将支持faster provers, larger circuits以及可能更短的proof size。 详细的Kimchi代码实现见:
- https://github.com/o1-labs/proof-systems(Rust语言)
视频解说见:
- David Wong PLONK系列视频How does PLONK work?
Pickles为Mina的递归层,可使用Pickles协议来创建proofs of proofs of proofs of … 来将区块链reduce为小于22KB的固定大小。 Pickles中使用Kimchi来创建证明,而Kimchi中采用ZCash Halo的pasta曲线:
Kimchi是基于Gabizon等人2019年发布的PLONK论文。基于该论文,人们提出了许多改进和扩展。有fflonk、turbo PLONK、ultra PLONK、plonkup和最近的plonky2。很难理解,但基本上所有这些协议都实现了PLONK的变体。因此,我们称之为“plonkish的协议”。Kimchi也是类似的plonkish协议。
如今,PLONK被认为是最具雄心的通用零知识证明结构之一。许多项目对PLONK做了实现,如:
- ZCash的Halo2
- Polygon Zero(以前称为Mir Protocol)的Plonky和Plonky2
- Aztec Network的PLONK+PLOOKUP
- Dusk Network的PLONK 和 PLONKUP
- MatterLabs(zksync)以Solidity实现的 Kate commitment based PLONK recursive aggregation circuit 和 Solidity verifier for Plonk
- Astar Network基于Dusk版本的PLONK进行了扩展
- anoma基于Dusk版本的PLONKUP进行了扩展
假设Alice将数独题 发送给Bob,有2种方式:
-
1)Bob直接将该题的解发送给Alice,Alice运行
verify solution确认Bob的解是否正确,若正确则返回true。 -
2)若Bob不想将具体的解告诉Alice,则其需要向Alice证明:”I know a solution, trust me, I just ran the
verify solutionprogram on my laptop and it returnedtrue“。 Alice无需信任Bob。为此,可借助PLONK来实现。首先将verify solution程序分为2部分:- Prover index(有时命名为prover key,尽管其不是密钥):Bob运行
prove算法,该算法的输入为Prover key、数独题和解,输出为a proof。 - Verifier index(有时命名为verifier key,尽管其不是密钥):Alice运行
verify算法,该算法的输入为Verifier key、数独题和proof,输出为true/false。
- Prover index(有时命名为prover key,尽管其不是密钥):Bob运行
Mina中的zkApps(零知识智能合约)采用snarkjs来编写,然后用snarky编译成某种中间表示形式。
Kimchi编译器可将program编译为:
- prover index:用于生成proof。
- verifier index:用于验证proof。
其中verifier index会上传到链上,允许任何人验证交易中包含的proof,以确认the claim that they executed a zkApp correctly。
计算电路为由计算门组成的电路。
假设在某计算中需用到bit
x
x
x,则首先需确保
x
x
x确实是一个bit(即要么为0,要么为1),即满足约束:
x
(
1
−
x
)
=
0
x(1-x)=0
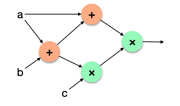
x(1−x)=0 写电路即为写类似这样的约束,该电路可以2个门来表示:【乘法门的输出必须为0】
在PLONK中,可将其写为作用于寄存器(两个输入L和R,以及输出O)的门列表:
不过,上例中的加法门不是
L
+
R
L+R
L+R,而是
1
+
(
−
R
)
1+(-R)
1+(−R),无需额外引入”add with constant gate“或者”subtract gate“,而是将现有的加法门调整为:
由于上例中乘法门的输出必须为0,其output register并未使用,所以将乘法门调整为:
另外,由于第一个加法门的output register为第二个乘法门的left register,需要将这2个寄存器以wire连接来表示对应关系:
这就是在PLONK中表示电路的方式。以上已列出了所有的门(和相应的参数)以及寄存器之间的wire连接关系。
当Prover想要生成proof时,Prover需运行程序并在每个execution trace中记录每个寄存器的值。以
x
=
0
x=0
x=0为例:【注意,由于第一个门的左寄存器和第二个门的输出寄存器可为任意值,因为其实际并未使用。】 Kimchi为简化表示,在实际circuit中,上图execution trace中的右寄存器wire 连接到 之前包含value
x
x
x的另一寄存器(或者为circuit的private input或public input):
Kimchi中另一个简化是不以加法门和乘法门分别表示,而是调整为通用门:
可通过对通用门的参数进行调整来实现不同的门逻辑:
- 加法逻辑
- 乘法逻辑
- 与常量相加逻辑
- 减法逻辑
详细也可参看PLONK论文中的constraint定义:
Kimchi是在PLONK基础上进行的改进、优化和修改的集合。例如,通过在协议内部使用Bulletproof形式的多项式承诺,克服了PLONK的可信设置限制。这样,就不需要相信可信设置的参与者是诚实的(如果他们不是,他们可能会破坏协议)。电路,因为我们在这里讨论电路方面,Kimchi在PLONK已经拥有的3个寄存器的基础上增加了12个寄存器: 这些寄存器分为2大类:
- IO寄存器:可相互wire连接。
- 临时寄存器(有时又称为advice wire):仅可由关联的门使用。
更多的寄存器意味着门的输入数将多于1个: 更多的输入意味着更多的可能性。以scalar multiplication为例,其至少需要3个输入(1个scalar值,以及curve point的2个坐标值),当支持更多的输入时,可实现效率更高的new gate。 本文发布时,Kimchi中实现了9种新gate:
- 1)poseidon哈希函数
- 2)椭圆曲线运算之scalar mul
- 3)椭圆曲线运算之complete add
- 4)椭圆曲线运算之endo scalmul
- 5)椭圆曲线运算之endo scalar
- 6)加密运算之chacha0
- 7)加密运算之chacha1
- 8)加密运算之chacha2
- 9)加密运算之chacha final
Kimchi中的另一概念是,一个门可直接将其输出写入到下一个门使用的寄存器中。这对于类似”poseidon“的门来说很有用,可在一行中使用多次(具体为11次)来表示poseidon哈希函数: Kimchi中的另一个性能改进在于lookups。某些运算可以table表示,如XOR table为:
4 bits值的XOR table size为
2
8
2^8
28,若以通用门来实现可能不容易且很长,为此,Kimchi构建了table,允许门(目前只有Chacha需要用到)简单地运行a lookup into the table来获取该运算的结果。
[1] 2022年2月博客 Kimchi: The latest update to Mina’s proof system
