ECC金字塔: 该金字塔层级之间不是独立的。 scalar multiplication针对的为:
- (finite, abelian)group G G G,为加法群,计算 k ⋅ P k\cdot P k⋅P,其中 k ∈ Z , P ∈ G k\in \mathbb{Z},P\in G k∈Z,P∈G。
- 而对于乘法群 G ′ G' G′,等价为计算 x k x^k xk,其中 x ∈ G ′ x\in G' x∈G′。
加法群的scalar multiplication 与 乘法群的幂运算,二者算法等价。
Scalar-multiplication广泛用于多种密码学场景中:
- 基于ECDLP的密钥生成
- EC Diffie-Hellman密钥交换
- Schnorr签名
这些场景中都需要计算 k P kP kP。 进一步观察可发现:
- 密钥生成时,点 P P P在编译时是固定的。
- Diffie-Hellman密钥交换时,联合密钥计算时的点是在运行时收到的。
- Schnorr签名验签时,需要double-scalar multiplication k 1 P 1 + k 2 P 2 k_1P_1+k_2P_2 k1P1+k2P2。Schnorr签名验签时的scalar值 k 1 , k 2 k_1,k_2 k1,k2是public的。
以上场景中,存在secret scalar和public scalar的差异:
- 无论 k k k是secret scalar还是public scalar值,计算 k P kP kP的结果应完全相同。
不过在scalar multiplication中需考虑Timing信息问题:
- 某些快速scalar-multiplication算法其运行时长与 k k k值相关。
- 攻击者可测量时长来推断 k k k的信息。
- 如Brumley, Tuveri, 2011:数分钟即可窃取网络中TLS服务的私钥。
因此,当 k k k为secret scalar时,相应的scalar multiplication算法应为constant-time的。
1.1 基于ECDLP的密钥生成所谓ECDLP(基于椭圆曲线的DLP)为: 已知椭圆曲线上2个点 P 和 Q P和Q P和Q, Q ∈ < P > Q\in
Q∈,找到某整数 k k k,使得 k P = Q kP=Q kP=Q成立。
密码学系统的经典设定为:
- P P P为某固定的系统参数
- k k k为私钥
- Q Q Q为公钥
已知 k 和 P k和P k和P,密钥生成实际是计算 Q = k P Q=kP Q=kP。
1.2 EC Diffie-Hellman密钥交换EC Diffie-Hellman密钥交换针对的场景为:
- 用户Alice和Bob分别具有密钥对 ( k A , Q A ) 和 ( k B , Q B ) (k_A,Q_A)和(k_B,Q_B) (kA,QA)和(kB,QB)。
- Alice将其公钥 Q A Q_A QA发送给Bob
- Bob将其公钥 Q B Q_B QB发送给Alice
- Alice计算联合密钥 K = k A Q B K=k_AQ_B K=kAQB
- Bob计算联合密钥 K = k B Q A K=k_BQ_A K=kBQA
Schnorr签名的场景为:
- Alice的密钥对为 ( k A , Q A ) (k_A, Q_A) (kA,QA)
- 基点
<
P
>
的order为 l l l
- 采用的密码学哈希函数为 H H H
Schnorr签名过程为:
- Alice(签名者)生成密码随机值
r
∈
{
1
,
⋯
,
l
}
r\in\{1,\cdots,l\}
r∈{1,⋯,l},对于消息
m
m
m进行如下计算获得签名
(
R
,
s
)
(R,s)
(R,s):
- 计算 R = r P R=rP R=rP
- 计算 s = ( r − H ( R , m , Q A ) k A ) m o d l s=(r-H(R,m,Q_A)k_A)\mod l s=(r−H(R,m,QA)kA)modl
任何具有Alice公钥 Q A Q_A QA的人,都可对消息 m m m的签名 ( R , s ) (R,s) (R,s)进行验签,验签过程为:
- 验证 R = s P + H ( R , m , Q A ) Q A R=sP+H(R,m,Q_A)Q_A R=sP+H(R,m,QA)QA成立,即验签通过。
以计算 105 ⋅ P 105\cdot P 105⋅P为例:
- 直观的算法是,直接做104次加法运算: P + P + P + ⋯ + P P+P+P+\cdots +P P+P+P+⋯+P
但是, 105 105 105约有7个bits,需要约 2 7 2^7 27次加法运算。实际真实的scalar值约有 256 256 256个bits,若采用这种直观算法,需要约 2 256 2^{256} 2256次加法运算(比解决ECDLP还昂贵)。
为此,我们需要scalar-multiplication算法的运行时长为与scalar size呈polynomial time关系的。
将 105 105 105表示为: 105 = 64 + 32 + 8 + 1 = 2 6 + 2 5 + 2 3 + 2 0 105=64+32+8+1=2^6+2^5+2^3+2^0 105=64+32+8+1=26+25+23+20
进一步表示为: 105 = 1 ⋅ 2 6 + 1 ⋅ 2 5 + 0 ⋅ 2 4 + 1 ⋅ 2 3 + 0 ⋅ 2 2 + 0 ⋅ 2 1 + 1 ⋅ 2 0 105=1\cdot 2^6+1\cdot 2^5+0\cdot 2^4+1\cdot 2^3+0\cdot 2^2+0\cdot 2^1+1\cdot 2^0 105=1⋅26+1⋅25+0⋅24+1⋅23+0⋅22+0⋅21+1⋅20
根据Horner’s rule有: 105 = ( ( ( ( ( ( ( ( ( ( 1 ⋅ 2 + 1 ) ⋅ 2 ) + 0 ) ⋅ 2 ) + 1 ) ⋅ 2 ) + 0 ) ⋅ 2 ) + 0 ) ⋅ 2 ) + 1 105= ((((((((((1 \cdot 2 + 1) \cdot 2) + 0) \cdot 2) + 1) \cdot 2) + 0) \cdot 2) + 0) \cdot 2) + 1 105=((((((((((1⋅2+1)⋅2)+0)⋅2)+1)⋅2)+0)⋅2)+0)⋅2)+1
从而有: 105 ⋅ P = ( ( ( ( ( ( ( ( ( ( P ⋅ 2 + P ) ⋅ 2 ) + 0 ) ⋅ 2 ) + P ) ⋅ 2 ) + 0 ) ⋅ 2 ) + 0 ) ⋅ 2 ) + P 105\cdot P= ((((((((((P \cdot 2 + P) \cdot 2) + 0) \cdot 2) + P) \cdot 2) + 0) \cdot 2) + 0) \cdot 2) + P 105⋅P=((((((((((P⋅2+P)⋅2)+0)⋅2)+P)⋅2)+0)⋅2)+0)⋅2)+P
相应的计算开销减为:
- 仅需要 6 6 6次double运算 和 3 3 3 次加法运算
扩展为通用“double-and-add”算法表示为:
single-scalar multiplication针对的场景是:
- 计算 k P kP kP
将scalar k k k值以二进制表示,其总bits数为 n n n,位为 1 1 1的总个数为 m m m。 double-and-add算法需要:
- n − 1 n-1 n−1次double运算
- m − 1 m-1 m−1次加法运算(平均约为 n / 2 n/2 n/2次加法运算)
double-and-add算法中,无需提前知道 P P P,也没有基于 P P P做预计算。
double-and-add算法:
- 适于处理single-scalar multiplication。
- 运行时间依赖于具体scalar值,对于secret scalar场景下的scalar-multiplication是不安全的。
double-scalar multiplication针对的场景是:【也可参看 书本 《Handbook of Elliptic and Hyperelliptic Curve Cryptography 》multi-exponentiation章节的 Algorithm 9.23算法。】
- 计算 k 1 P 1 + k 2 P 2 k_1P_1+k_2P_2 k1P1+k2P2
直观的算法是:
- 1)计算 k 1 P 1 k_1P_1 k1P1(需 n 1 − 1 n_1-1 n1−1次double运算和 m 1 − 1 m_1-1 m1−1次加法运算)
- 2)计算 k 2 P 2 k_2P_2 k2P2(需 n 2 − 1 n_2-1 n2−1次double运算和 m 2 − 1 m_2-1 m2−1次加法运算)
- 3)将以上结果相加(需 1 1 1次加法运算)
以上算法可改进为:(其中
O
\mathcal{O}
O表示无穷远点) 改进后的算法,计算
k
1
P
1
+
k
2
P
2
k_1P_1+k_2P_2
k1P1+k2P2的开销减为:
- 仅需 m a x ( n 1 , n 2 ) max(n_1,n_2) max(n1,n2)次double运算 和 m 1 + m 2 m_1+m_2 m1+m2次加法运算。
对2.2节的算法观察可发现,当 k 1 , k 2 k_1,k_2 k1,k2在同一位置具有bit 1 1 1时,总是先加 P 1 P_1 P1然后再加 P 2 P_2 P2(出现该情况的概率为 1 / 4 1/4 1/4)。 因此,可先预计算 T = P 1 + P 2 T=P_1+P_2 T=P1+P2。
对2.2节的算法进一步改进为:【为Straus algorithm的特例情况】 若预计算是free的(如fixed basepoint, offline precomputation)等场景下,可以:
- 预计算出来一个table,其中包含: 0 P , P , 2 P , 3 P , ⋯ 0P,P,2P,3P,\cdots 0P,P,2P,3P,⋯,当收到 k k k时,仅需查表获得 k P kP kP。
但是,当 k k k很大时,如 k k k为256 bit时,需要的table size为: 3369993333393829974333376885877453834204643052817571560137951281152TB
不过,如果预计算的table中只包含:
P
,
2
P
,
4
P
,
8
P
,
⋯
,
2
n
−
1
P
P,2P,4P,8P,\cdots,2^{n-1}P
P,2P,4P,8P,⋯,2n−1P。当
n
=
256
n=256
n=256时,存储该table的size仅需约
8
K
B
8KB
8KB。 对于
k
P
kP
kP这样的single-scalar fixed-basepoint scalar multiplication,相应算法可改进为: 从而可移除fixed-basepoint scalar multiplication中的所有double运算。
大多数密码学应用场景下,scalar均为secret的,这就意味着以上算法中的conditional addition中的condition是secret的,为此,可不管condition是啥均做加法运算,相应算法改为: 或者改为,若条件为非1,则与中立元素(无穷远点)
O
\mathcal{O}
O相加:
但是,目前为止,仍未实现secret scalar场景下要求的constant-time属性。
引入table T = ( O , P ) T=(\mathcal{O}, P) T=(O,P),对以上算法进行重写,此时:
- T [ 0 ] = O , T [ 1 ] = P T[0]=\mathcal{O},T[1]=P T[0]=O,T[1]=P
- 相应的scalar multiplication
k
P
kP
kP 算法为:
以上均是以二进制来表示scalar
k
k
k值。 如果以radix 3来表示
k
k
k,则预计算table
T
=
(
O
,
P
,
2
P
)
T=(\mathcal{O},P,2P)
T=(O,P,2P),并将
k
k
k表示为
(
k
n
−
1
,
⋯
,
k
0
)
3
(k_{n-1},\cdots,k_0)_3
(kn−1,⋯,k0)3,则
k
P
kP
kP的scalar multiplication算法为: 以更高的radix来表示scalar
k
k
k值:
- 优势是:以更高的radix表示的scalar更短,具有更少的加法运算。
- 劣势是:radix 3 3 3并不足够好,需要做3倍运算。
怎样的radix来表示更优呢? 4 , 8 , 16 4,8,16 4,8,16?
2.5.1 Fixed-window scalar multiplication固定窗口宽度为
w
w
w,预计算table
T
=
(
O
,
P
,
2
P
,
⋯
,
(
2
w
−
1
)
P
)
T=(\mathcal{O},P,2P,\cdots,(2^w-1)P)
T=(O,P,2P,⋯,(2w−1)P),将scalar
k
k
k值以radix
2
w
2^w
2w表示为
(
k
m
−
1
,
⋯
,
k
0
)
2
w
(k_{m-1},\cdots,k_0)_{2^w}
(km−1,⋯,k0)2w,整个算法实现是与将二进制scalar切碎进固定长度为
w
w
w的“窗口”一样,详细的scalar multiplication算法为: 不过,以上算法:
- 对于具有 n n n-bit scalar值,仍然需要 n − 1 n-1 n−1次double运算。
- 预计算table T T T的开销为: w / 2 − 1 w/2-1 w/2−1次加法运算 和 w / 2 − 1 w/2-1 w/2−1次double运算。
- 在for循环中的加法运算次数为: ⌈ n / w ⌉ \left \lceil n/w\right \rceil ⌈n/w⌉。
- 更大的 w w w,意味着更多的预计算。
- 更小的 w w w,意味着for循环中更多的加法运算。
- 对于约 256 256 256-bit的scalar值,通常取 w = 4 或 w = 5 w=4或w=5 w=4或w=5。
2.5.1节的Fixed-window scalar multiplication算法是否为constant time?
- 对于该scalar的每个window,需要 w w w次double运算,和 1 1 1次加法运算,似乎可认为是constant time的?
不过,魔鬼在于细节:
- 1)加法运算是否以constant time运行的?即使是与 O \mathcal{O} O的加法运算也是constant time的么?【可让这些加法运算是constant time的,但是具体的实现容易程度以及效率取决于曲线形状(提示:你会想要使用Edward 曲线)。】
- 2)从预计算table T T T中查找是否是以constant time运行的?【通常不是constant time的。】
Cache-timing攻击针对的场景为: 从tabel T T T中加载位置 p = ( k ) 2 w [ i ] p=(k)_{2^w}[i] p=(k)2w[i],该位置为secret scalar的一部分,也应是secret的。 但是,大多是处理器是通过多个缓存来加载数据(这些缓存是透明的,fast memory的):
- 若该数据在cache中找到了,则加载快速(cache hit)
- 若该数据未在cache中找到,则加载缓慢(cache miss)
为解决该问题,可加载所有items,然后选择正确的那个: 不过,以上算法存在的问题是:
- 1)if-statements不是constant time的。
- 2)comparison无法保证是constant time的。
为此:
-
1)实现constant-time ifs,通用的表达应遵循:
但是所需时间依赖于bit s s s,即使 A , B A,B A,B用时相同。原因在于:branch prediction(分支预测)。 更合适的表达应为:
可将乘法运算和加法运算替换为bit-logic运算(AND和XOR)。对于很快的 A 和 B A和B A和B,其会比if else这种条件分支要快。
-
2)实现constant-time comparison:
2.3节预计算
P
,
2
P
,
4
P
,
8
P
,
⋯
P,2P,4P,8P,\cdots
P,2P,4P,8P,⋯之外,结合2.5.1节的fixed-window scalar multiplication,针对
i
=
0
,
w
,
2
w
,
3
w
,
⋯
,
⌈
n
/
w
⌉
−
1
i=0,w,2w,3w,\cdots,\left \lceil n/w\right \rceil-1
i=0,w,2w,3w,⋯,⌈n/w⌉−1,预计算相应的
T
i
=
(
O
,
P
,
2
P
,
3
P
,
⋯
,
(
2
w
−
1
)
P
)
⋅
2
i
T_i=(\mathcal{O}, P, 2P, 3P,\cdots,(2^w-1)P)\cdot 2^i
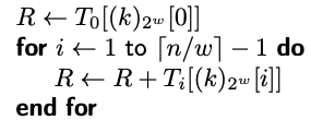
Ti=(O,P,2P,3P,⋯,(2w−1)P)⋅2i。 整个scalar multiplication算法为: 相应的开销为:
- 无需double运算,仅有 ⌈ n / w ⌉ − 1 \left \lceil n/w\right \rceil-1 ⌈n/w⌉−1次加法运算。
可使用更大 w w w,但是:
- 对于某个大 w w w,会使得预计算table无法再载入cache中。
- 对于大 w w w,意味着constant-time load速度将变慢。
2.5.1节的fixed-window scalar multiplication算法为: 运用2.5.1节的fixed-window scalar multiplication算法计算
k
P
kP
kP,
k
=
22
=
(
1
01
10
)
2
k=22=(1\ 01\ 10)_2
k=22=(1 01 10)2,且window size为2时,相应的流程为:
- 初始化 R R R为 P P P。
- double, double, add P P P
- double, double, add 2 P 2P 2P
但是该场景下,效率更高的算法流程应为:
- 初始化 R R R为 P P P。
- double, double, double, add 3 P 3P 3P
- double
这就是fixed-window算法的缺陷:它是固定的。
一个解决思路是:“Slide” the window over the scalar。
Sliding-window scalar multiplication算法思路为:
- 选择window size为 w w w
- 将scalar k k k值重写为 k = ( k 0 , ⋯ , k m ) k=(k_0,\cdots,k_m) k=(k0,⋯,km),其中每个 k i ∈ { 0 , 1 , 3 , 5 , ⋯ , 2 w − 1 } k_i\in\{0,1,3,5,\cdots, 2^w-1\} ki∈{0,1,3,5,⋯,2w−1},使得每个长度为 w w w的窗口内最多只有一个非零entry。
- 从右到左扫描 k k k,每遇到 1 1 1-bit 就expand window。
- 预计算 P , 3 P , 5 P , ⋯ , ( 2 w − 1 ) P P,3P,5P,\cdots,(2^w-1)P P,3P,5P,⋯,(2w−1)P。
Sliding-window scalar multiplication具体算法为: 相应的开销为:
- 对于 n n n-bit scalar,仍然需要 n − 1 n-1 n−1次double运算
- 预计算量为 2 w − 1 2^{w-1} 2w−1
- 主循环中加法运算次数的期望值为: n / ( w + 1 ) n/(w+1) n/(w+1)
- 对于相同的 w w w,相比于fixed-window scalar multiplication,其仅需要一半的预计算。
- 对于相同的 w w w,主循环中的加法运算次数更少。
但是sliding-window算法存在的一个问题是:不是以constant time运行的。但仍然适用于验签环境中的double-scalar场景。
3. 使用 efficient negation加速以上算法适于任意cyclic group < P >
。 但对于椭圆曲线来说,其可提供更多效率优化策略。 例如,基于Weierstrass curves,efficient negation表示为: − ( x , y ) = ( x , − y ) -(x,y)=(x,-y) −(x,y)=(x,−y)
因此,可用有符号(signed)来表示scalar值。
借助efficient negation,可对Fixed-window scalar multiplication进一步做如下优化:
- 将scalar表示为 ( k 0 , ⋯ , k m − 1 ) (k_0,\cdots,k_{m-1}) (k0,⋯,km−1),其中 k i ∈ [ − 2 w , ⋯ , 2 w − 1 ] k_i\in[-2^w,\cdots,2^w-1] ki∈[−2w,⋯,2w−1]
- 预计算 T = ( − 2 w P , ( − 2 w + 1 ) P , ⋯ , O , P , ⋯ , ( 2 w − 1 ) P ) T=(-2^wP,(-2^w+1)P,\cdots,\mathcal{O}, P,\cdots, (2^w-1)P) T=(−2wP,(−2w+1)P,⋯,O,P,⋯,(2w−1)P)
- 运行正常的fixed-window scalar multiplication。
- 一半的预计算几乎是free的,可get one bit of w w w for free。
- 由于negation很快,可do it on fly(从而节约一半的预计算table,实现更快的constant-time lookups)。
同理,也可借助scalar-negation对sliding-window scalar multiplication进行类似的加速。
4. 使用 efficient endomorphisms加速Ben展示了在椭圆曲线上存在efficient endomorphisms,以 φ \varphi φ来表示。 假设对于所有的 Q ∈ < P > Q\in
Q∈, φ ( Q ) \varphi(Q) φ(Q)对应 λ Q \lambda Q λQ。
见 (Gallant, Lambert, Vanstone, 2000; and Galbraith, Lin, Scott, 2009),可借助efficient endomorphisms,可实现更快的scalar multiplication:
- 将scalar k k k表示为 k = k 1 + k 2 λ k=k_1+k_2\lambda k=k1+k2λ,其中 k 1 , k 2 k_1,k_2 k1,k2长度为 k k k的一半。
- 运行half-size double-scalar multiplication k 1 P + k 2 ⋅ φ ( P ) k_1P+k_2\cdot \varphi(P) k1P+k2⋅φ(P)。
- 可节约一半的double运算(预计速度提升约30%~40%)。
借助2个efficient endomorphisms,可实现4-dimensional decomposition。 执行quarter-size quad-scalar multiplication,可再节约25%的double运算。
5. 使用 Differential addition加速(Montgomery ladder优势)对于形如 B y 2 = x 3 + A x 2 + x By^2=x^3+Ax^2+x By2=x3+Ax2+x的椭圆曲线,Montgomery在1987年展示了如何进行基于 x x x坐标的计算:【为此,以projective坐标系 ( X : Z ) (X:Z) (X:Z)来表示,其中 x = ( X / Z ) x=(X/Z) x=(X/Z)。Montgomery "ladder step"算法。】
- 已知点 P P P的 x x x坐标 x P x_P xP,点 Q Q Q的 x x x坐标 x Q x_Q xQ,点 P − Q P-Q P−Q的 x x x坐标 x P − Q x_{P-Q} xP−Q
- 计算点
R
=
P
+
Q
R=P+Q
R=P+Q的
x
x
x坐标
x
R
x_R
xR。
这种计算称为differential addition。 对于其它形状的椭圆曲线,其differential addition效率要低一些。
仅知点
P
P
P的
x
x
x坐标,可借助differential addition来高效计算
k
P
kP
kP的
x
x
x坐标: 使用Montgomery ladder算法的优势在于:
- 非常整齐的结构,易于保护不受timing攻击。
- 将其中的if statement替换为conditional swap。
- 仔细处理constant-time swaps。
- 速度很快(不与 具有efficient endomorphisms的曲线相比的话)。
- point压缩和解压缩是free的。
- 易于实现。
- 没有恶心的特例情况(见Bernstein的“Curve25519”论文)。
multi-scalar multiplication针对的场景为: 计算 Q = ∑ 1 n k i P i Q=\sum_{1}^n k_iP_i Q=∑1nkiPi
在2.2节看到了 n = 2 n=2 n=2的情况,当 n = 128 n=128 n=128呢?
思路为:假设 k 1 > k 2 > ⋯ > k n k_1>k_2>\cdots >k_n k1>k2>⋯>kn。
Bos-Coster算法为递归计算: Q = ( k 1 − k 2 ) P 1 + k 2 ( P 1 + P 2 ) + k 3 P 3 ⋯ + k n P n Q=(k_1-k_2)P_1+k_2(P_1+P_2)+k_3P_3\cdots +k_nP_n Q=(k1−k2)P1+k2(P1+P2)+k3P3⋯+knPn
在递归计算过程中:
- 每一步都需要一次scalar subtraction运算和一次point addition运算。
- 每一步都“消除” expected log n \log n logn scalar bits
Bos-Coster算法:
- 速度可以很快(但不是constant-time的)。
- 需要能快速访问最大的2个scalar值:将scalars放入heap中。
- 实现fast heap对于实现好的性能至关重要。
heap为二叉树,每个父节点都大于其2个子节点。 数据结构以数组的形式存储,在该数组中的位置决定了其在树中的位置。 Root在位置0,左叶子节点在位置1,右叶子节点在位置2。 对于在位置 i i i的节点,其子节点在位置 2 ⋅ i + 1 2\cdot i+1 2⋅i+1和 2 ⋅ i + 2 2\cdot i+2 2⋅i+2,其父节点在位置 ⌊ ( i − 1 ) / 2 ⌋ \left \lfloor (i-1)/2 \right \rfloor ⌊(i−1)/2⌋。
Typical heap root replacement (pop operation)为:从root开始,swap down for a variable amount of times。
Floyd‘s heap为:swap down to the bottom, swap up for a variable amount of times。
Floyd‘s heap的优势为:
- 每个swap-down step仅需要一次比较(而不是2次)
- swap-down loop对branch predicators更友好。
根据Fermat定理可知, x p − 1 ≡ 1 m o d p x^{p-1}\equiv 1\mod p xp−1≡1modp,从而可知求倒数对应为幂运算: x − 1 ≡ x p − 2 m o d p x^{-1}\equiv x^{p-2} \mod p x−1≡xp−2modp。
不过这种幂运算实际与scalar multiplication并无本质差异(double运算变为了square运算,加法运算变为了multiplication运算)。
由于素数 p p p是公开的,因此 p − 2 p-2 p−2也是公开的。
思路一:采用sliding window来进行幂运算。
但是 p p p不仅是公开的,而且是固定的系统参数,有更好的方案么? 答案是:addition chains
所谓addition chains,定义为: 令 k k k为正整数,若序列 s 1 , s 2 , ⋯ , s m s_1,s_2,\cdots,s_m s1,s2,⋯,sm满足如下条件,则可称其为 k k k的长度为 m m m的addition chain:
- s 1 = 1 s_1=1 s1=1
- s m = k s_m=k sm=k
- 对于每个
s
i
s_i
si,存在
j
,
k
<
i
j,k
关注打赏
