您当前的位置: 首页 >  ZhangJiQun&MXP

卡特兰数 二叉树相关公式 二叉树ADT操作

ZhangJiQun&MXP 发布时间:2019-12-06 20:17:50 ,浏览量:3

目录

卡特兰数

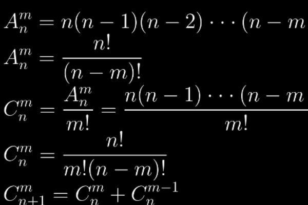
二叉树相关公式

二叉树ADT操作

卡特兰数

 

)!

A(2,2)=4!/2!=4*3=12 A(4,2)=4!/2!=4*3=12

C(4,2)=4!/(2!*2!)=4*3/(2*1)=6

关注
打赏
1688896170
查看更多评论

ZhangJiQun&MXP

暂无认证

  • 3浏览

    0关注

    1083博文

    0收益

  • 0浏览

    0点赞

    0打赏

    0留言

私信
关注
热门博文
立即登录/注册

微信扫码登录

0.2158s