您当前的位置: 首页 >  不太灵光的程序员 Python

【LeetCode Python实现】19. 删除链表的倒数第 N 个结点(中等)首次 99.5% +

不太灵光的程序员 发布时间:2022-04-14 23:09:10 ,浏览量:4

文章目录
  • 题目描述
  • 示例 1:
  • 示例 2:
  • 示例 3:
  • 提示:
  • 参考代码

题目描述

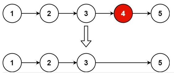
给你一个链表,删除链表的倒数第 n 个结点,并且返回链表的头结点。

示例 1:

在这里插入图片描述

输入:head = [1,2,3            
关注
打赏
1688896170
查看更多评论
0.8017s