- 📢前言
- 🌲原题样例:环形链表
- 🌻C#方法:双指针
- 🌻Java 方法:哈希表
- 💬总结
- 🚀往期优质文章分享
- 🌲 每天打卡一道算法题,既是一个学习过程,又是一个分享的过程😜
- 🌲 提示:本专栏解题 编程语言一律使用 C# 和 Java 两种进行解题
- 🌲 要保持一个每天都在学习的状态,让我们一起努力成为算法大神吧🧐!
- 🌲 今天是力扣算法题持续打卡第38天🎈!
给定一个链表,判断链表中是否有环。
如果链表中有某个节点,可以通过连续跟踪 next指针再次到达,则链表中存在环。 为了表示给定链表中的环,我们使用整数 pos 来表示链表尾连接到链表中的位置(索引从 0 开始)。 如果 pos 是 -1,则在该链表中没有环。
注意:pos 不作为参数进行传递,仅仅是为了标识链表的实际情况。
如果链表中存在环,则返回 true。 否则,返回 false 。
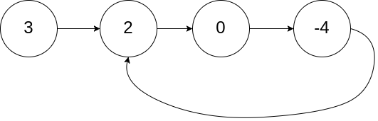
示例 1:
输入:head = [3,2,0,-4], pos = 1
输出:true
解释:链表中有一个环,其尾部连接到第二个节点。
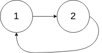
示例 2:
输入:head = [1,2], pos = 0
输出:true
解释:链表中有一个环,其尾部连接到第一个节点。
示例 3:
输入:head = [1], pos = -1
输出:false
解释:链表中没有环。
提示:
- 链表中节点的数目范围是 [0, 104]
- -105
关注打赏
热门博文
- 通宵一晚做出来的一款类似CS的第一人称射击游戏Demo!原来做游戏也不是很难,连憨憨学妹都学会了!
- 花一天时间做一个高质量飞机大战游戏,过万字Unity完整教程!漂亮学妹看了直呼666!
- 自动化测试哪家强?Apipost用实力来告诉你。
- Unity实战篇 | 游戏中控制 地图无限自动化生成 的方法,进一步优化项目
- Unity实战篇 |制作一个跟随鼠标转向的 简易箭头指示标,包括 UI指向 和 3D指向标
- 【100个 Unity实用技能】| Unity读取本地文件(Json,txt等)的三种方法示例
- 【100个 Unity实用技能】| Unity中常用的几种路径 分析,不同平台路径总结
- 实测:游戏情景中,远控软件实力如何?一篇告诉你ToDesk的强大之处
- 【100个 Unity实用技能】| C#中List.Find 方法详解 查找符合要求的第一个元素并返回
- 一顿饭的时间,教你怎样快速使用 动态代理ip 做一个获取Steam 热销商品 的方法
