(1)定义:提取信息的方法:奇异值分解Singular Value Decomposition(SVD)
(2)优点:简化数据, 去除噪声,提高算法的结果
(3)缺点:数据转换难以想象,耗时,损失特征
(4)适用于:数值型数据
1.2、原理–矩阵分解将原始的数据集矩阵data(mn)分解成三个矩阵U(mn), Sigma(nm), VT(mn): 对于Sigma矩阵:
- 该矩阵只用对角元素,其他元素均为零
- 对角元素从大到小排列。这些对角元素称为奇异值,它们对应了原始数据集矩阵的奇异值
- 这里的奇异值就是矩阵Data * DataT特征值的平方根。
- 在某个奇异值的数目(r个 )之后,其他的奇异值都置为0。这就意味着数据集中仅有r个重要特征,而其余特征则都是噪声或冗余特征。
- 确认r——启发式策略
- 保留矩阵中90%的能量信息,将奇异值平方和累加加到90%
- 若有上万奇异值,则保留2-3k
注意: sigma是返回行向量形式,只返回对角线元素, 这是Numpy的内部机制,为了节省空间
def loadExData():
return[[0, 0, 0, 2, 2],
[0, 0, 0, 3, 3],
[0, 0, 0, 1, 1],
[1, 1, 1, 0, 0],
[2, 2, 2, 0, 0],
[5, 5, 5, 0, 0],
[1, 1, 1, 0, 0]]
if __name__ == '__main__':
print('============测试==============')
U, Sigma, VT = linalg.svd(loadExData())
print(U)
print(Sigma)
print(VT)
U: [[-2.22044605e-16 5.34522484e-01 8.41650989e-01 5.59998398e-02 -5.26625636e-02 2.77555756e-17 1.38777878e-17]
[ 0.00000000e+00 8.01783726e-01 -4.76944344e-01 -2.09235996e-01 2.93065263e-01 -4.01696905e-17 -2.77555756e-17]
[ 0.00000000e+00 2.67261242e-01 -2.52468946e-01 5.15708308e-01 -7.73870662e-01 1.54770403e-16 0.00000000e+00]
[-1.79605302e-01 0.00000000e+00 7.39748546e-03 -3.03901436e-01 -2.04933639e-01 8.94308074e-01 -1.83156768e-01]
[-3.59210604e-01 0.00000000e+00 1.47949709e-02 -6.07802873e-01 -4.09867278e-01 -4.47451355e-01 -3.64856984e-01]
[-8.98026510e-01 0.00000000e+00 -8.87698255e-03 3.64681724e-01 2.45920367e-01 -1.07974660e-16 -1.12074131e-17]
[-1.79605302e-01 0.00000000e+00 7.39748546e-03 -3.03901436e-01 -2.04933639e-01 5.94635264e-04 9.12870736e-01]]
# 注意: sigma是返回行向量形式,只返回对角线元素, 这是Numpy的内部机制,为了节省空间
Sigma: [9.64365076e+00 5.29150262e+00 7.40623935e-16 4.05103551e-16 2.21838243e-32]
VT: [[-5.77350269e-01 -5.77350269e-01 -5.77350269e-01 0.00000000e+00 0.00000000e+00]
[-2.46566547e-16 1.23283273e-16 1.23283273e-16 7.07106781e-01 7.07106781e-01]
[-7.83779232e-01 5.90050124e-01 1.93729108e-01 -2.77555756e-16 -2.22044605e-16]
[-2.28816045e-01 -5.64364703e-01 7.93180748e-01 1.11022302e-16 -1.11022302e-16]
[ 0.00000000e+00 0.00000000e+00 0.00000000e+00 -7.07106781e-01 7.07106781e-01]]
Sigma的后三个值数量级非常小,所以将后三个值去掉
Sigma: [9.64365076e+00 5.29150262e+00 7.40623935e-16 4.05103551e-16 2.21838243e-32]
那么源数据Data可以使用下面结果近似计算: Datam*n = Um*2 * Sigma2*2 * VT2*n
重构矩阵:
Sig2 = mat([[Sigma[0], 0],[0, Sigma[1]]])
print(U[:, :2]*Sig2*VT[:2, :])
[[ 5.38896529e-16 1.58498979e-15 1.58498979e-15 2.00000000e+00 2.00000000e+00]
[-1.04609326e-15 5.23046632e-16 5.23046632e-16 3.00000000e+00 3.00000000e+00]
[-3.48697754e-16 1.74348877e-16 1.74348877e-16 1.00000000e+00 1.00000000e+00]
[ 1.00000000e+00 1.00000000e+00 1.00000000e+00 0.00000000e+00 0.00000000e+00]
[ 2.00000000e+00 2.00000000e+00 2.00000000e+00 0.00000000e+00 0.00000000e+00]
[ 5.00000000e+00 5.00000000e+00 5.00000000e+00 0.00000000e+00 0.00000000e+00]
[ 1.00000000e+00 1.00000000e+00 1.00000000e+00 0.00000000e+00 0.00000000e+00]]
二、应用:
2.1、信息检索:隐性语义索引/分析(LSI/LSA)
- 在LSI中,一个矩阵是由文档和词语组成的。当我们在该矩阵上应用SVD时,就会构建出多个奇异值。这些奇异值代表了文档中的概念或主题,这一特点可以用于更高效的文档搜索。在词语拼写错误时,只基于词语存在与否的简单搜索方法会遇到问题。简单搜索的另一个问题就是同义词的使用。这就是说,当我们查找一个词时,其同义词所在的文档可能并不会匹配上。如果我们从上千篇相似的文档中抽取出概念,那么同义词就会映射为同一概念。
协同过滤是通过将用户和其他用户的数据进行对比来实现推荐的。
2.2.2、相似度计算-
1、欧式距离(0~1): 相似度 = 1/ (1 + 距离)
-
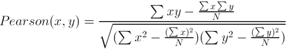
2、皮尔逊相关系数(Pearson correlation):
- 介绍
- 该方法相对于欧氏距离的一个优势在于,它对用户评级的量级并不敏感。比如某个狂躁者对所有物品的评分都是5分,而另一个忧郁者对所有物品的评分都是1分,皮尔逊相关系数会认为这两个向量是相等的。
- 皮尔逊相关系数的计算是由Numpy中的corrcoef()函数,他的取值范围在:
(-1~1)后面我们很快就会用到它了。皮尔逊相关系数的取值范围从-1到+1, - 我们通过
0.5 + 0 . 5 * corrcoef()把其取值范围归一化到0到 1之间。
-
3、余弦相似度(cosine similarity)
其中,在Numpy中计算范数的公式:linalg.norm() 相似度计算
def ecludSim(inA,inB):
return 1.0/(1.0 + la.norm(inA - inB))
def pearsSim(inA,inB):
if len(inA) 0, dataMat[:, j].A > 0))[0]
if len(overLap) == 0:
similarity = 0
else:
# 计算item与j的相似度
similarity = simMeas(dataMat[overLap, item], dataMat[overLap, j])
print('the %d and %d similarity is: %f' % (item, j, similarity))
# 相似度的累加
simTotal += similarity
# 相似度评分累加
ratSimTotal += similarity * userRating
# 评分总和/相似度总和 对相似度评分总和进行归一化。 使得最后的评分在0~5之间
if simTotal == 0:
return 0
else:
return ratSimTotal / simTotal
2.3.2、推荐引擎
def recommend(dataMat, user, N=3, simMeas=cosSim, estMethod=standEst):
'''推荐引擎
:param dataMat: 用户数据
:param user: 用户
:param N: 评分最高的topN
:param simMeas: 相似度计算方法
:param estMethod: 估计方法:用于预测评分, 默认使用协同过滤算法
:return: 评分最高的topN
'''
# user 未评分的物品
unratedItems = nonzero(dataMat[user, :].A == 0)[1] # find unrated items
if len(unratedItems) == 0: return 'you rated everything'
itemScores = []
# 对未评分的item遍历
for item in unratedItems:
# 估计的评分
estimatedScore = estMethod(dataMat, user, simMeas, item)
itemScores.append((item, estimatedScore))
# 按照评分排序,返回评分最高的topN
return sorted(itemScores, key=lambda jj: jj[1], reverse=True)[:N]
if __name__ == '__main__':
print('============测试==============')
mat1 = mat(loadExData())
mat1[0, 1] = mat1[0, 0] = mat1[1, 0] = mat1[2, 0] = 4
mat1[3, 3] = 2
print(mat1)
print("recommend: ", recommend(mat1, 0))
2.3.3、利用SVD提高推荐
2.3.3.1、选择Sigma奇异值数量个数:
# SVD分解
U, Sigma, VT = linalg.svd(loadExData2())
Sigma2 = Sigma**2
# 保留矩阵中90%的能量信息,将奇异值平方和累加加到90%
print(sum(Sigma2)*0.9, "~", sum(Sigma2)) # 487 ~ 541
print(sum(Sigma2[:2])) # 前两个奇异值能量和 378 < 487
print(sum(Sigma2[:3])) # 前三个奇异值能量盒 500 > 487, 所以选择前三个奇异值就可以了
2.3.3.2、基于SVD的估计方法
def svdEst(dataMat, user, simMeas, item):
'''基于SVD实现的估计算法
:param dataMat: 用户数据
:param user: 用户
:param simMeas: 相似度计算方法
:param item: 物品
:return:
'''
n = shape(dataMat)[1]
simTotal = 0.0;
ratSimTotal = 0.0
# SVD 分解
U, Sigma, VT = la.svd(dataMat)
Sig4 = mat(eye(4) * Sigma[:4]) # arrange Sig4 into a diagonal matrix
# 降维, 重构原矩阵
xformedItems = dataMat.T * U[:, :4] * Sig4.I # create transformed items
# 估计评分
for j in range(n):
userRating = dataMat[user, j]
if userRating == 0 or j == item: continue
similarity = simMeas(xformedItems[item, :].T, \
xformedItems[j, :].T)
print('the %d and %d similarity is: %f' % (item, j, similarity))
simTotal += similarity
ratSimTotal += similarity * userRating
if simTotal == 0:
return 0
else:
# 归一化评分
return ratSimTotal / simTotal
2.3.3.3、使用SVD实现推荐系统
mat2 = mat(loadExData2())
print("recommend: ", recommend(mat2, 4, estMethod=svdEst))
2.4、冷启动问题
推荐引擎面临的另一个问题就是如何在缺乏数据时给出好的推荐。这称为冷启动问题,处理起来十分困难。
冷启动问题的解决方案,就是将推荐看成是搜索问题。在内部表现上,不同的解决办法虽然有所不同,但是对用户而言却都是透明的。为了将推荐看成是搜索问题,我们可能要使用所需要推荐物品的属性。在餐馆菜肴的例子中,我们可以通过各种标签来标记菜肴,比如素食、美式BBQ、价格很贵等。同时,我们也可以将这些属性作为相似度计算所需要的数据,这被称为基于内容(content-based)的推荐。可能,基于内容的推荐并不如我们前面介绍的基于协同过滤的推荐效果好 ,但我们拥有它,这就是个良好的开始。
三、总结: 此图借鉴于https://www.cnblogs.com/lesleysbw/p/6066444.html