本人根据MATLAB神经网络的仿真和应用和自己查的文献总结了神经网络的分类,有什么不对的请指出。
- 1 思维导图
- 2 引言
- 3 单层神经网络
- 4 前馈神经网络
- 4.1 单层前馈神经网
- 4.1.1 感知器
- 4.2 多层前馈神经网络
- 4.2.1 径向基神经网络
- 4.2.1.1 广义回归神经网络(General Regression Neural Network,GPNN)
- 4.2.1.2 概率神经网络(Probabilistic Neural Network,PNN)
- 4.2.2 BP神经网络(Back Propagation,BP)
- 4.2.3 全连接神经网络
- 4.2.4 卷积神经网络(Convolutional Neural Networks, CNN)
- 4.3 线性神经网络
- 4.3.1 Madaline 神经网络
- 5 反馈型神经神经网络
- 5.1 递归神经网络(Recurrent neural network,RNN)
- 5.1.1 Elman网络
- 5.2 Hopfield神经网络
- 5.2.1 离散Hopfield网络
- 5.2.2 连续Hopfield网络
- 5.3 盒中脑模型(BSB)
- 6 自组织神经网络
- 6.1 竞争神经网络
- 6.2 自适应谐振理论网络(Adaptive Resonance Theory,ART)
- 6.3 自组织映射神经网络(Self-Organizing Map,SOM)
- 7 结构自适应神经网络
- 7.1 级联相关 (Cascade-Correlation) 网络
- 8 对抗神经网络GAN
- 9 随机神经网络
- 9.1 玻尔兹曼机(Boltzmann)
- 10 神经网络创建函数总结
可以从不同的角度对人工神经网络进行分类 (1)从网络性能角度可分为连续型与离散型网络、确定性与随机性网络。 ( 2)从网络结构角度可为前向网络与反馈网络。 ( 3)从学习方式角度可分为有导师学习网络和无导师学习网络。 ( 4)按连续突触性质可分为一阶线性关联网络和高阶非线性关联网络。 以下内容主要从网络结构和算法结合的角度对人工神网络进行分类。
3 单层神经网络所谓单层前向网络是指拥有的计算节点(神经元)是“单层”的,如图 1-10 所示。这里表 示源节点个数的“输入层”被看做一层神经元,因为该“输入层”不具有执行计算的功能。
前馈神经网络(feedforward neural network,FNN)
多层前向网络与单层前向网络的区别在于:多层前向网络含有一个或更多的隐含层,其中 计算节点被相应地称为隐含神经元或隐含单元,如图 1-11 所示
简介: 感知器(Perceptron)由两层神经元组成。如图所示,输入层接收外界输入信号后传递给输出层,输出层是M—P神经元,也称为“阈值逻辑单元”。
感知机只有输出层神经元需要激活函数激活,只有一层功能神经元,学习能力非常有限。感知机解决的都是线性可分的问题。要解决非线性可分问题,需要使用多层功能神经元。输出层和输入层之间的神经元成为隐层或者隐含层,隐含层层与输出层神经元都是有激活函数的功能神经元。至此引入多层前馈神经网络。
Matlab函数的使用
- newp创建一个感知器
- train训练感知器网络
- sim对训练好的网络进行仿真
- hardline/harddims感知器传输函数
- init神经网络初始化函数
- adapt神经网络的自适应
- mae平均绝对误差性能函数
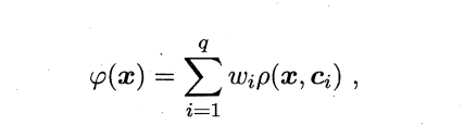
简介: 径向基函数 RBF 神经网络((Radial Basis Function,RBF)是一个只有一个隐藏层的三层前馈神经网络结构,它与前向网络相比最大的不同在于,隐藏层得转换函数是局部响应的高斯函数,而以前的前向网络、转换函数都是全局响应的函数。由于这样的不同,如果要实现同一个功能,RBF 网络的神经元 个数 就可能要比前向 BP 网络的神经元个数要多。 但是,RBF 网络所需要的训练时间却比前向 BP 网络的要少。
使用径向基函数作为隐层神经元激活函数,而输出层则是对隐层神经元输出的线性组合。假定输入为d维向量x。输出为实值,则RBF网络可以表示为:
其中q为隐层神经元个数,ci和wi分别是第i个隐层神经元所对应的中心和权重, ρ \rho ρ(x,ci)设计径向基函数,这是某种沿径向对称的标量函数,通常定义为样本x到数据中心ci之间欧式距离的单调函数,常用的高斯径向基函数形如
简介:径向基神经元和线性神经元可以建立广义回归神经网络,它是径RBF网络的一种变化形式,经常用于函数逼近。在某些方面比RBF网络更具优势。GRNN与PNN一样也是一个四层的网络结构:输入层、模式层、求和层、输出层。
优点:GRNN具有很强的非线性映射能力和学习速度,比RBF具有更强的优势,网络最后普收敛于样本量集聚较多的优化回归,样本数据少时,预测效果很好, 网络还可以处理不稳定数据。广义回归神经网络对x的回归定义不同于径向基函数的对高斯权值的最小二乘法叠加,他是利用密度函数来预测输出。
与PNN的区别:GRNN用于求解回归问题,而PNN用于求解分类问题。
4.2.1.2 概率神经网络(Probabilistic Neural Network,PNN)简介:径向基神经元和竞争神经元还可以组成概率神经网络。PNN也是RBF的一种变化形式,结构简单训练快捷,特别适合于模式分类问题的解决。理论基础是贝叶斯最小风险准则,即是贝叶斯决策理论。
结构:由输入层、隐含层、求和层、输出层组成。也把隐含层称为模式层,把求和层叫做竞争层
第一层为输入层,用于接收来自训练样本的值,将数据传递给隐含层,神经元个数与输入向量长度相等。
第二层隐含层是径向基层,每一个隐含层的神经元节点拥有一个中心,该层接收输入层的样本输入,计算输入向量与中心的距离,最后返回一个标量值,神经元个数与输入训练样本个数相同。
优点:
- 训练容易,收敛速度快,从而非常适用于实时处理。在基于密度函数核估计的PNN网络中,每一个训练样本确定一个隐含层神经元,神经元的权值直接取自输入样本值。口可以实现任意的非线性逼近,用PNN网络所形成的判决曲面与贝叶斯最优准则下的曲面非常接近。
- 隐含层采用径向基的非线性映射函数,考虑了不同类别模式样本的交错影响,具有很强的容错性。只要有充足的样本数据,概率神经网络都能收敛到贝叶斯分类器,没有BP网络的局部极小值问题。
- 隐含层的传输函数可以选用各种用来估计概率密度的基函数,且分类结果对基函数的形式不敏感。
- 扩充性能好。网络的学习过程简单,增加或减少类别模式时不需要重新进行长时间的训练学习。
- 各层神经元的数目比较固定,因而易于硬件实现。
强化多层神经网络的训练,必须引入算法,其中最成功的是误差逆传播算法(Back Propagation,简称BP算法)。BP算法不仅用于多层前馈神经网络,还可以用于训练递归神经网络。解决了多层神经网络隐含层连接权学习问题,并在数学上给出了完整推导。人们把采用这种算法进行误差校正的多层前馈网络称为BP神经网络 BP神经网络网络主要四个方面的应用: 1)函数逼近:用输入向量和相应的输出向量训练一个网络逼近一个函数。 2)模式识别:用一个待定的输出向量将它与输入向量联系起来。 3)分类:把输入向量所定义的合适方式进行分类。 4)数据压缩:减少输出向量维数以便于传输或存储。
4.2.3 全连接神经网络全连接神经网络(fully connected neural network),顾名思义,就是相邻两层之间任意两个节点之间都有连接。全连接神经网络是最为普通的一种模型(比如和CNN相比),由于是全连接,所以会有更多的权重值和连接,因此也意味着占用更多的内存和计算。 如图定义了一个两层的全连接神经网络。
参考本人的另一篇博客 卷积神经网络CNN(Convolutional Neural Networks, CNN) 综述
4.3 线性神经网络线性神经网络详细原理及MATLAB实现pdf
简介: 线性神经网络最典型的例子是自适应线性元件(Adaptive Linear Element,Adaline)。自适应线性元件 20 世纪 50 年代末由 Widrow 和 Hoff 提出,主要用途是通过线性逼近一个函数式而进行模式联想以及信号滤波、预测、模型识别和控制等。
线性神经网络与感知器的主要区别: 感知器的传输函数只能输出两种可能的值,而线性神经网络的输出可以取任意值,其传输函数是线性函数。线性神经网络采用 Widrow-Hoff 学习规则,即 LMS(Least Mean Square)算法来调整网络的权值和偏置。线性神经网络在收敛的精度和速度上较感知器都有了较大提高,但其线性运算规则决定了它只能解决线性可分的问题。
线性神经网络在结构上与感知器网络非常相似,只是神经元传输函数不同。
若网络中包含多个神经元节点,就能形成多个输出,这种线性神经网络叫Madaline神经网络。
Madaline 可以用一种间接的方式解决线性不可分的问题,方法是用多个线性函数对区域进行划分,然后对各个神经元的输出做逻辑运算。如图所示,Madaline 用两条直线实现了异或逻辑。
所谓反馈网络是指在网络中至少含有一个反馈回路的神经网络。反馈网络可以包含一个单层神经元,其中每个神经元将自身的输出信号反馈给其他所有神经元的输入 反馈神经网络中神经元不但可以接收其他神经元的信号,而且可以接收自己的反馈信号。和前馈神经网络相比,反馈神经网络中的神经元具有记忆功能,在不同时刻具有不同的状态。反馈神经网络中的信息传播可以是单向也可以是双向传播,因此可以用一个有向循环图或者无向图来表示。
5.1 递归神经网络(Recurrent neural network,RNN)与前馈神经网络不同"递归神经网络" (recurrent neural networks)允许网络中出现环形结构,从而可让一些神经元的输出反馈回来作为输入信号.这样的结构与信息反馈过程,使得网络在 t 时刻的输出状态不仅与 t 时刻的输入有关,还与 t - 1 时刻的网络状态有关,从而能处理与时间有关的动态变化。
5.1.1 Elman网络(1)简介 基本的Elman伸进网络由输入层、隐含层、连接层、输出层组成。与BP网络相比,在结构上了多了一个连接层,用于构成局部反馈。 (2)特点 连接层的传输函数为线性函数,但是多了一个延迟单元,因此连接层可以记忆过去的状态,并在下一时刻与网络的输入一起作为隐含层的输入,使网络具有动态记忆功能,非常适合时间序列预测问题。 输出层和连接层的的传递函数为线性函数,隐含层的传递函数则为某种非线性函数,如Sigmoid函数。由于隐含层不但接收来自输入层的数据,还要接收连接层中存储的数据,因此对于相同的输入数据,不同时刻产生的输出也可能不同。输入层数据反映了信号的空域信息,而连接层延迟则反映了信号的时域信息,这是Elman网络可以用于时域和空域模式识别的原因。
5.2 Hopfield神经网络(1)简介
- 一种基于能量的模型(Energy Based Model,EBM)——可用作联想存储的互连网络,称该模型为 Hopfield 网络。根据其激活函数的不同,Hopfield 神经网络有两种:离散Hopfield 网络(Discrete Hopfield Neural Network,DHNN)和连续Hopfield 网络(Continues Hopfield Neural Network,CHNN)。
- 从上图中可以看出每个神经元的输出都成为其他神经元的输入,每个神经元的输入又都来自其他神经元。神经元输出的数据经过其他神经元之后最终又反馈给自己。
具体讲解参考博客: Hopfield 网络详细讲解
5.2.1 离散Hopfield网络(1)简介 输出值只能取0或1,分别表示神经元的抑制和兴奋状态。如上图所示输出神经元的取值为0/1或-1/1。对于中间层,任意两个神经元间的连接权值为wij = wji ,神经元的连接是对称的。如果wij等于0,即神经元自身无连接,则成为无自反馈的Hopfield网络,如果wij != 0,则成为有自反馈的Hopfield网络。但是出于稳定性考虑,一般避免使用有自反馈的网络。
5.2.2 连续Hopfield网络(1)特点 连续的Hopfield网络结构和离散的Hopfield网络的结构相同,不同之处在于传输函数不是阶跃函数或符号函数,而是S型的连续函数,如sigmoid函数。每个神经元由一个运算放大器和相关的元件组成,其输入一方面由输出的反馈形成,另一方面也有以电流形式从外界连接过来的输入。
5.3 盒中脑模型(BSB)(1)简介 盒中脑(Brain-State-in-a-Box,BSB)模型是一种节点之间存在横向连接和节点自反馈的单层网络,可以用作自联想最邻近分类器,并可存储任何模拟向量模式。该模型是一种神经动力学模型,可以看作是一个有幅度限制的正反馈系统。 (2)特点 BSB模型实际上是一种梯度下降法,在迭代的过程中,使得能量函数达到最小。
6 自组织神经网络 6.1 竞争神经网络(1)简介 竞争型学习(compaetitive learning)是神经网络的中一种常用的无监督学习策略,在使用该策略时,网络的输出神经元相互竞争,每一时刻仅有一个获胜的神经元被激活,其他神经元的状态被抑制,中级机制也别称为"胜者通吃"原则。 (2)特点 竞争神经网络的显著特点是它的输出神经元相互竞争以确定胜者,胜者指出哪一种原形模式最能代表输入模式。Hamming 网络是一个最简单的竞争神经网络,如图 1-14 所示。神经网络有一个单层的输出神经元,每个输出神经元都与输入节点全相连,输出神经元之间全互连。从源节点到神经元之间是兴奋性连接,输出神经元之间横向侧抑制。
简介:是一种竞争学习型神经网络。该网络由比较层、识别层、识别阈和重要模块构成。其中,比较层负责接受输入样本,并将其传递给识别层神经元。识别曾每个神经元对应一个模式类,神经元数目可在训练过程中动态增长以增加新的模式类。
优点:课进行增量学习(incremental Learning)或者在线学习(online learning)
6.3 自组织映射神经网络(Self-Organizing Map,SOM)(1)简介 SOM(Self-Organizing Map,自组织映射)网络,是一种竞争学习型的无监督神经网络,它能将高维输入数据映射到低维空间(通常是二维),同时保持输入数据在高维空间的拓扑结构,即将高维空间中想死的样本点映射到网络输出层中的邻近神经元。 如图所示, SOM 网络中的输出层神经元以矩阵方式排列在二维空间中,每个神经元都拥有一个权向量,网络在接收输入向量后,将会确定输出层获胜神经元,它决定了该输入向量在低维空间中的位置.
(2)SOM的训练目标 每个输出层神经元找到合适的权向量,以达到保持拓扑结构的目的
(3)SOM训练过程 在接收到一个训练样本后.每个输出层神经局会计算该样本与自身携带的权向量之间的距离,距离最近的神经兀成为竞争获胜者,称为最佳匹配单元 (best matching unit). 然后,最佳匹配单元及其邻近神经 元的权向量将被调整,以使得这些权向量与当前输入样本的距离缩小.这个过程不断迭代,直至收敛. (4)与竞争神经网络的区别和联系 联系 • 非常类似,神经元都具有竞争性,都采用无监督的学习方式。 • 同样包含输入层、输出层两层网络 区别 • 自组织映射网络除了能学习输入样本的分布外,还能够识别输入向量的拓扑结构。 • 自组织网络中,单个神经元对模式分类不起决定性的作用,需要靠多个神经元协同作用完成。 • 自组织神经网络输出层引入网络的拓扑结构,以更好的模拟生物学中的侧抑制现象。 • 主要区别是竞争神经网络不存在核心层之前的相互连接,在更新权值时采用了胜者全得的方式,每次只更新获胜神经元对应的连接权值;而自组织神经网络中,每个神经元附近一定领域内的神经元也会得到更新,较远的神经元则不更新,从而使得几何上相近的神经元变得更相似。
7 结构自适应神经网络一般的神经网络模型通常假定 网络结构是事先固定的,训练的目的是利用训练样本来确定合适的连接权、 阙值等参数.与此不同, 结构自适应网络则将网络结构也当作学习的目标之 一,并希望能在训练过程中找到最利合数据特点的网络结构
7.1 级联相关 (Cascade-Correlation) 网络简介:,是结构自适应网络的重要代表。级联相关网络有两个主要成分"级联"和"相关" 级联是指建立层次连接的层级结构.在开始训练时,网络只有输入层和输出层,处于最小拓扑结 构;随着训练的进行,如图所示,新的隐层神经元逐渐加入,从而创建起层级结构. 当新的隐层神经元加入时,其输入端连接权值是冻结固 定的相关是指通过最大化新神经元的输出与网络误差之间的相关性(correlation)来训练相关的参数.
优缺点:与一般的前馈神经网络相比,级联相关网络无需设置网络层数、隐层神经元数目,且训练速度较快,但其在数据较小时易 陷入过拟合
8 对抗神经网络GAN简介: 对抗神经网络其实是两个网络的组合,可以理解为一个网络生成模拟数据,另一个网络判断生成的数据是真实的还是模拟的。生成模拟数据的网络要不断优化自己让判别的网络判断不出来,判别的网络也要不断优化自己让判断的更加精确。两者的关系形成对抗,因此叫对抗神经网络。
结构:GAN由generator(生成模型)和discriminator(判别式模型)两部分构成。 二者结合之后,经过大量次数的迭代训练会使generator尽可能模拟出以假乱真的样本,而discrimator会有更精确的鉴别真伪数据的能力,最终整个GAN会达到所谓的纳什均衡,即discriminator对于generator的数据鉴别结果为正确率和错误率各占50%。
- generator网络:主要是从训练数据中产生相同分布的samples,对于输入x,类别标签y,在生成模型中估计其联合概率分布。
- discriminator网络:判断输入的是真实数据还是generator生成的数据,即估计样本属于某类的条件概率分布。它采用传统的监督学习的方法。
举例:如果用到图片生成上,则训练完成后,G可以从一段随机数中生成逼真的图像。G, D的主要功能是:
- G是一个生成式的网络,它接收一个随机的噪声z(随机数),通过这个噪声生成图像
- D是一个判别网络,判别一张图片是不是“真实的”。它的输入参数是x,x代表一张图片,输出D(x)代表x为真实图片的概率,如果为1,就代表100%是真实的图片,而输出为0,就代表不可能是真实的图片
随机神经网络是对神经网络引入随机机制,认为神经元是按照概率的原理进行工作的,这就是说,每个神经元的兴奋或抑制具有随机性,其概率取决于神经元的输入。
9.1 玻尔兹曼机(Boltzmann)(1)简介 在Hopfield网络中引入随机机制,提出了Boltzmann机,这是第一个由统计力学导出的多层学习机,可以对给定数据集的固有概率分布进行建模,可以用于模式识别等领域。得此名的原因是,它将模拟退火算法反复更新网络状态,网络状态出现的概率服从Boltzmann分布,即最下能量状态的概率最高,能量越大,出现的概率越低。 由随机神经元组成,神经元分为可见神经元和隐藏神经元,与输入/输出有关的神经元为可见神经元,隐藏神经元需要通过可见神经元才能与外界交换信息。 (2)特点 Boltzmann机学习的主要目的在于产生一个神经网络,根据Bolazmann分布对输入模型进行正确建模,训练挽留过的权值,当其导出的可见神经元状态的概率分布和被约束时完全相同时,训练就完成了。 (3)训练过程 Boltzmann 机的训练过程:将每个训练样本视为一个状态向量,使其出现的概率尽可能大.标准的 Boltzmann 机是一个全连接图,训练网络的复杂度很高,这使其难以用于解决现实任务. 现实中 常采用受限Boltzmann机(Restricted Boltzmann Machine,简称 RBM) . 如下图所示,受限 Boltzmann 机仅保留显层与隐层之间的连接 从而将 Boltzmann 机结构由完全图简化为二部图。
