- 1 训练集测试集的划分以及模型评估
- 1.1 测试集是训练集的一部分
- 1.2 训练集和测试集不相交
- 2 评估指标
- 2.1 回归准确率linear accuracy
- 2.2 模型错误指标
- 3 复合回归模型
- 3.1 复合回归模型的例子
- 3.2 复合回归预测连续值
- 3.3 问答
训练集和测试集的划分有以下两种方式。
Train and Test on the Same Dataset 测试集来自训练集中。测试集是训练集中的一部分。具有高的训练准确率,很低的out-of-sample准确率。 What is training & out-of-sample accuracy?
- Training Accuracy
- 训练时候的高准确率不是一个好的事情
- 结果的过拟合(过拟合就是模型过度训练,提取了太多了噪声并产生了一个模糊的模型)
- Out-of-Sample accuracy超过样本准确率
- 我们的模型必须要有高的out-of-Sample准确率
- 如何提高out-of-accuracy
Train/Test Split 训练集和测试集是不一样的数据。数据是互斥的,有更高的out-of-sample准确率。 问:How to use K-fold cross-validation ? 答:利用K折交叉验证
把数据集分为四部分,每个部分分别取训练得到准确率,然后取四个准确率的平均值。
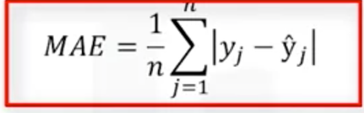
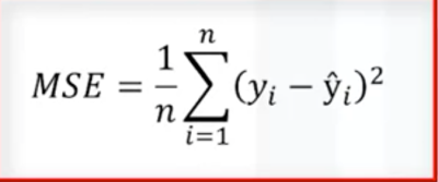
2 评估指标 2.1 回归准确率linear accuracy 2.2 模型错误指标以下6个指标的选择,根据你的模型类型、数据类型、知识领域去决定使用哪个。 Error:measure of how far the data is from the fitted regression line.
(1)自变量(Independent variables)对预测的有效性 比如:复习时间、测试紧张程度、出席率、性别对学生考试成绩的影响 (2)预测变化的影响 病人的BMI每增加一个单位,血压会增加会减小多少
3.2 复合回归预测连续值举例 比如发动机大小与气缸的数量约Co2的排放量的关系。
(1)第一步 使用MSE均方误差去评价模型的错误
(2)第二步 估计复合线性回归的参数 方法一 最小二乘法(takes a long tim for large datasets(10K+ rows)) 方法二 最优化算法:梯度下降(适合大数据) (3)第三步:预测结果
(1)How to determine whether to use simple or multipl linear regression? 一个自变量还是多个自变量。一个自变量选择简单回归,反之。 (2)How many independent variables should you use? 过多的自变量没有理论依据容易导致过拟合模型。尽量避免多个自变量去预测,有很多模型可以去避免,但不在这里展开。 (3)Should the indepent variable be continuous? 不一定,比如电动车可以表示为0,其他汽车表示为1。连续的变量都可表示我离散的数值。 (4)What are the linear relationships between the dependent variable and the independent variable? 有很多办法,比如画出scatter plot,查看他们的线性关系。如果是非线性关系,用非线性回归模型。
