- 1 简介
- 2 逻辑回归的应用
- 3 逻辑回归的适用范围
- 4 逻辑回归与线性回归的区别联系
- 5 逻辑回归训练
概念: 是分类变量的分类算法
(1)预测某人是否有心脏病 (2)预测病人的致死率 (3)预测用户的购买意向 (4)预测工程或产品的失败率 (5)预测房主拖欠抵押贷款的可能性
3 逻辑回归的适用范围(1)两面性的问题 (2)需要计算可能性 (3)需要一个线性决策边界 (4)需要理解某个功能的影响
4 逻辑回归与线性回归的区别联系• 线性回归和逻辑回归都是广义线性回归模型的特例 • 线性回归只能用于回归问题,逻辑回归用于分类问题(可由二分类推广至多分类) • 线性回归无联系函数或不起作用,逻辑回归的联系函数是对数几率函数,属于Sigmoid函数 • 线性回归使用最小二乘法作为参数估计方法,逻辑回归使用极大似然法作为参数估计方法
5 逻辑回归训练(1)步骤 • 第一步:随机初始化参数 θ T = [ θ 0 , θ 1 . . . ] \theta ^T =[\theta_0,\theta_1...] θT=[θ0,θ1...]
• 第二步:用训练集计算损失函数,然后计算误差
• 第三步:计算损失函数的梯度
• 第四步:用梯度更新参数
• 第五步:回到第二步,直到损失函数足够小
• 第六步:运用模型进行预测结果
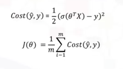
(2)一般损失函数
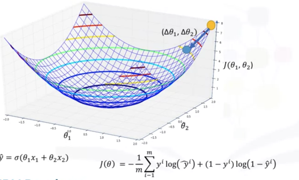
(3)画出损失函数模型
(4)逻辑回归损失函数
(5)最小化模型损失函数
• 如何找到模型最合适的参数?最小化损失函数
• 如何最小化损失函数?优化方法中的一种。使用梯度下降
• 梯度下降是什么?是一种为了最小化损失函数,通过求损失函数的微分去改变参数值的技术。
(6)使用梯度下降最小化损失函数举例
求所有下一个位置的偏导数,根据这些数据去找到损失函数的最小值。
