- 1 MATLAB数值微积分
- 2 微分方程数值解
- 3 MATLAB求解常微分方程
- 4 课后习题
(1)差分与微分 • taylor 符号泰勒展开 • polyder 多项式求导 • diff 数值差分或符号求导
dx = diff(x) %返回向量x的差分
• gradient 数值梯度
Fx = gradient(F,x) % 返回向量F表示的一元函数沿x方向的数值梯度(F'(x)),其中,x是与同维度的向量.x是自变量,F是因变量
[Fx,Fy] = gradient(F,x,y)%返回矩阵F表示的二元函数的数值梯度(F'x,F'y),当F为m*n矩阵时x、y分别为n维和m维的向量。x和y是因变量
举例,求梯度,两种方式 第一种:通过x和y的差分比.误差比较大 第二种:用gradient函数求。两端的数据偏大,中间的数据比较准确
clear
x = [1 1.1 1.2 1.3];
y = x.^3;
%第一种方式
dy = diff(y)./diff(x)
%第二种方式
dy = gradient(y,x)
(2)积分 • trapz:梯形法积分
Z = trapz(x,y)% x是表示积分区间的离散化向量,y是与x同维数的向量,表示被积函数;z返回积分的近似值。
• dblquad:矩形区域的二重积分(二重积分)
Z = dblquad('Fun',a,b,c,d)
%其中:Fun表示被积函数的M函数名,a、b表示x的上下限,c,d表示x的上下限
• quad:变步长数值积分
Z = quad('Fun',A,B,Tol)
% 其中:Fun表示被积函数的M函数名,A、B上下限,Tol精度,缺省值为1e-3
• int:符号积分
int(s) %符号表达式s的不定积分
int(s,v)% 符号表达式s关于变量v的不定积分
int(s,a,b)%表达式s的定积分,a,b分别为下限和上限
• quad8:高精度数值积分 举例1,计算积分: z = ∫ − 1 1 e − x 2 d x z = \int^{1}_{-1}{e^{-x^2}dx} z=∫−11e−x2dx
clear
x = -1:0.1:1;
y = exp(-x.^2);
% 方法一
trapz(x,y)
% 方法二
quad(@(x)exp(-x.^2),-1,1)
举例2,计算二重积分 z = ∫ 0 1 d x ∫ 0 5 s i n ( x y ) d y z = \int^{1}_{0}{dx}\int^{5}_{0}{sin(xy)dy} z=∫01dx∫05sin(xy)dy
Z = dblquad(@(x,y)sin(x.*y),0,1,0,5)
举例3,计算积分 z = ∫ 0 1 e − x + s i n ( x ) d x z = \int^{1}_{0}{e^{-x} + sin(x) dx} z=∫01e−x+sin(x)dx
t2 = int(exp(-x) + sin(x),0,1)
t2 = vpa(t2) %求近似解
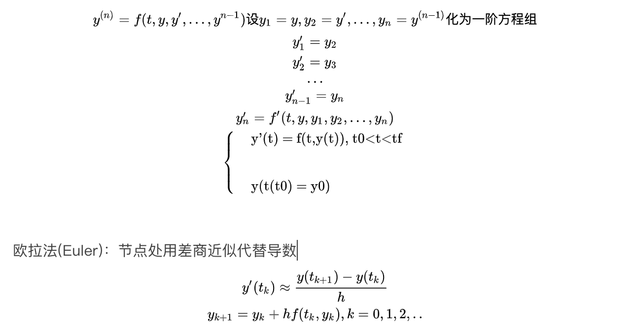
2 微分方程数值解
• ode23 二、三阶Runge-Kutta法 • ode15s 刚性方程组解法 • ode45 四、五阶Runge-Kutta法 • dsolve 符号解析解
[tout,yout] = ode45('yprime',tspan,y0)
%这是字符串yprime是用以表示f(t,y)的M文件名
%tspan = [t0,tf] 表示自变量初始值t0和终值tf.y0表示初值向量y0。
%输出列向量tout表示节点(t0,t1,..,tn)
%输出矩阵yout表示数值解,每一列对应y的一个分量。
举例1,解方程 y ′ = t − 2 t y y ( 0 ) = 1 , 0 < t < 1 y' = t- \frac{2t}{y} \\y(0) = 1,0
- 【文献汇总】2019-2021最新应用深度学习到OFDM通信系统中的论文汇总(实时更新)
- 【金融量化】电话口试-智力题
- 【数据挖掘】2022年2023届秋招爱玩特智能量化研究员岗 笔试题
- 【Leetcode刷题Python】1467. 两个盒子中球的颜色数相同的概率
- 【Leetcode刷题Python】50. Pow(x, n)
- 【Leetcode刷题Python】牛客. 数组中未出现的最小正整数
- 【Leetcode刷题Python】73. 矩阵置零
- 【Leetcode刷题Python】LeetCode 478. 在圆内随机生成点
- 【Leetcode刷题Python】 LeetCode 2038. 如果相邻两个颜色均相同则删除当前颜色
- 【数据挖掘】2022年2023届秋招Kanaries雾角科技算法岗 笔试题
