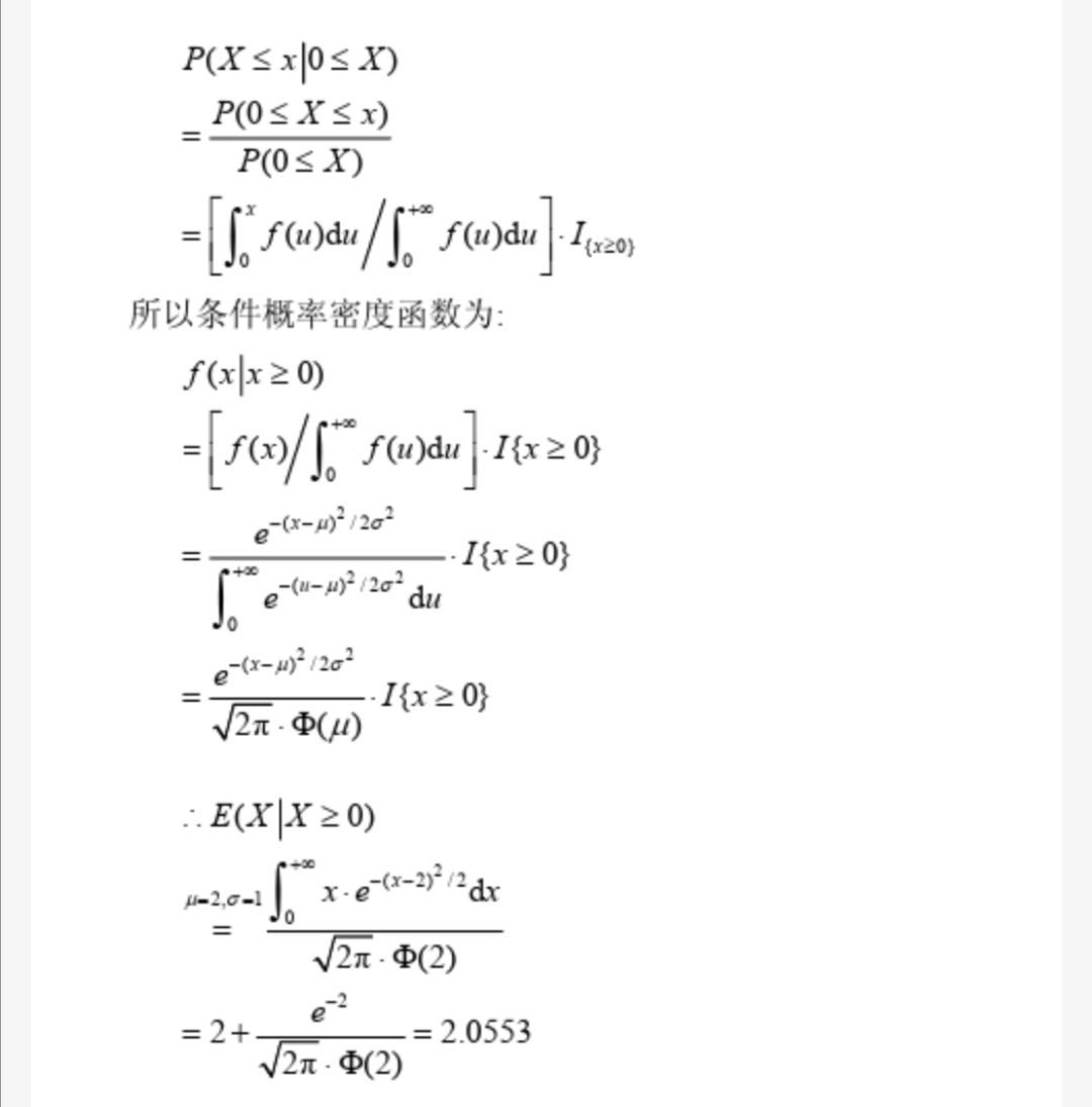
1. 设X服从期望为2方差为1 的正态分布,则求E(X|X>0)
2. 若X服从参数为10 的t分布,则 X 4 X^4 X4的数学期望为多少? 解: 由题知:X服从n=10的t分布,则X~ Z Y / n \frac{Z}{\sqrt{Y/n}} Y/n Z,其中Z服从正态分布Z~N(0,1),Y服从卡方分布Y~ x 2 ( n ) x^2(n) x2(n),且Z也服从n=1的卡方分布,Z~ x 2 ( 1 ) x^2(1) x2(1)
则当n=10时, X 2 = Z 2 Y / 10 = Z 2 / 1 Y / 10 X^2 = \frac{Z^2}{Y/10} =\frac{Z^2/1}{Y/10} X2=Y/10Z2=Y/10Z2/1可以发现 X 2 X^2 X2是服从F分布的。表示为 X 2 X^2 X2~ F ( 1 , 10 ) F(1,10) F(1,10)
F分布,当X~ Y / m Z / n \frac{Y/m}{Z/n} Z/nY/m,表示为X~F(m,n)且F分布的均值为当n>2时是 E ( X ) = n n − 2 E(X) = \frac{n}{n-2} E(X)=n−2n,当n>4方差是 D ( X ) = 2 n 2 ( m + n − 2 ) m ( n − 2 ) 2 ( n − 4 ) D(X) =\frac{2n^2(m+n-2)}{m(n-2)^2(n-4)} D(X)=m(n−2)2(n−4)2n2(m+n−2)
所以根据公式 E X 4 = E 2 ( X 2 ) + D X 2 EX^4=E^2(X^2)+DX^2 EX4=E2(X2)+DX2只需要求出 X 2 X^2 X2的均值和方差即可求得 E X 4 EX^4 EX4 E ( X 2 ) = 10 / ( 10 − 2 ) = 5 / 4 E(X^2)=10/(10-2)=5/4 E(X2)=10/(10−2)=5/4 D ( X 2 ) = 2 ∗ 1 0 2 ( 1 + 10 − 2 ) 1 ∗ ( 10 − 2 ) 2 ( 10 − 4 ) ≈ 4.6875 D(X^2) =\frac{2*10^2(1+10-2)}{1*(10-2)^2(10-4)} \approx 4.6875 D(X2)=1∗(10−2)2(10−4)2∗102(1+10−2)≈4.6875 所以 E X 4 ≈ 6.25 EX^4 \approx 6.25 EX4≈6.25 3. 设随机变量(X,Y)的概率密度函数为 f X Y ( x , y ) = A s i n ( x + y ) , 0 ≤ x ≤ π 2 , 0 ≤ y ≤ π 2 f_{XY}(x,y)=Asin(x+y),0 \leq x \leq \frac{\pi}{2},0\leq y\leq \frac{\pi}{2} fXY(x,y)=Asin(x+y),0≤x≤2π,0≤y≤2π
- 求系数A
- 求X的均值 m X m_X mX
- 求X的方差 σ X 2 \sigma ^2_X σX2
- 求X和Y的相关系数 ρ X Y \rho_{XY} ρXY 解: (1) 1 = ∫ − ∞ + ∞ ∫ − ∞ + ∞ f ( x , y ) d x d y = ∫ 0 π / 2 ∫ 0 π / 2 A s i n ( x + y ) d x d y 1 = \int_{-\infty}^{+\infty}\int_{-\infty}^{+\infty}f(x,y)dxdy = \int_{0}^{\pi /2}\int_{0}^{\pi /2}Asin(x+y)dxdy 1=∫−∞+∞∫−∞+∞f(x,y)dxdy=∫0π/2∫0π/2Asin(x+y)dxdy = ∫ 0 π / 2 ( ∫ 0 π / 2 A s i n ( x + y ) d x ) d y = \int_{0}^{\pi /2}(\int_{0}^{\pi /2}Asin(x+y)dx)dy =∫0π/2(∫0π/2Asin(x+y)dx)dy = − ∫ 0 π / 2 ( A c o s ( x + y ) d x ) ∣ 0 π / 2 d y =- \int_{0}^{\pi /2}(Acos(x+y)dx)|_0^{\pi /2}dy =−∫0π/2(Acos(x+y)dx)∣0π/2dy = ∫ 0 π / 2 ( − A c o s ( π / 2 + y ) + A c o s y ) d y = \int_{0}^{\pi /2}(-Acos(\pi /2+y)+Acosy)dy =∫0π/2(−Acos(π/2+y)+Acosy)dy = 2 A = 2A =2A 所以A=1/2 (2)第一步,求出X的概率密度函数 f X ( x ) = ∫ 0 π / 2 1 / 2 s i n ( x + y ) d y = − 1 / 2 [ c o s ( π 2 + x ) − c o s x ] f_X(x)=\int_0^{\pi/2} 1/2sin(x+y)dy\\=-1/2[cos(\frac{\pi}{2}+x)-cosx] fX(x)=∫0π/21/2sin(x+y)dy=−1/2[cos(2π+x)−cosx] 根据公式求均值 m x = E x = − 1 / 2 ∫ 0 π 2 x c o s ( π 2 + x ) − x c o s x d x = π / 4 mx = Ex =-1/2 \int_0^{\frac{\pi}{2}}xcos(\frac{\pi}{2}+x)-xcosx dx\\ = \pi /4 mx=Ex=−1/2∫02πxcos(2π+x)−xcosxdx=π/4
(3)根据公式求解 X 2 的 期 望 X^2的期望 X2的期望,代入第二问中的 f X ( x ) f_X(x) fX(x) E x 2 = ∫ 0 π / 2 x 2 f X ( x ) d x = 1 / 2 ∫ 0 π / 2 x 2 ( s i n x + c o s x ) d x = π 2 + π 2 8 − 2 Ex^2 = \int_0^{\pi /2}x^2f_X(x)dx\\= 1/2 \int_0^{\pi /2}x^2(sinx+cosx )dx\\=\frac{\pi}{2}+\frac{\pi ^2}{8}-2 Ex2=∫0π/2x2fX(x)dx=1/2∫0π/2x2(sinx+cosx)dx=2π+8π2−2 σ X 2 = D X = E x 2 − ( E x ) 2 = π 2 + π 2 8 − 2 − ( π / 4 ) 2 \sigma ^2_X = DX = Ex^2-(Ex)^2\\ = \frac{\pi}{2}+\frac{\pi ^2}{8}-2 - (\pi /4)^2 σX2=DX=Ex2−(Ex)2=2π+8π2−2−(π/4)2 (4)求解相关系数的公式如下 ρ X Y = c o v ( X , Y ) D X D Y = E X Y − E X E Y D X D Y \rho _{XY} =\frac{cov(X,Y)}{\sqrt{D_X} \sqrt{D_Y}} = \frac{E_{XY}-E_XE_Y}{\sqrt{D_X} \sqrt{D_Y}} ρXY=DX DY cov(X,Y)=DX DY EXY−EXEY 所以现在需要求出 E X Y E_{XY} EXY 又 E X Y = ∫ 0 π / 2 ∫ 0 π / 2 1 / 2 x y s i n ( x + y ) d x d y E_{XY} = \int_0^{\pi/2}\int_0^{\pi/2} 1/2xysin(x+y)dxdy EXY=∫0π/2∫0π/21/2xysin(x+y)dxdy 求解得到 E X Y = π 2 − 1 E_{XY} = \frac{\pi}{2}-1 EXY=2π−1 又根据第三问的结果,知道 D X = σ X 2 DX = \sigma ^2_X DX=σX2 因为X,Y对称,所以 D X = D Y D_X=D_Y DX=DY 所以把 D X , D Y , E X Y 代 入 D_X,D_Y,E_{XY}代入 DX,DY,EXY代入得到相关系数 ρ X Y = E X Y − E X E Y D X D Y \rho _{XY} = \frac{E_{XY}-E_XE_Y}{\sqrt{D_X} \sqrt{D_Y}} ρXY=DX DY EXY−EXEY 4. 设(X,Y)的联合概率密度函数为 f ( x , y ) = { 21 4 x 2 y , x 2 ≤ y ≤ 1 0 , o t h e r s w i s e f(x,y)=\begin{cases} \frac{21}{4}x^2y, &x^2 \leq y \leq 1\\ 0 ,& otherswise \end{cases} f(x,y)={421x2y,0,x2≤y≤1otherswise
- 求给定条件Y=y(0
关注打赏
- 【文献汇总】2019-2021最新应用深度学习到OFDM通信系统中的论文汇总(实时更新)
- 【金融量化】电话口试-智力题
- 【数据挖掘】2022年2023届秋招爱玩特智能量化研究员岗 笔试题
- 【Leetcode刷题Python】1467. 两个盒子中球的颜色数相同的概率
- 【Leetcode刷题Python】50. Pow(x, n)
- 【Leetcode刷题Python】牛客. 数组中未出现的最小正整数
- 【Leetcode刷题Python】73. 矩阵置零
- 【Leetcode刷题Python】LeetCode 478. 在圆内随机生成点
- 【Leetcode刷题Python】 LeetCode 2038. 如果相邻两个颜色均相同则删除当前颜色
- 【数据挖掘】2022年2023届秋招Kanaries雾角科技算法岗 笔试题
