高斯函数在图像处理中用作预平滑核;
卷积是两个变量在某范围内相乘后求和的结果。
输入图像、
输出图像、
输入平滑系数(0.2 ≤ Sigma ≤ 50.0)、
输入需要计算的特征或者导数、
描述:
derivate_gauss将图像与高斯函数的导数进行卷积,并计算由此推导出的各种特征。如果在Sigma中传递一个值,那么在列和行方向上的平滑量是相同的。如果在Sigma中传递两个值,第一个值指定在列方向上的平滑量,而第二个值指定在行方向上的平滑量。
参数Component可能的值如下:
1、'none': 只是平滑;
2、'x': 沿x的一阶导数
3、'y': 沿y的一阶导数
4、'gradient':梯度的绝对值
5、'gradient_dir':以弧度表示梯度方向
6、'xx':沿x的二阶导数。
7、'yy':沿y方向的二阶导数
8、'xxx':沿x的三阶导数。
9、'yyy':沿y的三阶导数。
10、'xxy':沿x x y的三阶导数
11、'xyy':沿x y y的三阶导数。
12、'det':黑塞矩阵的行列式
黑塞矩阵(Hessian Matrix),又译作海森矩阵、海瑟矩阵、海塞矩阵等,是一个多元函数的二阶偏导数构成的方阵,描述了函数的局部曲率。
行列式是线性变换的伸缩因子。
13、'laplace':拉普拉斯算子
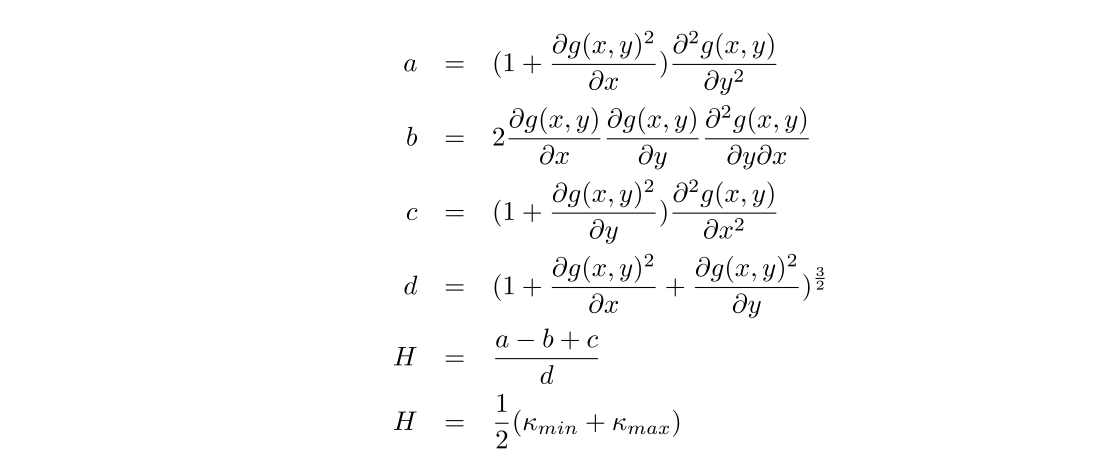
14、'mean_curvature':
- 平均曲率
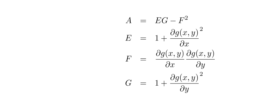
15、'gauss_curvature':高斯曲率
16、'area':微分
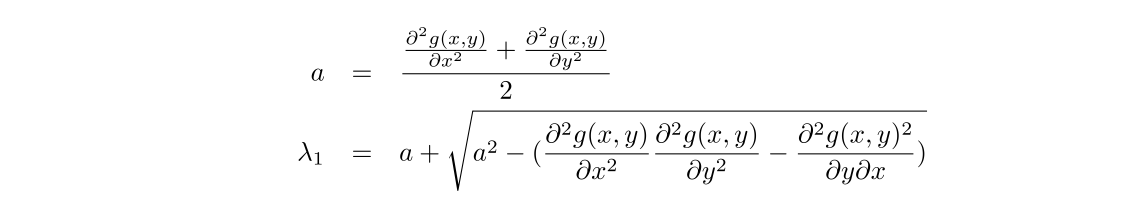
17、'eigenvalue1':第一特征值
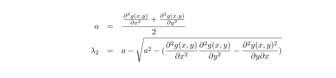
18、'eigenvalue2':第二特征值
19、'eigenvec_dir':与第一个特征值(弧度)对应的特征向量的方向
20、'kitchen_rosenfeld':垂直于梯度的二阶导数
21、'zuniga_haralick':垂直于梯度的标准化二阶导数
22、'2nd_ddg':沿梯度的二阶导数
23、'de_saint_venant':沿和垂直于梯度的二阶导数
