我的首发平台是公众号【CodeAllen】,学习交流QQ群:736386324
二叉树的定义就是用的递归的方式,所以实现遍历算法也可以用递归
二叉树的前序遍历算法代码:
/* 二叉树的前序遍历递归算法 */
/* 初始条件: 二叉树T存在 */
/* 操作结果: 前序递归遍历T */
void PreOrderTraverse(BiTree T)
{
if(T==NULL)
return;
printf("%c",T->data); /* 显示结点数据,可以更改为其它对结点操作 */
PreOrderTraverse(T->lchild);/* 再先序遍历左子树 */
PreOrderTraverse(T->rchild);/* 最后先序遍历右子树 */
}
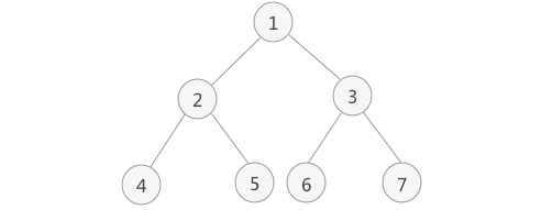
二叉树先序遍历的实现思想是: 访问根节点; 访问当前节点的左子树; 若当前节点无左子树,则访问当前节点的右子树; 上图为例,采用先序遍历的思想遍历该二叉树的过程为:
- 访问该二叉树的根节点,找到 1;
- 访问节点 1 的左子树,找到节点 2;
- 访问节点 2 的左子树,找到节点 4;
- 由于访问节点 4 左子树失败,且也没有右子树,因此以节点 4 为根节点的子树遍历完成。但节点 2 还没有遍历其右子树,因此现在开始遍历,即访问节点 5;
- 由于节点 5 无左右子树,因此节点 5 遍历完成,并且由此以节点 2 为根节点的子树也遍历完成。现在回到节点 1 ,并开始遍历该节点的右子树,即访问节点 3;
- 访问节点 3 左子树,找到节点 6;
- 由于节点 6 无左右子树,因此节点 6 遍历完成,回到节点 3 并遍历其右子树,找到节点 7;
- 节点 7 无左右子树,因此以节点 3 为根节点的子树遍历完成,同时回归节点 1。由于节点 1 的左右子树全部遍历完成,因此整个二叉树遍历完成;
二叉树采用先序遍历得到的序列为: 1 2 4 5 3 6 7
递归实现二叉树先序遍历采用的是递归的思想,可以用C语言实现
#include
#include
#define TElemType int
//构造结点的结构体
typedef struct BiTNode{
TElemType data;//数据域
struct BiTNode *lchild,*rchild;//左右孩子指针
}BiTNode,*BiTree;
//初始化树的函数
void CreateBiTree(BiTree *T){
*T=(BiTNode*)malloc(sizeof(BiTNode));
(*T)->data=1;
(*T)->lchild=(BiTNode*)malloc(sizeof(BiTNode));
(*T)->rchild=(BiTNode*)malloc(sizeof(BiTNode));
(*T)->lchild->data=2;
(*T)->lchild->lchild=(BiTNode*)malloc(sizeof(BiTNode));
(*T)->lchild->rchild=(BiTNode*)malloc(sizeof(BiTNode));
(*T)->lchild->rchild->data=5;
(*T)->lchild->rchild->lchild=NULL;
(*T)->lchild->rchild->rchild=NULL;
(*T)->rchild->data=3;
(*T)->rchild->lchild=(BiTNode*)malloc(sizeof(BiTNode));
(*T)->rchild->lchild->data=6;
(*T)->rchild->lchild->lchild=NULL;
(*T)->rchild->lchild->rchild=NULL;
(*T)->rchild->rchild=(BiTNode*)malloc(sizeof(BiTNode));
(*T)->rchild->rchild->data=7;
(*T)->rchild->rchild->lchild=NULL;
(*T)->rchild->rchild->rchild=NULL;
(*T)->lchild->lchild->data=4;
(*T)->lchild->lchild->lchild=NULL;
(*T)->lchild->lchild->rchild=NULL;
}
//模拟操作结点元素的函数,输出结点本身的数值
void displayElem(BiTNode* elem){
printf("%d ",elem->data);
}
//先序遍历
void PreOrderTraverse(BiTree T){
if (T) {
displayElem(T);//调用操作结点数据的函数方法
PreOrderTraverse(T->lchild);//访问该结点的左孩子
PreOrderTraverse(T->rchild);//访问该结点的右孩子
}
//如果结点为空,返回上一层
return;
}
int main() {
BiTree Tree;
CreateBiTree(&Tree);
printf("
遍历: \n");
PreOrderTraverse(Tree);
}
非递归的底层实现依靠的是栈存储结构,因此,二叉树的先序遍历既可以直接采用递归思想实现,也可以使用栈的存储结构模拟递归的思想实现,其 C 语言实现代码为:
#include
#include
#define TElemType int
int top=-1;//top变量时刻表示栈顶元素所在位置
//构造结点的结构体
typedef struct BiTNode{
TElemType data;//数据域
struct BiTNode *lchild,*rchild;//左右孩子指针
}BiTNode,*BiTree;
//初始化树的函数
void CreateBiTree(BiTree *T){
*T=(BiTNode*)malloc(sizeof(BiTNode));
(*T)->data=1;
(*T)->lchild=(BiTNode*)malloc(sizeof(BiTNode));
(*T)->rchild=(BiTNode*)malloc(sizeof(BiTNode));
(*T)->lchild->data=2;
(*T)->lchild->lchild=(BiTNode*)malloc(sizeof(BiTNode));
(*T)->lchild->rchild=(BiTNode*)malloc(sizeof(BiTNode));
(*T)->lchild->rchild->data=5;
(*T)->lchild->rchild->lchild=NULL;
(*T)->lchild->rchild->rchild=NULL;
(*T)->rchild->data=3;
(*T)->rchild->lchild=(BiTNode*)malloc(sizeof(BiTNode));
(*T)->rchild->lchild->data=6;
(*T)->rchild->lchild->lchild=NULL;
(*T)->rchild->lchild->rchild=NULL;
(*T)->rchild->rchild=(BiTNode*)malloc(sizeof(BiTNode));
(*T)->rchild->rchild->data=7;
(*T)->rchild->rchild->lchild=NULL;
(*T)->rchild->rchild->rchild=NULL;
(*T)->lchild->lchild->data=4;
(*T)->lchild->lchild->lchild=NULL;
(*T)->lchild->lchild->rchild=NULL;
}
//前序遍历使用的进栈函数
void push(BiTNode** a,BiTNode* elem){
a[++top]=elem;
}
//弹栈函数
void pop( ){
if (top==-1) {
return ;
}
top--;
}
//模拟操作结点元素的函数,输出结点本身的数值
void displayElem(BiTNode* elem){
printf("%d ",elem->data);
}
//拿到栈顶元素
BiTNode* getTop(BiTNode**a){
return a[top];
}
//先序遍历非递归算法
void PreOrderTraverse(BiTree Tree){
BiTNode* a[20];//定义一个顺序栈
BiTNode * p;//临时指针
push(a, Tree);//根结点进栈
while (top!=-1) {
p=getTop(a);//取栈顶元素
pop();//弹栈
while (p) {
displayElem(p);//调用结点的操作函数
//如果该结点有右孩子,右孩子进栈
if (p->rchild) {
push(a,p->rchild);
}
p=p->lchild;//一直指向根结点最后一个左孩子
}
}
}
int main(){
BiTree Tree;
CreateBiTree(&Tree);
printf("前序遍历: \n");
PreOrderTraverse(Tree);
}
