我的首发平台是公众号【CodeAllen】,学习交流QQ群:736386324
中序遍历的代码
/* 二叉树的中序遍历递归算法 */
/* 初始条件: 二叉树T存在 */
/* 操作结果: 中序递归遍历T */
void InOrderTraverse(BiTree T)
{
if(T==NULL)
return;
InOrderTraverse(T->lchild); /* 中序遍历左子树 */
printf("%c",T->data); /* 显示结点数据,可以更改为其它对结点操作 */
InOrderTraverse(T->rchild); /* 最后中序遍历右子树 */
}
看代码可以知道,对比先序遍历,等于是把调用左孩子的递归函数提前了
二叉树中序遍历的实现思想是:
- 访问当前节点的左子树;
- 访问根节点;
- 访问当前节点的右子树;
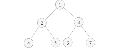
以上图为例,采用中序遍历的思想遍历该二叉树的过程为:
- 访问该二叉树的根节点,找到 1;
- 遍历节点 1 的左子树,找到节点 2;
- 遍历节点 2 的左子树,找到节点 4;
- 由于节点 4 无左孩子,因此找到节点 4,并遍历节点 4 的右子树;
- 由于节点 4 无右子树,因此节点 2 的左子树遍历完成,访问节点 2;
- 遍历节点 2 的右子树,找到节点 5;
- 由于节点 5 无左子树,因此访问节点 5 ,又因为节点 5 没有右子树,因此节点 1 的左子树遍历完成,访问节点 1 ,并遍历节点 1 的右子树,找到节点 3;
- 遍历节点 3 的左子树,找到节点 6;
- 由于节点 6 无左子树,因此访问节点 6,又因为该节点无右子树,因此节点 3 的左子树遍历完成,开始访问节点 3 ,并遍历节点 3 的右子树,找到节点 7;
- 由于节点 7 无左子树,因此访问节点 7,又因为该节点无右子树,因此节点 1 的右子树遍历完成,即整棵树遍历完成;
图中二叉树采用中序遍历得到的序列为:4 2 5 1 6 3 7
