您当前的位置: 首页 >  光怪陆离的节日

37中值定理的推广

光怪陆离的节日 发布时间:2021-06-03 08:28:44 ,浏览量:2

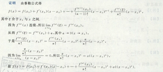
1、 中值定理的推广 在这里插入图片描述 在这里插入图片描述

关注
打赏
1688896170
查看更多评论

光怪陆离的节日

暂无认证

  • 2浏览

    0关注

    916博文

    0收益

  • 0浏览

    0点赞

    0打赏

    0留言

私信
关注
热门博文
立即登录/注册

微信扫码登录

0.2395s