您当前的位置: 首页 >  光怪陆离的节日

63定积分基本概念、基本性质、基本定理

光怪陆离的节日 发布时间:2021-06-12 11:55:50 ,浏览量:3

1、 定积分的概念 在这里插入图片描述

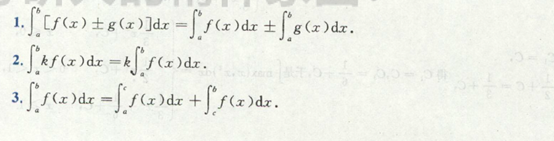
2、 定积分的基本性质

在这里插入图片描述 在这里插入图片描述

关注
打赏
1688896170
查看更多评论

光怪陆离的节日

暂无认证

  • 3浏览

    0关注

    916博文

    0收益

  • 0浏览

    0点赞

    0打赏

    0留言

私信
关注
热门博文
立即登录/注册

微信扫码登录

0.0468s