业务流程管理(Business Process Management, BPM),BPM是-种以规范化的构造端到端的卓越业务流程为中心,以持续的提高组织业务绩效为目的的系统化方法。.
企业业务流程的整体目标是为顾客创造价值。因此,以顾客利益为中心,以员工为中心,以及以效率和效益为中心是业务流程设计的核心。
1. 业务流程的六要素 流程有六个要素分别是输入、活动、活动间的关联关系、输出、客户、价值。 流程要为客户创造价值,流程价值分析是始终要牢记在心的。
2. 企业业务流程的层次:
生产流程(实时控制)---运作流程----计划层----战略层
3. 业务流程分析方法论
业务流程分析的主要方法有价值链分析法、客户关系分析法、供应链分析法、基于ERP的分析法和业务流程重构等。
1)价值链分析法: 价值链分析的基础是价值,其重点是价值活动分析。价值活动可分为两种活动:基本活动和辅助活动。价值链列示了总价值。价值链除包括价值活动外,还包括利润.
常用流程分析工具: BAM业务活动图;UML活动图;标杆瞄准;Petri网格模型;
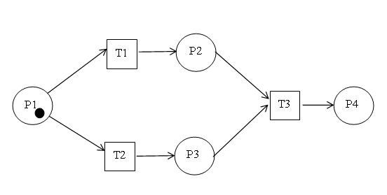
Petri网格模型:Petri网是20世纪60年代由卡尔·A·佩特里发明的,适合于描述异步的、并发的计算机系统模型。经典的Petri网是简单的过程模型,由两种节点:库所和变迁,有向弧,以及令牌等元素组成的。
4. 业务流程设计工具
流程设计工具:TFP程序流程图、IPO 图、N-S 图、问题分析图(Problem Analysis Diagram,PAD )、过程设计语言、判断表、判定树;
TFD 业务流程图(Transaction Flow Diagram, TFD);
N-S 图: Nassi Shneiderman图,也被称为盒图或NS图。是结构化编程中的一种可视化建模。
IPO是指结构化设计中变换型结构的输入(Input)、加工(Processing)、输出(Output)
5. 业务流程评估
业务流程评价分析方法:增值性分析、流程设计的正确性检验、业务流程方案的评价。 企业业务流程实施的成果必然体现在经营管理的绩效上,衡量业务流程实施效果的关键指标主要有:产品和服务质量、顾客满意度、销售增长率、成本、员工工作效率等。同时,业务流程实施取得显著效果的一个标志是带来企业文化,特别是员工价值观的变化。
6. 业务流程重构
业务流程重构(BPR)是针对企业业务流程的基本问题进行反思,并对它进行彻底的重新设计,使业绩取得显著性的提高。 BPR 强调的4 个核心内容:“根本性”、“彻底性”、“显著性”、“流程”。 BPR 遵循的原则:以流程为中心的原则、团队管理原则、以客户为导向原则。
