系统分析师高频真题带练【综合知识】
1、企业信息化规划是一项长期而艰巨的任务,是融合企业战略、管理规划、业务流程重组等内容的综合规划活动。其中( )战略规划是评价企业现状,选择和确定企业的总体和长远目标,制定和抉择实现目标的行动方案;( )战略规划关注的是如何通过信息系统来支撑业务流程的运作,进而实现企业的关键业务目标;( )战略规划对支撑信息系统运行的硬件、软件、支撑环境等进行具体的规划。
A、信息资源 B、企业
C、企业行动 D、业务
A、信息系统 B、企业技术 C、业务流程 D、业务指标 A、信息资源 B、信息系统 C、信息技术 D、信息环境
试题答案:第 1 题:B 第 2 题:A 第 3 题:C试题解析:
企业战略规划是用机会和威胁评价现在和未来的环境,用优势和劣势评价企业现状,进而选择和确定企业的总体和长远目标,制定和抉择实现目标的行动方案。
信息系统战略规划关注的是如何通过信息系统来支撑业务流程的运作,进而实现企业的关键业务目标,其重点在于对信息系统远景、组成架构、各部分逻辑关系进行规划。
信息技术战略规划通常简称为 IT 战略规划,是在信息系统规划的基础上,对支撑信息系统运行的硬件、软件、支撑环境等进行具体的规划,它更关心技术层面的问题。IT 战略规划主要包括以下步骤:业务分析,主要是理解业务部门的现在与未来;检查当前的 IT 架构和信息系统,重点是评估其支持业务部门的程度;识别机会,重点是定义通过信息系统改进业务的机会;选择方案,主要是寻找和确定一致的机会和方案。这些步骤作为一个连续统一体,实际上就是IT 战略规划的过程。
信息资源规划是在以上规划的基础上,为开展具体的信息化建设项目而进行的数据需求分析、信息资源标准建立、信息资源整合工作。
2、在企业信息系统中,客户关系管理系统将客户看作是企业的一项重要资产,其关键内容是
( ),供应链管理系统是企业通过改善上、下游供应链关系,整合和优化企业的
( );产品数据管理系统可以帮助企业实现对与企业产品相关的( )进行集成和管
理;知识管理系统是对企业有价值的信息进行管理,其中,( )使知识能在企业内传播和分享,使得知识产生有效的流动。
A、客户价值管理 B、市场营销
C、客户资料库 D、客户服务
A、信息流、物流和资金流 B、商务流、物流和资金流
C、信息流、商务流和信用流 D、商务流、物流和人员流
A、配置、文档和辅助设计文件 B、数据、开发过程以及使用者 C、产品数据、产品结构和配置 D、工作流、产品视图和客户
A、知识生成工具 B、知识编码工具 C、知识转移工具 D、知识发布工具
试题答案:第 1 题:D 第 2 题:A 第 3 题:B 第 4 题:C试题解析:
客户关系管理(Customer Relationship Management, CRM)将客户看作是企业的一项重要资产,客户关怀是 CRM 的中心,其目的是与客户建立长期和有效的业务关系,在与客户的每一个“接触点”上都更加接近客户、了解客户,最大限度地增加利润。CRM 的核心是客户价值管理,它将客户价值分为既成价值、潜在价值和模型价值,通过“一对一”营销原则,满足不同价值客户的个性化需求,提高客户忠诚度和保有率,实现客户价值持续贡献,从而全面提升企业盈利能力。客户服务是 CRM 的关键内容,是能否形成并保留大量忠诚客户的关键。
CRM 的功能包括四个方面:
客户服务:客户服务是 CRM 的关键内容。
市场营销:包括商机产生、商机获取和管理、商业活动管理和电话营销等。共享的客户资料库:它把市场营销和客户服务连接起来。
分析能力:CRM 的一个重要方面在于它具有使客户价值最大化的分析能力。
供应链管理(Supply Chain Management,SCM)是一种集成的管理思想和方法,它执行供应链中从供应商到最终用户的物流的计划和控制等职能。从单一的企业角度来看,是指企业通过改善上、下游供应链关 系,整合和优化供应链中的信息流、物流和资金流,以获得企业的竞争优势。
产品数据管理(Product Data Management,PDM)是一门用来管理所有与产品相关信息(包括零件信息、配置、文档、计算机辅助设计文件、结构、权限信息等)和所有与产品相关过程(包括过程定义和管理)的技术。PDM 系统是一种软件框架,利用这个框架可以帮助企业实现对与企业产品相关的数据、开发过程以及使用者进行集成与管理,可以实现对设计、制造和生产过程中需要的大量数据进行跟踪和支持。
通常,可以把知识管理工具分为知识生成工具、知识编码工具和知识转移工具三大类。
- 知识生成工具。知识的生成包括产生新的想法、发现新的商业模式、发明新的生产流程,以及对原有知识的重新合成。不同方式的知识产生模式有不同的工具对其进行支持。知识生成工具包括知识获取、知识合成和知识创新三大功能。目前,利用具有初步人工智能功能的搜索引擎和知识挖掘工具进行知识的自动获取,可以将相关的词句组合起来,帮助人们将分散的创新观点进行合成。但是,目前实现知识的创新还十分困难,只能利用一些工具实现辅助性的知识创新。
- 知识编码工具。知识编码是通过标准的形式表现知识,使知识能够方便地被共享和交流。知识编码工具的作用就在于将知识有效地存储并且以简明的方式呈现给使用者,使知识更容易被其他人使用。知识编码的困难在于,知识几乎不能以离散的形式予以表现。知识不断地积累,不断地改变,以至于人们很难对其进行清晰的区分。因此,对知识进行审核和分类是十分困难的。
- 知识转移工具。知识转移工具最终就是要使知识能在企业内传播和分享。知识的价值在于流动和使用。在知识流动的过程中存在许多障碍,使知识不能毫无阻力地任意流动。这些障碍可分成三类,分别是时间差异、空间差异和社会差异。知识转移工具可以根据各种障碍的特点,在一定程度上帮助人们消除障碍,使知识得到更有效的流动。
3、EAI(企业应用集成)可以包括表示集成、数据集成、控制集成和业务流程集成等多个层次和方面,下图所表示的是( ),适合于使用这种集成方式的情况是( )。
A、表示集成 B、数据集成 C、控制集成
D、业务流程集成
A、要对多种信息源产生的数据进行综合分析和决策
B、为用户提供一个看上去统一,但是由多个系统组成的应用系统 C、在现有的基于终端的应用系统上配置基于 PC 的用户界面
D、当只有可能在显示界面上实现集成时 试题答案:第 1 题:B 第 2 题:A 试题解析:第 1 题:
由于本题图中展示的集成点是中间件,所以这种集成应是数据集成。
为了完成控制集成和业务流程集成,必须首先解决数据和数据库的集成问题。在集成之前,必须首先对数据进行标识并编成目录,另外还要确定元数据模型,保证数据在数据库系统中分布和共享。
通常在以下情况下,将会使用数据集成:
- 需要对多种信息源产生的数据进行综合分析和决策。
- 要处理一些多个应用程序需要访问的公用信息库。
- 当需要从某数据源获得数据来更新另一个数据源时,特别是它们之间的数据格式不相同时。
相对而言,数据集成比表示集成要更加灵活。但是,当业务逻辑经常发生变化时,数据集成就会面临困难。'
4、商业智能(BI)主要关注如何从业务数据中提取有用的信息,然后根据这些信息采取相应的行动,其核心是构建()。 BI 系统的处理流程主要包括 4 个阶段,其中()阶段主要包括数据的抽取(extraction)、 转换(ransformation) 和加载(load) 三个步骤(即 ETL 过
程);()阶段不仅需 要进行数据汇总/聚集,同时还提供切片、切块、下钻、上卷和旋转等海量数据分析功能。
A、ER 模型 B、消息中心 C、数据仓库 D、业务模型
A、数据预处理 B、数据预加载 C、数据前处理 D、数据后处理
A、业务流程分析
B、OLTP C、OLAP
D、数据清洗
试题答案:第 1 题:C 第 2 题:A 第 3 题:C试题解析:
本题考查的是商业智能相关内容。
商业智能的关键是从许多来自不同的企业运作系统的数据中提取出有用的数据并进行清理,以保证数据的正确性,其核心是构建数据仓库。
BI 系统主要包括数据预处理、建立数据仓库、数据分析和数据展现四个主要阶段。数据预处理是整合企业原始数据的第一步,它包括数据的抽取(Extraction)、转换
(Transformation)和加载(Load)三个过程(ETL 过程);建立数据仓库则是处理海量数据的基础;数据分析是体现系统智能的关键,一般采用 OLAP 和数据挖掘两大技术。OLAP 不仅进行数据汇总/聚集,同时还提供切片、切块、下钻、上卷和旋转等数据分析功能,用户可以方便地对海量数据进行多维分析。数据挖掘的目标则是挖掘数据背后隐藏的知识,通过关联分析、聚类和分类等方法建立分析模型,预测企业未来发展趋势和将要面临的问题;在海量数据和分析手段增多的情况下,数据展现则主要保障系统分析结果的可视化。
5、以下关于敏捷开发原则的叙述中,错误的是( )。
A、强调通过尽早地、持续地交付有价值的软件来使客户满意
B、经常交付可以工作的软件,但是每次都必须交付具有完整功能的系统 C、在团队内部,最具有效果并富有效率的信息传递方法是面对面的交谈 D、强调应对需求的持续变更,即使在项目后期也可灵活应对需求变更 试题答案:B
试题解析:
本题主要考查对敏捷开发原则的理解。敏捷开发是一种以人为核心、迭代、循序渐进的开发方法。在敏捷开发中,软件项目的构建被切分成多个子项目,各个子项目的成果都经过测 试,具备集成和可运行的特征。换言之,就是把一个大项目分为多个相互联系,但也可独立运行的小项目,并分别完成,在此过程中软件一直处于可使用状态。敏捷开发的原则包括:
① 我们最优先要做的是通过尽早的、持续的交付有价值的软件来使客户满意。
② 即使到了开发的后期,也欢迎改变需求。敏捷过程利用变化来为客户创造竞争优势。
③ 经常性的交付可以工作的软件,交付的间隔可以从几周到几个月,交付的时间间隔越短越好。但不要求每次交付的都是系统的完整功能。
④ 在整个项目开发期间,业务人员和开发人员必须天天都在一起工作。
⑤ 围绕被激励起来的人来构建项目。给他们提供所需要的环境和支持,并且信任他们能够完成工作。
⑥ 在团队内部,最具有效果并且富有效率的传递信息的方法,就是面对面的交谈。
⑦ 工作的软件是首要进度度量标准。
⑧ 敏捷过程提倡可持续的开发速度。责任人、开发者和用户应该能够保持一个长期的、恒定的开发速度。
⑨ 不断地关注优秀的技能和好的设计会增强敏捷能力。
⑩ 简单——使未完成的工作最大化的艺术——是根本的。
⑪ 最好的构架、需求和设计出自与自组织的团队。
⑫ 每隔一定时间,团队会在如何才能更有效地工作方面进行反省,然后相应地对自己的行为进行调整。
6、某软件公司欲开发一个人力资源管理系统,客户在开发初期对系统的功能并不清楚,但明确表示随着人力资源管理制度的逐步完善,需要对软件功能进行不断调整,针对这种情况,采用( )开发模型比较合适。
A、瀑布式 B、喷泉
C、增量 D、螺旋
试题答案:C试题解析:
本题主要考查软件开发模型的应用。根据题干描述,可以看出在开发之初,用户对系统的功能并不了解,并且系统的功能会不断变更,针对这种情况,应该采用增量的开发模型。这是因为在增量模型中,软件被作为一系列的增量构件来设计、实现、集成和测试,每一个构件是由多种相互作用的模块所形成的提供特定功能的代码片段构成。增量模型在各个阶段并不交付一个可运行的完整产品,而是交付满足客户需求的一个子集的可运行产品。整个产品被分解成若干个构件,开发人员逐个构件地交付产品,这样做的好处是软件开发可以较好地适应变化,客户可以不断地看到所开发的软件,从而降低开发风险。
7、下列活动,( )不属于需求开发活动的范畴。 A、根据系统需求识别和确认系统功能
B、将所收集的用户需求编写成文档和模型
C、针对系统特点,考虑并确定系统开发平台与程序设计语言 D、了解实际用户任务和目标以及这些任务所支持的业务需求试题答案:C
试题解析:
需求工程主要包括两大部分:需求开发和需求管理。其中需求开发活动主要包括:需求获取、需求分析、需求定义、需求验证;需求管理活动包括:定义需求基线、处理需求变更、需求跟踪。本题的描述中A 与 D 属于需求获取部分的工作,而 B 选项对应的是需求定义。
8、详细调查的目标是获取企业业务处理的方法,深入了解系统的处理流程,确定用户需求。详细调查强调科学合理,根据欲获取信息的不同,调查方法也各不相同。若想获取用户对系统的想法和建议等定性特征,则( )方法比较合适;若想获取系统某些较为复杂的流程和操作过程,则( )方法比较合适。
A、抽样调查
B、阅读历史文档 C、开调查会
D、现场观摩 A、抽样调查
B、阅读历史文档 C、开调查会
D、现场观摩
试题答案:第 1 题:C 第 2 题:D 试题解析:
本题考查需求的获取手段,备选答案均为需求获取手段,但各有特色。
若想获取用户对系统的想法和建议等定性特征,则开调查会方法比较合适,因为开调查会的方式会强调需求分析人员与用户之间的交互,在交互过程中可以获取用户对系统的想法和建议。
若想获取系统某些较为复杂的流程和操作过程,则现场观摩方法比较合适。俗话说,“百闻不如一见”,对于一些较为复杂的流程和操作而言,是比较难以用语言和文字进行表达的,对于这种情况,可以采用到客户的工作现场,一边观察,一边听客户讲解,从而更直观的了解客户需求。
9、UML2.0 所包含的图中,( )描述由模型本身分解而成的组织单元,以及它们之间的依赖关系。
A、组合结构图 B、包图
C、部署图 D、构件图
试题答案:B试题解析:
本题考查的是 UML 图的相关知识:
UML 2.0 包括 14 种图,分别列举如下:
- 类图(class diagram)。类图描述一组类、接口、协作和它们之间的关系。在 OO 系统的建模中,最常见的图就是类图。类图给出了系统的静态设计视图,活动类的类图给出了系统的静态进程视图。
- 对象图(object diagram)。对象图描述一组对象及它们之间的关系。对象图描述了在类图中所建立的事物实例的静态快照。和类图一样,这些图给出系统的静态设计视图或静态进程视图,但它们是从真实案例或原型案例的角度建立的。
- 构件图(component diagram)。构件图描述一个封装的类和它的接口、端口,以及由内嵌的构件和连接件构成的内部结构。构件图用于表示系统的静态设计实现视图。对于由小的部件构建大的系统来说,构件图是很重要的。构件图是类图的变体。
- 组合结构图(composite structure diagram)。组合结构图描述结构化类(例如,构件或类)的内部结构,包括结构化类与系统其余部分的交互点。组合结构图用于画出结构化类的内部内容。
- 用例图(use case diagram)。用例图描述一组用例、参与者及它们之间的关系。用例图给出系统的静态用例视图。这些图在对系统的行为进行组织和建模时是非常重要的。
- 顺序图(sequence diagram,序列图)。顺序图是一种交互图(interaction diagram),交互图展现了一种交互,它由一组对象或参与者以及它们之间可能发送的消息构成。交互图专注于系统的动态视图。顺序图是强调消息的时间次序的交互图。
- 通信图(communication diagram)。通信图也是一种交互图,它强调收发消息的对象或参与者的结构组织。顺序图和通信图表达了类似的基本概念,但它们所强调的概念不同,顺序图强调的是时序,通信图强调的是对象之间的组织结构(关系)。在 UML 1.X 版本中,通信图称为协作图(collaboration diagram)。
- 定时图(timing diagram,计时图)。定时图也是一种交互图,它强调消息跨越不同对象或参与者的实际时间,而不仅仅只是关心消息的相对顺序。
- 状态图(state diagram)。状态图描述一个状态机,它由状态、转移、事件和活动组成。状态图给出了对象的动态视图。它对于接口、类或协作的行为建模尤为重要,而且它强调事件导致的对象行为,这非常有助于对反应式系统建模。
- 活动图(activity diagram)。活动图将进程或其他计算结构展示为计算内部一步步的控制流和数据流。活动图专注于系统的动态视图。它对系统的功能建模和业务流程建模特别重要,并强调对象间的控制流程。
- 部署图(deployment diagram)。部署图描述对运行时的处理节点及在其中生存的构件的配置。部署图给出了架构的静态部署视图,通常一个节点包含一个或多个部署图。
- 制品图(artifact diagram)。制品图描述计算机中一个系统的物理结构。制品包括文件、数据库和类似的物理比特集合。制品图通常与部署图一起使用。制品也给出了它们实现的类和构件。
- 包图(package diagram)。包图描述由模型本身分解而成的组织单元,以及它们之间的依赖关系。
- 交互概览图(interaction overview diagram)。交互概览图是活动图和顺序图的混合物。
10、在面向对象系统中,有两个类存在整体与部分的关系,如果部分可能同时属于多个整
体,则两者之间的关系称为( );如果部分和整体具有统一的生命周期,则两者之间的关系称为( )。
A、聚合关系 B、依赖关系 C、泛化关系 D、组合关系 A、聚合关系 B、依赖关系 C、泛化关系 D、组合关系
试题答案:第 1 题:A 第 2 题:D 试题解析:
在面向对象系统中,类之间的整体与部分关系可分为:聚合关系和组合关系两种类型。
- 聚合关系。其含义是“部分”可能同时属于多个“整体”,“部分”与“整体”的生命周期可以不相同。例如,汽车和车轮就是聚合关系,车子坏了,车轮还可以用;车轮坏了,可以再换一个。
- 组合聚集。与聚合关系的区别在于,组合关系中的“部分”只能属于一个“整体”, “部分”与“整体”的生命周期相同,“部分”随着“整体”的创建而创建,也随着“整 体”的消亡而消亡。例如,一个公司包含多个部门,它们之间的关系就是组合关系。公司一旦倒闭,也就无所谓部门了。
11、UML 通过五个视图来定义系统架构,( )表示了设计模型中在架构方面具有重要意义的类、子系统、包和用例实现的子集。
A、逻辑视图 B、用例视图 C、进程视图 D、部署视图试题答案:A试题解析:
UML 对系统架构的定义是系统的组织结构,包括系统分解的组成部分,以及它们的关联性、交互机制和指导原则等提供系统设计的信息。具体来说,就是指以下 5 个系统视图:
- 逻辑视图。逻辑视图也称为设计视图,它表示了设计模型中在架构方面具有重要意义的部分,即类、子系统、包和用例实现的子集。
- 进程视图。进程视图是可执行线程和进程作为活动类的建模,它是逻辑视图的一次执行实例,描述了并发与同步结构。
- 实现视图。实现视图对组成基于系统的物理代码的文件和构件进行建模。
- 部署视图。部署视图把构件部署到一组物理节点上,表示软件到硬件的映射和分布结构。
- 用例视图。用例视图是最基本的需求分析模型。
12、系统设计是根据系统分析的结果,完成系统的构建过程。其中,( )是为各个具体任务选择适当的技术手段和处理流程; ( )的主要任务是将系统的功能需求分配给软件模块,确定每个模块的功能和调用关系,形成软件的( )。
A、详细设计 B、架构设计
C、概要结构设计
D、功能设计 A、详细设计 B、架构设计
C、概要结构设计 D、模块设计
A、用例图
B、模块结构图 C、系统部署图 D、类图
试题答案:第 1 题:A 第 2 题:C 第 3 题:B试题解析:
系统设计的主要内容包括概要设计和详细设计。概要设计又称为系统总体结构设计,它是系统开发过程中很关键的一步,其主要任务是将系统的功能需求分配给软件模块,确定每个模块的功能和调用关系,形成软件的模块结构图,即系统结构图。在概要设计中,将系统开发的总任务分解成许多个基本的、具体的任务,为每个具体任务选择适当的技术手段和处理方法的过程称为详细设计。根据任务的不同,详细设计又可分为多种,例如,网络设计、代码设计、输入/输出设计、处理流程设计、数据存储设计、用户界面设计、安全性和可靠性设计等。
13、某项目有 8 个作业 A~H,每个作业的紧前作业、所需天数和所需人数见下表。由于整个项目团队总共只有 9 人,各个作业都必须连续进行,中途不能停止,因此需要适当安排施工方案,使该项目能尽快在()内完工。 在该方案中,作业 A 应安排在()内进行 。
A、10 天 B、11 天 C、12 天 D、13 天
A、第 3~5 天 B、第 4~6 天 C、第 5~7 天 D、第 6~8 天
试题答案:第 1 题:B 第 2 题:D 试题解析:本题是对项目管理知识的考查。
本题涉及到进度管理、人员安排两个维度的综合考查。为了方便分析,将表中的作业转换为进度网络图并标注作业时间及所需人数如下:
1、如果仅考虑进度分析不考虑人员安排,此时关键路径为 C-E-F-H,项目工期为 10 天,将
10 天工作安排依次记录,结果如下:
2、再综合人员安排“整个项目团队总共只有 9 人”来分析剩余作业 A(3,7)、B(1,8)、 D(2,4)、G(2,7)。
(1)C 作业工作在第 1~2 天,此时 D 作业(无紧前作业)可以与 C 作业并行,此时人数需要 9 人,其他作业人数不够;
(2)E 作业工作在第 3~4 天,此时 B 作业(无紧前作业)可以与 E 作业并行 1 天,此时人数需要 9 人,其他作业未充分利用;
(3)E 作业工作的第 4 天、F 作业工作的第 5~7 天,此时 A 作业和 G 作业都可以与 E 作业、F作业并行,此时所需人数分别为 9 人、8 人,A 作业和 G 作业共需时间 5 天,可以 A 作业安排在第 4~6 天且 G 作业安排在第 7~8 天,也可以 G 作业安排第 4~5 天且 A 作业安排在第 6~8
天,本题第 2 问 B 选项和 D 选项都是正确的。
(4)在第 8 天时,由于执行了 A 作业(无紧前作业)或 G 作业(紧前作业 D 已完成),此时 H 作业无法在第 8 天正常工作,否则人数会超过 9 人,因此 H 作业需要后延一天开始,即工作在第 9~11 天。整个项目完成需要 11 天,第一空选择 B 选项。
整个项目的安排如下表所示:
或
14、遵守面向对象设计原则可以有效地提高系统的复用性和可维护性。应用( )原则可扩展已有的系统,并为之提供新的行为;( )原则建议在面向对象程序设计中,应尽量针对接口编程,而不是针对实现编程。
A、开闭
B、里氏替换
C、依赖倒置 D、接口隔离 A、里氏替换 B、依赖倒置 C、接口隔离 D、最小知识
试题答案:第 1 题:A 第 2 题:B试题解析:
本题考查面向对象设计的基础知识。
面向对象设计原则可以有效地提高系统的复用性和可维护性。开闭原则是指一个类应该对扩展开放,对修改关闭,从而实现系统行为的扩展。里氏替换原则是指子类型必须能够替换掉它的父类型,可以避免在多态应用中出现隐蔽的错误。依赖倒置原则是指高层模块不应该依赖于底层模块的实现,应针对底层模块的接口而非实现编程。接口隔离原则是指针对不同的客户需求分离接口,避免接口的误用。最小知识原则是指在设计系统时减少对象之间的交 互,降低对象之间的耦合度和依赖关系,提高系统的可维护性。
15、以下关于复杂指令集计算机(Complex Instruction Set Computer, CISC)的叙述中,正确的是( )。
A、只设置使用频度高的一些简单指令,不同指令执行时间差别很小 B、CPU 中设置大量寄存器,利用率低
C、常采用执行速度更快的组合逻辑实现控制器 D、指令长度不固定,指令格式和寻址方式多 试题答案:D
试题解析:
A、nkt16、流水线技术是通过并行硬件来提高系统性能的常用方法。对于一个 k 段流水线,假设其各段的执行时间均相等(设为 t),输入到流水线中的任务是连续的理想情况下,完成 n 个连续任务需要的总时间为( )。若某流水线浮点加法运算器分为 5 段,所需要的时间分别是 6ns、7ns、8ns、9ns 和 6ns,则其最大加速比为( )。
B、(k+n-1)t C、(n-k)kt D、(k+n+1)t A、4
B、5 C、6 D、7
试题答案:第 1 题:B 第 2 题:A试题解析:
本题主要考查流水线技术的相关基础知识与计算。
流水线技术是通过并行硬件来提高系统性能的常用方法,它把一项任务分解为若干可以同时进行的并行工作。在任一时刻,任一任务只占其中一个操作部件,这样就可以实现多项任务的重叠执行。对于一个 k 段流水线,假设其各段的执行时间均相等(设为 t),输入到流水线中的任务是连续的理想情况下,从流水线的输出端看,用 k 个时钟周期输出第一项任务,其余 n-1 个时钟周期,每个周期输出一项任务,因此完成 n 个连续任务需要的总时间为
(k+n-1)×t。加速比定义为顺序执行时间与流水线执行时间的比值。
根据题干,假设 n 条指令,顺序执行时间为(6+7+8+9+6)×n=36n,在流水线中的执行时间为 (6+7+8+9+6)+(n-1)×9=27+9n ,因此加速比为 36n/(9n+37)。本题要求的是最大加速比,应该是极限值,当 n 无穷大时,最大加速比为 36n/9n=4。
17、在计算机系统中,若一个存储单元被访问,这个存储单元有可能很快会再被访问,该特性被称为( );这个存储单元及其邻近的存储单元有可能很快会再被访问,该特性被称为
( )。
A、程序局部性 B、空间局部性 C、时间局部性 D、数据局部性 A、程序局部性 B、空间局部性 C、时间局部性 D、数据局部性
试题答案:第 1 题:C 第 2 题:B试题解析:
局部性原理是指在指定时间内,程序趋于在有限的内存区域内重复访问。通常将局部性分为空间局部性和时间局部性。空间局部性是指已访问过的内存地址附近的位置很可能被连续访问。时间局部性是指已访问过的内存地址在较短的时间内还可能被多次访问。
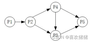
18、进程 P1、P2、P3、P4、P5 的前趋关系图如下所示:
若用 PV 操作控制这 5 个进程的同步与互斥,程序如下:
程序中空 a 和空 b 处应分别为( ),空 c 和空 d 处应分别为( );空 e 和空 f 处应分别为( )。
A、V(S1)和 V(S2)V(S3) B、P(S1)和 V(S2)V(S3) C、P(S1)和 P(S2)V(S3) D、P(S1)和 P(S2)P(S3) A、V(S2)V(S4)和 V(S5) B、P(S2) V(S4)和 V(S5) C、P(S2)P(S4)和 V(S5) D、P(S2)V(S4)和 P(S5) A、V(S3)和 V(S4)V(S6) B、P(S3)和 V(S4)V(S6) C、P(S3)和 P(S4)V(S6) D、P(S3)和 V(S4)P(S6)
试题答案:第 1 题:B 第 2 题:C 第 3 题:B试题解析:
本题是一个前趋图转 PV 操作的问题。解答该题的关键在于了解 PV 操作中的信号量在前趋图的具体什么位置起作用,一旦弄清楚该问题,整个试题的解答就非常容易了。信号量其实是作用于进程之间,每个箭线都对应着一个信号量,当一个信号量的箭头指向一个进程时,说明该进程进行前需要对此信号量做 P 操作,而一个箭头从一个进程引出时,说明此进程完成时,需要对该信号量做 V 操作。如图所示。
从图分析,可以得知完整的 process P1 - process P5 为:
19、进程 P 有 6 个页面,页号分别为 0~5,页面大小为 4K,页面变换表如下所示。表中状态位等于 1 和 0 分别表示页面在内存和不在内存。假设系统给进程 P 分配了 4 个存储块,进程 P 要访问的逻辑地址为十六进制 1165H,那么该地址经过变换后,其物理地址应为十六进制
( );如果进程 P 要访问的页面 4 不在内存,那么应该淘汰页号为( )的页面。
A、1165H B、3165H C、5165H D、6165H
A、0 B、1 C、2 D、5
试题答案:第 1 题:B 第 2 题:D试题解析:
本题考查操作系统存储管理方面的基础知识。第一空的正确选项为 B。根据题意,页面大小为 4K,逻辑地址为十六进制 1165H 其页号为 1,页内地址为 165H,查页表后可知页帧号(物理块号)为 3,该地址经过变换后,其物理地址应为页帧号 3 拼上页内地址 165H,即十六进制 3165H。第二空的正确选项为 D。根据题意,页面变换表中状态位等于 1 和 0 分别表示页面在内存或不在内存,所以 0、1、2 和 5 号页面在内存。当访问的页面 4 不在内存时,系统应该首先淘汰未被访问的页面,因为根据程序的局部性原理最近未被访问的页面下次被访问的概率更小;如果页面最近都被访问过,应该先淘汰未修改过的页面。因为未修改过的页面内存与辅存一致,故淘汰时无须写回辅存,使系统页面置换代价小。经上述分析,0、1 和 2 号页面都是最近被访问过的,但 5 号页面最近未被访问过,故应该淘汰 5 号页面。
20、某文件管理系统在磁盘上建立了位示图(bitmap), 记录磁盘的使用情况。若计算机系统的字长为 32 位(注:每位可以表示一个物理块“使用”还是“未用”的情况),若磁盘的容量为 400GB,物理块的大小为 4MB,那么位示图的大小需要()个字。
A、256 B、1024
C、3200 D、4098
试题答案:C试题解析:
本题考查了位示图的计算。
位示图是利用二进制的一位来表示磁盘中的一个盘块的使用情况。一般把“1”作为盘块已分配的标记,把“0”作为空闲标志。因为根据题意系统中字长为 32 位,所以一个字可记录 32个物理块的使用情况为磁盘的容量为 400GB,物理块的大小为 4MB,那么该磁盘有 400*1024/4=102400 个物理块,所需的位示图的大小为 102400/32=3200 个字。所以答案为 C选项。
21、在数据库系统中,数据库的视图、基本表和存储文件的结构分别与( )对应;数据的物理独立性和数据的逻辑独立性是分别通过修改( )来完成的。
A、模式、外模式、内模式 B、模式、内模式、外模式 C、外模式、模式、内模式 D、外模式、内模式、模式
A、模式与内模式之间的映像、外模式与模式之间的映像
B、外模式与内模式之间的映像、外模式与模式之间的映像 C、外模式与模式之间的映像、模式与内模式之间的映像
D、外模式与内模式之间的映像、模式与内模式之间的映像试题答案:第 1 题:C 第 2 题:A
试题解析:
本题考查对数据库基本概念掌握程度。
数据库通常采用三级模式结构,其中,视图对应外模式,基本表对应模式,存储文件对应内模式。
数据的独立性是由 DBMS 的二级映像功能来保证的。数据的独立性包括数据的物理独立性和数据的逻辑独立性。数据的物理独立性是指当数据库的内模式发生改变时,数据的逻辑结构不变。为了保证应用程序能够正确执行,需要通过修改概念模式与内模式之间的映像。数据的逻辑独立性是指用户的应用程序与数据库的逻辑结构是相互独立的。数据的逻辑结构发生变化后,用户程序也可以不修改。但是,为了保证应用程序能够正确执行,需要修改外模式与概念模式之间的映像。
22、给定关系 R(A,B,C,D)和关系 S(C,D,E),对其进行自然连接运算 R⋈S 后的属性列为
( )个;与σR.B>S.E(R⋈S)等价的关系代数表达式为( )。 A、4
B、5 C、6 D、7
A、σ2>7(R×S)
B、π1,2,3,4,7(σ‘2’>‘7’Λ3=5Λ4=6(R×S)) C、σ‘2’>‘7’(R×S)
D、π1,2,3,4,7(σ2>7Λ3=5Λ4=6(R×S))
试题答案:第 1 题:B 第 2 题:D试题解析:
对 R 与 S 做自然连接运算时,连接条件为:R.C=S.C and R.D=S.D。运算结果会自动去重复列,所以结果的列为:A、B、C、D、E,一共 5 列。
23、设有员工实体 Employee(员工号,姓名,性别,年龄,电话,家庭住址,家庭成员,关系,联系电话)。其中,“家庭住址”包括邮编、省、市、街道信息;“家庭成员,关系,联系电话”分别记录了员工亲属的姓名、与员工的关系以及联系电话,且一个员工允许有多个家庭成员。
员工实体 Employee 的主键为( );该关系属于( );为使数据库模式设计更合理,对于员工关系模式 Employee( )。
A、员工号
B、员工号,家庭成员 C、姓名
D、姓名,家庭成员
A、2NF,无冗余,无插入异常和删除异常
B、2NF,无冗余,但存在插入异常和删除异常
C、1NF,存在冗余,但不存在修改操作的不一致
D、1NF,存在冗余和修改操作的不一致,以及插入异常和删除异常 A、只允许记录一个亲属的姓名、与员工的关系以及联系电话
B、可以不作任何处理,因为该关系模式达到了 3NF C、增加多个家庭成员、关系及联系电话字段
D、应该将家庭成员、关系及联系电话加上员工号作为一个独立的模式试题答案:第 1 题:B 第 2 题:D 第 3 题:D
试题解析:
本题考查关系数据库方面的基础知识。
第一空的正确答案为 B。因为一个员工可以有多个家庭成员,故为了唯一区分 Employee 关系中的每一个元组,其主键为(员工号,家庭成员)。
第二空的正确答案为 D。关系模式 Employee∈1NF,原因是员工号→(姓名,性别,年龄,电话,家庭住址),即非主属性(姓名,性别,年龄,电话,家庭住址)不完全依赖于码“员工号,家庭成员”,故 Employee 不属于 2NF。1NF 存在四个问题:冗余度大、引起修改操作的不一致性、插入异常和删除异常。
第三空的正确答案为 D。如果某员工有 5 个亲属,那么该员工关系中“员工号,姓名,性 别,年龄,电话,家庭住址”将重复出现 5 次,为了将数据库模式设计的更合理,应该消除冗余,即将家庭成员、关系及联系电话加上员工号设计成为一个独立的模式。
24、给定关系模式 R(A1,A2,A3,A4),R 上的函数依赖集 F={A1A3→A2,A2→A3},则 R
( )。若将 R 分解为 p={(A1,A2),(A1,A3)},那么该分解( )。 A、有一个候选关键字 A1A3
B、有一个候选关键字 A1A2A3
C、有两个候选关键字 A1A3A4 和 A1A2A4
D、有三个候选关键字 A1A2、A1A3 和 A1A4 A、是无损连接的
B、是保持函数依赖的
C、既是无损连接又保持函数依赖
D、既是有损连接又不保持函数依赖
试题答案:第 1 题:C 第 2 题:D 试题解析:第 1 题:
在判断无损分解时,我们采用公式法:
R1 与 R2 的交集是::A1。R1-R2=A2,R2-R1=A3,由于 A1→A2 和 A1→A3,均不成立,所以有损。是否保持函数依赖,就看函数依赖两边的属性是否在分解后的关系中都有。 A1A3→A2,A2→A3 都没有被保存下来,所以没有保持函数依赖。
25、若某企业信息系统的应用人员分为三类:录入、处理和查询,那么用户权限管理的方案适合采用( )。
A、针对所有人员建立用户名并授权 B、建立用户角色并授权
C、建立每类人员的视图并授权给每个人
D、对关系进行分解,每类人员对应一组关系试题答案:B
试题解析:
由于系统的应用人员可明确分为三类,所以按不同角色赋予权限,再给用户分配相应角色的机制最为适合。
26、如果在网络的入口处通过设置 ACL 封锁了 TCP 和 UDP 端口 21、23 和 25,则能够访问该网络的应用是( )。
A、FTP B、DNS C、SMTP
D、Telnet 试题答案:B试题解析:
27、客户端采用 ping 命令检测网络连接故障时,可以 ping 通 127.0.0.1 及本机的 IP 地址,但无法 ping 通同一网段内其他工作正常的计算机的 IP 地址。该客户端的故障可能是
( )。
A、TCP/IP 协议不能正常工作 B、本机网卡不能正常工作
C、本机网络线路故障
D、本机 DNS 服务器地址设置错误试题答案:C
试题解析:
能 PING 通本机IP 与 127 网段 IP,说明网卡正常,TCP/IP 协议也是正常的,而是否能 PING 通与DNS 并无关系,所以 C 选项所说的本机网络线路故障的可能性是最高的。
28、网络设计过程包括逻辑网络设计和物理网络设计两个阶段,各个阶段都要产生相应的文档,下面的选项中,属于逻辑网络设计文档的是( ),属于物理网络设计文档的是
( )。
A、网络 IP 地址分配方案 B、设备列表清单
C、集中访谈的信息资料
D、网络内部的通信流量分布 A、网络 IP 地址分配方案
B、设备列表清单
C、集中访谈的信息资料
D、网络内部的通信流量分布试题答案:第 1 题:A 第 2 题:B试题解析:
利用需求分析和现有网络体系分析的结果来设计逻辑网络结构,最后得到一份逻辑网络设计文档,输出内容包括以下几点:
- 逻辑网络设计图
- IP 地址方案
- 安全方案
- 具体的软硬件、广域网连接设备和基本服务
- 招聘和培训网络员工的具体说明
- 对软硬件、服务、员工和培训的费用初步估计
物理网络设计是对逻辑网络设计的物理实现,通过对设备的具体物理分布、运行环境等确定,确保网络的物理连接符合逻辑连接的要求。输出如下内容:
- 网络物理结构图和布线方案
- 设备和部件的详细列表清单
- 软硬件和安装费用的估算
- 安装日程表,详细说明服务的时间以及期限
- 安装后的测试计划
- 用户的培训计划
29、以下用于在网络应用层和传输层之间提供加密方案的协议是( )。 A、PGP
B、SSL
C、IPSec
D、DES
试题答案:B试题解析:
本题考查信息安全中的安全协议工作层次,选项中,仅有 SSL 是从传输层工作到应用层。PGP 工作于应用层,IPSec 工作于网络层。
30、非对称加密算法中,加密和解密使用不同的密钥,下面的加密算法中( )属于非对称加密算法。若甲、乙采用非对称密钥体系进行保密通信,甲用乙的公钥加密数据文件,乙使用( )来对数据文件进行解密。
A、AES B、RSA C、IDEA D、DES
A、甲的公钥 B、甲的私钥 C、乙的公钥 D、乙的私钥
试题答案:第 1 题:B 第 2 题:D试题解析:
本题考查信息安全中的非对称加密算法。
常见的对称加密算法包括:DES,3DES,RC-5,IDEA,AES。
常见的非对称加密算法包括:RSA,ECC,Elgamal、背包算法、Rabin、D-H。常见的信息摘要算法包括:SHA,MD5,HMAC。
在使用非对称加密体制进行加解密时,甲使用乙的公钥加密,则乙使用配套的私钥(即乙的私钥)解密。
31、假定用户 A、B 分别在 I1 和 I2 两个 CA 处取得了各自的证书,( )是 A、B 互信的必要条件。
A、A、B 互换私钥 B、A、B 互换公钥 C、I1、I2 互换私钥 D、I1、I2 互换公钥试题答案:D
试题解析:
本题考查的是信息安全中的 CA 认证。题目难度较高,但用排除法来分析不难得出结论。首先,在公钥体系中,交换私钥是无论什么情况下都绝对不允许发生的情况,所以 A 与 C 选项必然错误。余下的 B 与D,B选项的做法没意义,要 AB 互信,其信任基础是建立在 CA 之上的,如果仅交换 AB 的公钥并不能解决信任的问题。而 I1 与 I2 的公钥交换倒是可以做到互信,因为 I1 与 I2 的公钥正是验证 CA 签名的依据。所以本题应选 D。
32、某计算机系统的可靠性结构如下所示,若所构成系统的每个部件的可靠度分别为 R1 、 R2、R3 和 R4 ,则该系统的可靠度为( )。
A、(1-( R1+R2)R3)+R4
B、(1-(1-R1R2)(1-R3))R4 C、(1-R1R2)(1-R3)R4
D、(1-R1)(1-R2)R3(1-R4)试题答案:B
试题解析:
本题考查系统可靠性方面的基础知识。
由子系统构成串联系统时,其中任何一个子系统失效就使整个系统失效,其可靠度等于各子系统可靠度的乘积;构成并联系统时,只要有一个子系统正常工作,系统就能正常工作。
设每个子系统的可靠性分别以 R1 、R2,...,RN 表示,则整个系统用串联方式构造时的可靠度为 R=R1×
R2…×…RN,整个系统用并联方式构造时的可靠度为 R=1-(1-R1)(1-R2)…(1-RN)。
题图中,R1,R2 是串联关系,其可靠度为 R1×R2,R3 与 R1、R2 并联后再与 R4 串联,因此整个系统的可靠度为(1-(1-R1R2)(1-R3))R4。
33、计算机系统的性能一般包括两个大的方面。一个方面是它的( ),也就是计算机系统能正常工作的时间,其指标可以是能够持续工作的时间长度,也可以是在一段时间内,能正常工作的时间所占的百分比;另一个方面是处理能力,这又可分为三类指标,第一类指标是吞吐率,第二类指标是响应时间,第三类指标是( ),即在给定时间区间中,各种部件被使用的时间与整个时间之比。
A、可用性 B、安全性 C、健壮性
D、可伸缩性 A、可靠性
B、资源利用率 C、系统负载
D、吞吐量
试题答案:第 1 题:A 第 2 题:B试题解析:
计算机系统的性能一般包括两个大的方面。一个方面是它的可靠性或可用性,也就是计算机系统能正常工作的时间,其指标可以是能够持续工作的时间长度(例如,平均无故障时间),也可以是在一段时间内,能正常工作的时间所占的百分比;另一个方面是它的处理能力或效率,这又可分为三类指标,第一类指标是吞吐率(例如,系统在单位时间内能处理正常作业的个数),第二类指标是响应时间(从系统得到输入到给出输出之间的时间),第三类指标是资源利用率,即在给定的时间区间中,各种部件(包括硬设备和软件系统)被使用的时间与整个时间之比。当然,不同的系统对性能指标的描述有所不同,例如,计算机网络系统常用的性能评估指标为信道传输速率、信道吞吐量和容量、信道利用率、传输延迟、响应时间和负载能力等。
34、彩色视频信号数字化的过程中,利用图像子采样技术通过降低对( )的采样频率,以达到减少数据量的目的。
A、亮度信号
B、饱和度信号 C、同步信号
D、色度信号试题答案:D试题解析:
彩色视频信号数字化的过程中,利用图像子采样技术通过降低对 色差信号 的采样频率,以达到减少数据量的目的。
用基色信号减去亮度信号就得到色差信号(也就是题目中的色度信号)。例如蓝色差信号(B-Y)、红色差
(R-Y)两个色差信号和一个亮度信号(Y)。
严格上讲,色差信号共有三个,即 R-Y,B-Y,G-Y。但只有两个是独立的,第三个可用另外两个求出。 由于对任何频率的颜色,绿色分量对亮度的贡献最大,因此 G-Y 的值相应地最小,显然,在信号传送过程中,传送一个小信号对改善信噪比不利,因此工业上选择色差值相对较大的B-Y,R-Y 两个色差信号以及亮度信号作为传送信号。
35、MPEG-7 是 ISO 制定的( )标准。 A、多媒体视频压缩编码
B、多媒体音频压缩编码
C、多媒体音、视频压缩编码 D、多媒体内容描述接口
试题答案:D试题解析:
1996 年 10 月,运动图像专家组开始着手一项新的研究课题来解决多媒体内容描述的问题,即多媒体内容描述接口(简称 MPEG-7)。MPEG-7 将扩大现今在识别内容方面存在的能力限制,将包括更多的数据类型。换言之,MPEG-7 将规定用于描述各种类型的多媒体信息的一组标准描述符集、描述符的结构和反映它们之间关系的描述图。MPEG-7 也将标准化描述定义语言(DDL),用它来定义新的描述图。
MPEG-7 的目标是支持多种音频和视觉的描述,包括自由文本、N 维时空结构、统计信息、客观属性、主观属性、生产属性和组合信息。对于视觉信息,描述将包括颜色、视觉对象、纹理、草图、形状、体积、空间关系、运动及变形等。
MPEG-7 标准由下列部分组成:
- MPEG-7 系统 用于产生 MPEG-7 描述以便高效传送和存储并允许在内容和描述之间同步的标准结构和工具。该部分也包括与管理和保护知识产权有关的工具。
- MPEG-7 描述定义语言(DDL) 用来定义新的描述图,或许最终还可用来定义新的描述符及 DDL 表达式的二进制数据表示。
- MPEG-7 音频 处理音频描述的描述符和描述图。
- MPEG-7 视觉 处理视觉描述的描述符和描述图。
- MPEG-7 多媒体描述图 处理类特征和多媒体描述的描述符和描述图。
- MPEG-7 参考软件 MPEG-7 标准相关部分的软件实现。
- MPEG-7 一致性 用来测试 MPEG-7 实现一致性的指导和过程。
自从 1998 年 10 月 MPEG-7 征集提议以来,MPEG-7 DDL AHG 收到了大量的有关DDL 设计的提议和文件。DDL的设计也受到 W3C(万维网联盟)的 XML Schema 语言和 RDF(资源描述框架)的极大影响。开始的时候, DDL 工作组决定开发自己的语言,同时追踪 W3C 的XML Schema 的开发。2000 年 4 月,W3C 的XML Schema工作组发布了最后一轮的XML Schema 1.0 规范工作草案。该 XML Schema 语言改进后的稳定性、其潜在的应用范围、可用的工具和解析器以及能满足 MPEG-7 大多数要求的能力,使 DDL 工作组决定采用 XML Schema 作为其 DDL 的基础。
虽然在 2000 年 3 月召开的第 51 次国际 MPEG 会议上已决定采用 XML Schema 作为 MPEG-7 的 DDL,但 DDL 需要对 XML Schema 做一些专门的扩充(如数组和矩阵)来满足 MPEG-7 的全部要求。因此,在逻辑上可以把 DDL 分解成下列的标准组成部分:XML Schema 结构部分;XML Schema 数据类型部分;MPEG-7 对 XML
Schema 的扩展部分。
在 MPEG-7 处理链中包含 3 个高度抽象的过程:特征提取、标准描述和检索工具。其中特征提取和检索工具都不包含在 MPEG-7 标准中,而是留给大家去竞争,以便得到最后的算法和工具。
36、计算机软件著作权的保护对象是指( )。 A、软件开发思想与设计方案
B、软件开发者
C、计算机程序及其文档 D、软件著作权权利人 试题答案:C
试题解析:
本题考查知识产权中的软件著作权。
软件著作权的保护对象是计算机程序及其文档,而权利人可能是软件开发者,也可能是软件开发者所在的公司(职务作品的情况)。
37、 著作权中,( )的保护期不受限制。 A、发表权
B、发行权 C、署名权 D、展览权
试题答案:C试题解析:
本题考查知识产权中的著作权的保护期限。在著作权中:
“署名权、修改权、保护作品完整权”的保护是没有时间限制的。
“发表权、使用权和获得报酬权”的保护时限为:作者终生及其死亡后的 50 年(第 50 年的 12 月 31日)。
38、王某原是 M 软件公司的项目经理,未与 M 软件公司签订劳动合同及相应的保密协议。王某离职后受聘于 L 软件公司,先后将其在 M 软件公司任职期间掌握的软件开发思想、处理过程及客户信息等用于 L 软件公司的开发与管理活动,提高了 L 软件公司的经济效益。王某行为( )。
A、侵犯了 M 软件公司的软件著作权 B、侵犯了 M 软件公司的商业秘密权
C、既侵犯 M 软件公司的软件著作权,也侵犯 M 软件公司的商业秘密权
D、既未侵犯 M 软件公司的软件著作权,也未侵犯 M 软件公司的商业秘密权试题答案:D
试题解析:
本题应从两个方面分析,从软件著作权的角度来看,“软件开发思想、处理过程“并不受著作权法保护,所以不侵权,而从商业秘密权的角度来看,没有保密措施,也不能界定为商业秘密,所以两个角度都不侵权。
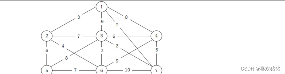
39、某小区有七栋楼房①~⑦(见下图),各楼房之间可修燃气管道路线的长度(单位:百米)已标记在连线旁。为修建连通各个楼房的燃气管道,该小区内部煤气管道的总长度至少为( )百米。
A、23 B、25 C、27 D、29
试题答案:A试题解析:
本题为最小生成树问题。
从图中选取最小的六条边,并确保这 6 条边不形成环路即可。即:2+3+3+4+5+6=23。
40、某厂准备生产甲、乙、丙三种产品,生产每件产品所需的 A、B 两种原料数量,能获得的利润,以及工厂拥有的原料数量如下表:
根据该表,只要安排好生产计划,就能获得最大利润( )万元。 A、25
B、26 C、27 D、28
试题答案:C试题解析:
本题考查数学应用(线性规划)能力。
设该厂生产甲 x 件,乙 y 件,丙 z 件,则有线性规划模型: Max S=3x+4y+z
6x+5y+3z0 时,
Max S=3x+4y+Δ
6x+5y


微信扫码登录