如何在实际编程中使用树?
Good Question!
我们在学习数据结构的时候肯定会学到表示一对多层次关系的数据结构——“树”。
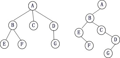
那时的“树”在初学者头脑里的形象可能还是这样的: 学的熟练了以后可能是这样的:
这是一个森林,内有两棵树根节点。
但是实际上,很多人真正熟悉的是“二叉树”这种特殊的数据结构,能在二叉树的基础上写很多的算法,但不能在实际中运用所学的二叉树的知识来处理非TreeNode结点,子结点不止2个的情况。
本文试图从自己的经验来讲解如何进行思维的转变以及去编写代码。
一则具体的树的使用案例案例
在一个完整项目里用到的自定义树实体类的代码如下:
import
