01
工程思想
说到对模拟电路的理解和应用,倒是用模拟电路做过一些东西,也参加过一些竞赛。模拟电路是一门工程性质的课程,学习它的重点在于掌握其中的工程思想,同时最好能用于实践,而不只是为了做题考试。
何为工程思想呢?
百度百科的解释是这样的:
工程是科学和数学的某种应用,通过这一应用,使自然界的物质和能源的特性能够通过各种结构、机器、产品、系统和过程,是以最短的时间和精而少的人力做出高效、可靠且对人类有用的东西。于是工程的概念就产生了,并且它逐渐发展为一门独立的学科和技艺。
例如在模拟电路中,有个非常重要的工程思想—近似。
中学物理课上,我们学的很多电路都是理想电路,导线电阻始终为0,变压器的效率是100%,理想电压表内阻无穷大,理想电流表内阻为0等。
你可以发现,很多时候模拟电路中的计算会常常省略掉一两个比较小的项,而且直接用等号而不是约等号。
为什么要用近似呢?说白了就是人类科学对自然的理解还不够全面,无法绝对精确的描述自然现象;或者是人的理解力有限,精确描述代价太大。
通过近似的手段,不仅对解决问题没有明显的影响,而且大大简化了步骤,节约了时间和精力。运用这种思想,人类科学取得了很多成果,也充分证明了其可靠性。
02
概要
模电本身是一个非常复杂的学科,而模电课程只是其中最基础的东西。模拟电路(Analog Circuit)的含义是处理模拟信号的电子电路。
自然界中绝大多数信号都是模拟信号,它们有连续的幅度值,比如说话时的声音信号。模拟电路可以对这样的信号直接处理(当然需要先转换成电信号),比如功放能放大声音信号,广播电台能将模拟的声音信号、图像信号进行发送。
甚至可以认为,所有电路的基础都是模拟电路(即使是数字电路,其底层原理也是基于模拟电路的)。其重要性不言而喻。
由于数字电路、可编程器件的迅速发展,体现了很多优越特性。很多电子设备都慢慢数字化,但始终还是离不开模拟电路。
目前模拟电路中最重要的器件,则非半导体器件莫属。最基本和常用的半导体器件有二极管、三极管、场效应管和运算放大器。
二极管的作用很多,如普通二极管可用于整流,发光二极管可用于指示灯和照明,稳压管可进行稳压,变容二极管可用来进行信号调制等。模电课程中,涉及到二极管的部分相对比较简单,而场效应管的很多特性类似三极管,所以常以三极管或运放为主体进行讲解。
03
三极管与放大器
三极管的基本功能是放大,通过这一特性,三极管构成各种电路,体现出了很多工程思想。
三极管基本电路就是放大器,例如功放就是一个放大器,输入的声音很小,输出的声音却很大。放大器的输出和输入电压(或电流)之比称为放大倍数,又叫做增益。
对于一个电压来说,如果以时间为横轴、电压为纵轴作图,这个图形则为这个电压的波形。
如果一个放大倍数为5的放大器,输入恒定的1V电压(波形如下左图),则输出应该始终是5V(波形如下中图),既不会随时间改变,也不会随温度而变化,输出和输入的电压形状完全一样。
但如果放大倍数不稳定,不断变化,原先输入的信号就会变形(如下右图),信号可能由一条水平直线变成了一条曲线。这种波形变化叫做失真。
一个理想的放大器,希望其放大倍数是恒定值。如果功放的放大倍数不稳定,声音就会忽大忽小,波形变化还会导致声音发生变化,即失真。
现实总是和理想相违背。很不幸,三极管的特性并不理想,它在放大电路中工作时,放大倍数不仅受输入电压、电源电压影响,而且自身发热导致温度变化,也会影响它的放大倍数。
这实在是让很多工程师头疼,如果不能找到有效的方法,减少这一特性带来的影响,三极管很难应用到实际中来。
04
负反馈
负反馈。什么是负反馈呢?
反馈是指将系统的输出又返回到输入端而影响输入,从而对系统整体输出产生作用。反馈可分为正反馈和负反馈。负反馈是使输出起到与输入相反的作用,使系统输出趋于稳定。
上面的解释不好理解,我举两个例子。
1. 玩倒立摆时,我们用手支撑起一个倒立的木棍,当木棍往某个方向倾斜时,我们通过将手移动到木棍倾斜的方向来抵消这种变化,使得木棍能在手上平衡。
2. 高中的时候经常月考,我发现有些同学有这样的习惯:当一次成绩考得比较差的时候,就会开始好好学习,然后下次成绩就上涨;而考得比较好时,接下来的一个月又会松懈,于是成绩又会降下来,如此周而复始。
这两个例子都充分说明,负反馈可以让系统更稳定。
负反馈放大器
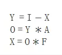
我们忽略具体电路,只画一个简单的框图,来说明三极管放大电路是如何利用负反馈的。
下面三角形表示一个三极管构成的放大器,放大倍数为 A,输入为 I ,则输出 O=A*I ,由于放大倍数A不稳定,所以输出波形会有失真。
在电路中添加了一些器件如下。
紫色的圆形是相加器,结合紫色的“+”、“-”符号,表示其输出 Y=(+I)+(-X)=I-X ,在实际电路中用电阻就可以实现;
方框F是反馈器件,表示从输出O取出信号,并将其与F相乘,得到 X ,所以 X=0*F ,这里 F<1 (这个部分在实际电路中可以用电阻实现);
三角形表示的放大器A,主要用三极管构成,满足 O=A*Y ,且A的放大倍数不稳定,很容易受干扰。
可以列出方程组:
解得整个电路的放大倍数:
如果设计电路让放大倍数A非常大,同时F不至于很小,则
符号">>"表示远大于
根据近似的思想,上述整个电路放大倍数:
由于反馈器件可由电阻实现,普通电阻的阻值不容易受外界干扰,因此F的值很稳定,于是整个电路的放大倍数就很稳定。我们成功的通过负反馈解决了三极管的放大倍数稳定性问题。
可以看到这里的反馈部分和放大部分构成了一个环形,所以将整个电路的放大倍数称为环路增益,或者闭环增益;而把增加反馈之前,电路的放大倍数A称为开环增益。由于是负反馈,虽然电路增益稳定性提高了,但也有代价:由于
于是 A>>1/F
即开环增益远大于闭环增益,也就是放大器增益大大降低。但总的来说,为了稳定性,这样做是值得的。
05
运算放大器
在上面的电路中,为了实际制造出开环增益A很大的放大器,往往要用多级三极管放大电路串联的方式设计。
由于这种高增益放大器的需求很常见,于是历史上有人就把它们做成一个成品电路板模块,要用的时候直接当成一个元件用就行了,非常方便。
这就是最初的运算放大器,简称运放。
集成电路的发展,使得大量晶体管元器件集成在一个小芯片上成为可能,于是就有了今天十分常用的集成运算放大器。
“运算放大器”由于最初用于模拟计算机上进行数学运算而得名。尽管现在广泛使用的数字计算机不再用运放进行计算操作,但名称还是保留了下来。
而今天,运放在模拟电路中发挥着十分重要的作用,也成为模电课程的重点之一。
06
运放的虚短虚断特性
通常运放有两个输入端U+和U−,一个输出端Uo,它们之间满足
运放开环增益A常常高达几十万~几百万,但运放的输出电压受电源电压限制,不能超出电源电压。于是运放的输入-输出关系类似下图形状。
图中横轴是,纵轴是U。
在中间那一段直线区域,运放在正常放大状态,称为线性区,满足
Uo=A∗(U+−U−)
而当输入的绝对值稍大一点时,输出就会受到电源限制,不再满足上述关系式,Uo的值通常比电源电压范围略小(注意运放可以用双电源,即电源电压范围可以在一个负值和一个正值之间),称为非线性区。
轨对轨运放的输出可以达到电源电压,有兴趣可以自行在网上搜索学习。
当运放工作在线性区时,Uo的值很有限,但是A很大,所以U+−U−=UoA≈0
即U+≈U−
此时运放正负输入端电压几乎相等,就像短路了一样,称为虚短。所以只有当运放工作在放大区才会有“虚短”的特点,而非运放自身固有属性。
另一方面,由于运放内部结构特性,其输入阻抗很大。
输入阻抗可以简单理解为 输入阻抗 = 输入端电压 / 输入端电流
输入阻抗大,意味着运放输入端只需很小的电流就能正常工作。
正因为如此,运放才能用于一些微弱电流的检测,比如人体的脑电波、肌电波,其最高电压值只有几mV,电流值也非常小。
运放这一特性被称为虚断,也就是输入端和断路一样,几乎没有电流流入。
与虚短不同,虚断是运放自身固有属性,不会随着电路的不同而改变。
07
运放的非理想特性
运放由三极管构成,显然和三极管一样,也会有很多不理想的特性。前面讲的都是理想运放的特点。
而实际运放,它不会完全满足虚短虚断特性,正常工作时输入端需要电流流入,这个电流便被称作输入偏置电流。同样运放还有输入偏置电压、输入失调电压、输入失调电流等非理想参数。
这些非理想特性,比如输入偏置电流虽然很小,但有时候却会对电路造成很大影响,导致电路无法工作。
因此则需要通过一些手段减小这些因素造成的影响。在实际应用中,运放的非理想特性是一个非常重要的问题。运放非理想特性的消除有很多方法,这里不做介绍。
08
其他内容
模电课程的核心就是三极管和运放。围绕这些器件,讲解多种电路,包括:
● 放大电路的计算分析、多级放大电路、放大器的频率特性、反馈的思想;
● 功率放大电路;
● 比较器、振荡器、积分器、微分器、波形发生等;
● 信号运算处理;
● 滤波器;
● 集成稳压电源电路等。
09
运放和三极管的比较
在实际设计电路时,运放比三极管用的相对会多一些。因为运放的很多特性比三极管要优秀,电路设计简单,而且往往运放的成本并不高。
很多时候用三极管和运放实现同样的效果,使用运放的成本反而更低。因为运放是将大量晶体管集成在一块的,平均每个晶体管的制造成本非常低。
例如一个常规音频前级放大器,一个通用运放就能搞定,成本可能是0.2元,而用三极管实现同样的效果,可能需要10个甚至更多三极管,成本或许要0.5元,并且设计时所花费的人力成本远比运放方案高。
当然三极管也有其优势。在一些非常简单的电路中,并不严格要求放大倍数的稳定性,一两个三极管就能完成任务,往往会用三极管以节省成本。
另外在一些比较极端的条件下,比如工作在高频率、大功率的环境下(例如射频信号发射电路),设计良好的三极管电路的性能会比运放效果好很多,或者成本低很多,甚至有些情况下只有直接使用晶体管才能完成,这时就需要使用三极管来搭建电路了。
-END-
还是全国一等奖,继续冲!(H题:用电器分析识别装置)
硬件工程师薪资虚高,你认可吗?
硬件比软件难,那为什么硬件工程师待遇还不如软件?
做个全国一等奖的小车,其实不难(F题:智能送药小车方案分享)
【STM32入门】这个项目绝了,用手势来产生波形!
