您当前的位置: 首页 >  庄小焱

补充知识——干涉仪的原理

庄小焱 发布时间:2021-02-28 15:45:55 ,浏览量:4

摘要

主要介绍是干涉仪的原理

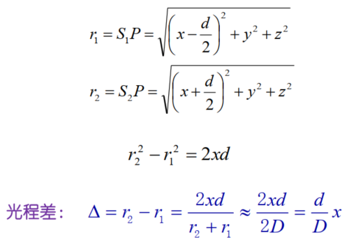
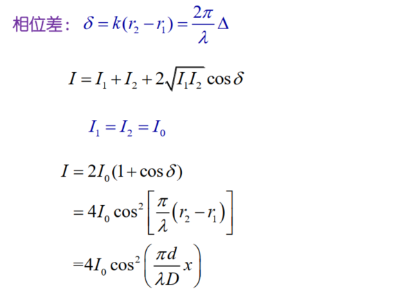
干涉原理

这里为什么是的可以说成为是的约等于??在什么情况下是可以认为是约等于呢?如果是误差该怎么决绝呢?

 

 

 

 

 

关注
打赏
1688896170
查看更多评论

庄小焱

暂无认证

  • 4浏览

    0关注

    773博文

    0收益

  • 0浏览

    0点赞

    0打赏

    0留言

私信
关注
热门博文
立即登录/注册

微信扫码登录

0.0617s