目录
简介
Graph
Graphs and where to find them
Images as graphs
Text as graphs
What types of problems have graph structured data?
Graph-level task
Node-level task
Edge-level task
The challenges of using graphs in machine learning
Graph Neural Networks
Passing messages between parts of the graph
Adding global representations
The Challenges of Computation on Graphs
Lack of Consistent Structure
Node-Order Equivariance
Scalability
Problem Setting and Notation
Task
Extending Convolutions to Graphs
Polynomial Filters on Graphs
The Graph Laplacian
Polynomials of the Laplacian
ChebNet
Embedding Computation
Modern Graph Neural Networks
Embedding Computation
GCN
GAT
GraphSAGE
GIN
Conclusion
参考
简介讲图神经网络(GNN)之前,先介绍一下什么是graph,为什么需要graph,以及graph有什么问题,然后介绍一下如何用GNN处理graph问题,最后从GNN推广到GCN。
Graph图由Vertex(V)、Edge(E)和Global(U)三部分构成。V可以表示为node identity或者number of neighbors,E可以表示为edge identity或者edge weight,U可以表示为number of nodes或者longest path。
为了进一步描述每一个node、edge和entire graph,可以把信息存储在graph的每个部分中。其实就是把信息以embedding的方式存储。
还可以通过edge的方向性(有向的、无向的)来构建特殊的图。
graph data在生活中无处不在,比如最常见的image和text都可以认为是graph data的一种特例,还有其他一些场景也可以用graph data表达。
Images as graphs图片的位置可以表示成(列数-行数)的形式,将图片构建成adjacency matrix,蓝色块表示pixel和pixel之间相临,无方向性,画成graph就是右边图片的形式。
Text as graphs文本也可以构建成adjacency matrix,跟图片不一样的是,文本是一个有向图,每个词只跟前一个词相连接,并且有方向性。
其他还有比如分子、社交网络、学术引用网络等等都可以构建成graph。
What types of problems have graph structured data?graph可以处理graph-level、node-level和edge-level三种层面的问题。
Graph-level task输入graph,输出整个graph的类别。在图像中,和图像分类任务类似;在文本中,和句子情感分析类似。
Node-level task输入node不带类别的graph,输出每个node的类别。在图像中,和语义分割类似;在文本中,和词性分类类似。
Edge-level taskedge-level任务用来预测node之间的相互关系。如下图所示,先将不同部分分割出来,然后判断不同部分的相互关系。构建成graph就是对edge进行类别预测。
如何用神经网络处理graph任务呢?
第一步是考虑如何表示和神经网络相兼容的图。graph最多有4种想要预测的信息:node、edge、global-context和connectivity。前3个相对容易,比如可以用一个 表示存储了第i个node的特征矩阵N。然而connectivity的表示要复杂的多,最直接的方式是构建邻接矩阵,但是空间效率很低,可能会产生非常稀疏的邻接矩阵。
还有一个问题是,许多邻接矩阵可以编码相同的连通性,但是不能保证这些不同的矩阵在神经网络中会产生相同的结果(也就是说,它们不是置换不变的)。
以一个graph的邻接表为例,如下图所示:
通过上面的描述,graph可以通过置换不变的邻接表表示,那么可以设计一个graph neural networks(GNN)来解决graph的预测任务。
The simplest GNN
从最简单的GNN开始,更新所有graph的属性(nodes(V),edges(E),global(U))作为新的embedding,但是不使用graph的connectivity。
GNN对graph的每个组件分开使用MLP,称为GNN layer。对于每个node vetor,使用MLP后返回一个learned node-vector,同理edge会返回一个learned edge embedding,global会返回一个global embedding。
和CNN类似,GNN layer可以堆叠起来组成GNN。由于GNN layer不更新输入graph的connectivity,所有输出graph的邻接表跟输入图相同。但是通过GNN layer,node、edge和global-context的embedding已经更新。
GNN Predictions by Pooling Information
如果想用GNN做二分类任务,那么可以用一个linear classifier对graph进行分类。
然而,有时候信息只储存在edge中,那么就需要从edge收集信息转移到node用于预测,这个过程称之为pooling。
Pooling过程有两个步骤:
1.对于要pooling的每一项(上图一行中的一列),收集它们的embedding并且concat到一个矩阵中(上图中的一行)。
2.收集的embedding通过求和操作进行聚合。
因此,如果只有edge-level的特征,可以通过pooling传递信息来预测node(上图虚线表示pooling传递信息给node,然后进行二分类)。
同理,如果只有node-level的特征,可以通过pooling传递信息来预测edge。类似CV中的global average pooling。
同理,可以通过node-level的特征预测global。
和CNN类似,通过GNN blocks可以构建出一个end-to-end的GNN。
需要注意的是,在这个最简单的GNN中,没有在GNN layer使用graph的connectivity。每个node、每个edge以及global-context都是独立处理的,只在聚合信息进行预测的时候使用了connectivity。
Passing messages between parts of the graph为了使learned embedding感知到graph的connectivity,可以在GNN layer使用pooling构建出更加复杂的GNN(和convlution类似)。可以使用message passing实现,相邻node或者edge可以交换信息,并且影响彼此的embedding更新。
Message passing过程有三个步骤:
1.对于graph的每个node,收集所有相邻node的embedding。
2.通过相加操作聚合所有message。
3.所有聚合的message都通过一个update function传递(通常使用一个可学习的神经网络)。
这些步骤是利用graph的connectivity的关键。在GNN layer中构建更精细的message passing变体,可以获得表达和能力更强的GNN模型。
通过堆叠的message passing GNN layer,一个node可以引入整个graph的信息:在三层GNN layer之后,一个node可以获得3步远的node信息。
对最简单的GNN范式进行更新,增加一个message passing操作:
Learning edge representations
通过meassage passing,可以在GNN layer的node和edge之间共享信息。可以像之前使用相邻node信息一样,先将edge信息pooling,然后用update function转化并且存储,从而聚合来自相邻edge的信息。
然而,存储在graph中的node和edge信息不一定具有相同的大小或形状,因此不能立刻知道如何将它们组合起来。一种方法是学习从node空间到edge空间的线性映射,或者,可以在update function之前将它们concat在一起。
在构造GNN时,需要设计更新哪些graph属性以及更新顺序。比如可以使用weave的方式进行更新,node to node(linear),edge to edge(linear),node to edge(edge layer),edge to node(node layer)。
Adding global representations上面描述的GNN模型还有一个缺陷:在graph中,距离很远的node无法有效的传递信息,对于一个node,如果有k个layer,那么信息传递的距离最多是k步,这对于依赖相距很远的node信息的预测任务来说,是比较严重的问题。一种解决办法是让所有node可以相互传递信息,但是对于大的graph来说,计算量会非常昂贵。另一种解决办法是使用graph(U)的全局表示,称为master node或者context vector。这个全局的context vector可以连接到网络的所有node和edge,可以作为它们之间信息传递的桥梁,构建出一个graph的整体表示。
从这个角度看,所有graph属性都可以通过将感兴趣的属性和其他属性关联,然后在pooling过程中利用起来。比如对于一个node,可以同时考虑相邻的node、edge和global信息,然后通过concat将它们关联起来,最后通过线性映射将它们映射到相同特征空间中。
The Challenges of Computation on Graphsgraph在计算中有三个挑战:lack of consistent structure、node-order equivariance和scalability。
Lack of Consistent Structuregraph是极其灵活的数学模型,同时这意味着它们缺乏跨实例的一致结构。比如不同分子之间有不同的结构。用一种可以计算的格式来表示graph并不是一件简单的事情,graph的最终表示通常由实际问题决定。
Node-Order Equivariancegraph的node之间通常没有内在的顺序,相比之下,在图像中,每个像素都是由其在图像中的绝对位置唯一决定的。因此,我们希望我们的算法是节点顺序不变的:它们不应该依赖于graph中node的顺序。如果我们以某种方式对node进行排列,则由算法计算得到的node表示也应该以同样的方式进行排列。
Scalabilitygraph可以非常大,像Facebook和Twitter这样的社交网络,它们拥有超过10亿的用户,对这么大的数据进行操作并不容易。幸运的是,大多数自然出现的graph都是“稀疏的”:它们的边数往往与顶点数成线性关系。graph的稀疏性导致可以使用特殊的方法有效计算graph中node的表示。另外,和graph的数据量相比,这些方法的参数要少得多。
Problem Setting and Notation Task许多问题都可以用graph来表示:
- Node Classification: 对单个节点进行分类。
- Graph Classification: 对整个图进行分类。
- Node Clustering: 根据连接性将相似的节点分组。
- Link Prediction: 预测缺失的链接。
- Influence Maximization: 识别有影响的节点。
卷积神经网络在图像中提取特征方面是非常强大的。而图像本身可以看作是一种非常规则的网格状结构的图,其中单个像素为节点,每个像素处的RGB通道值为节点特征。
因此,将卷积推广到任意的graph是一个很自然的想法。然而,普通卷积不是节点顺序不变的,因为它们依赖于像素的绝对位置。graph可以通过执行某种填充和排序,保证每个节点的邻域结构一致性,但是还有更加普遍和强大的方法来处理这个问题。
下面首先介绍一下在节点邻域上构造多项式滤波器的方法,这和CNN在相邻像素上滤波类似。然后介绍更多最新的方法如何用更强大的机制扩展这个想法。
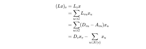
Polynomial Filters on Graphs The Graph Laplacian给定一个graph G,用A来表示数值为0或者1的邻接矩阵,用D表示对角度矩阵(矩阵对角线数值表示与行node相邻node的数量),那么 。graph Laplacian矩阵L可以表示为:L=D - A。右图的对角线就是行node的度数,负数是减去的邻接矩阵(蓝色数字和graph中的C对应)。
Laplacian的多项式可以表示为:
这些多项式可以认为和CNN中“filters”等价,而系数w是“filters”的权重。
为了方便讨论,下面考虑节点只有一维特性的情况(每个节点是一个数值)。使用前面选择的节点顺序,我们可以将所有节点特征堆在一起得到一个x向量。
关于Laplacian矩阵如何作用在x上的解释,参照https://distill.pub/2021/understanding-gnns/。
ChebNetChebNet对多项式滤波器公式进行了改进:
矩阵。关于ChebNet细节参照https://distill.pub/2021/understanding-gnns/。
下面介绍一下如何堆叠带非线性的ChebNet(或者任何多项式过滤器) layer构建成一个GNN,就像标准的CNN一样。
GNN和CNN计算方式类似,将输入作为初始features,然后计算多项式过滤器,然后和输入特征进行矩阵相乘,最后用非线性函数进行非线性变换,循环迭代K次。
需要注意的是,GNN在不同的节点上过滤器权重参数共享,和CNN类似,CNN的卷积在不同位置也是参数共享的。
Modern Graph Neural NetworksChebNet是graph中学习局部过滤器的一个突破,它激发了许多人从不同的角度思考图卷积。
多项式过滤器对x卷积可以展开为:
这其实是一个1步局部卷积(也就是只跟直接相连的node卷积),可以看成由两个步骤产生:
1.聚合直接相邻的特征 x_u 。
2.结合node自身的特征 x_v。
通过确保聚合是node-order equivariant,来保证整个卷积是node-order equivariant。
这些卷积可以被认为是相邻节点之间的“message passing”:在每一步之后,每个节点从它的相邻节点接收信息。
通过迭代重复K次1步局部卷积,感受野为K步远的所有node。
Embedding ComputationMessage-passing形成了很多GNN模型的backbone。下面介绍一些流行的GNN模型:
-
Graph Convolutional Networks (GCN)
-
Graph Attention Networks (GAT)
-
Graph Sample and Aggregate (GraphSAGE)
-
Graph Isomorphism Network (GIN)
比较一下GCN、GAT、GraphSAGE和GIN的形式,主要差别就在于如何聚合信息和如何传递信息。
Conclusion本文只是简单介绍了一下GNN和GCN的一些变体,但图神经网络的领域是极其广阔的。下面提一下一些可能感兴趣的点:
GNNs in Practice:如何提高GNN的效率、GNN的正则化技术
Different Kinds of Graphs:Directed graphs、Temporal graphs、Heterogeneous graphs
Pooling:SortPool、DiffPool、SAGPool
参考Understanding Convolutions on Graphs
A Gentle Introduction to Graph Neural Networks
A gentle introduction to graph neural networks.
零基础多图详解图神经网络(GNN/GCN)【论文精读】
