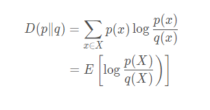
KL 散度
#tf https://www.tensorflow.org/api_docs/python/tf/keras/metrics/kl_divergence
import numpy as np
import pandas as pd
import tensorflow as tf
y_true = np.random.randint(0, 2, size=(2, 3)).astype(np.float64)
y_pred = np.random.random(size=(2, 3))
loss = tf.keras.losses.kullback_leibler_divergence(y_true, y_pred)
assert loss.shape == (2,)
y_true = tf.keras.backend.clip(y_true, 1e-7, 1)
y_pred = tf.keras.backend.clip(y_pred, 1e-7, 1)
assert np.array_equal(
loss.numpy(), np.sum(y_true * np.log(y_true / y_pred), axis=-1))
print(y_true * np.log(y_true / y_pred))
互信息
