您当前的位置: 首页 >  IT之一小佬 数学

线性回归之数学:求导公式

IT之一小佬 发布时间:2021-03-11 11:31:12 ,浏览量:3

线性回归之数学:求导公式 1 常见函数的导数

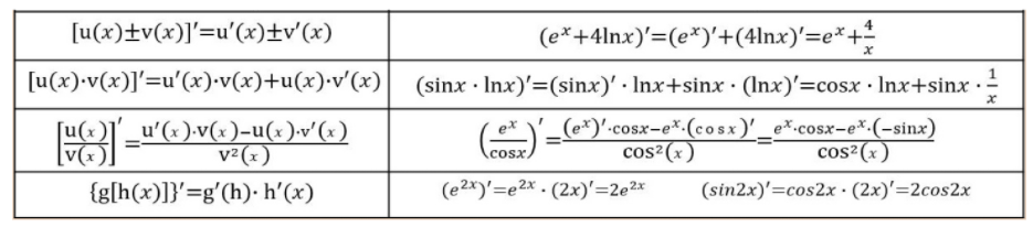
2 导数的四则运算

3 练习

4 矩阵(向量)求导 

参考链接:https://en.wikipedia.org/wiki/Matrix_calculus#Scalar-by-vector_identities

关注
打赏
1688896170
查看更多评论

IT之一小佬

暂无认证

  • 3浏览

    0关注

    1079博文

    0收益

  • 0浏览

    0点赞

    0打赏

    0留言

私信
关注
热门博文
立即登录/注册

微信扫码登录

0.1273s