梯度:是一个向量,导数+变化最快的方向(学习的前进方向)
回顾机器学习:
收集数据x ,构建机器学习模型f,得到f(x,w) = Y_predict
判断模型好坏的方法:
目标:通过调整(学习)参数w,尽可能的降低loss,那么我们该如何调整w呢?
随机选择一个起始点w_0,通过调整w_0,让loss函数取到最小值
w的更新方法:
-
计算w的梯度(导数)
- 更新w
其中:
-
0 ,意味着w将减小
总结:梯度就是多元函数参数的变化趋势(参数学习的方向),只有一个自变量时称为导数
2. 偏导的计算 2.1 常见的导数计算-
多项式求导数:f(x) = x^5 ,f'(x) = 5x^(5-1)
-
基本运算求导:f(x) = xy,f'(x) = y
-
指数求导:f(x) = 5e^x ,f'(x) = 5e^x
-
对数求导:f(x) = 5lnx ,f'(x) = 5/x,ln 表示log以e为底的对数
-
导数的微分形式:
那么:如何求 的导数呢?那就可以使用
==>
,a(b) = (1+b),
,
则有:
一元函数,即有一个自变量。类似f(x)
多元函数,即有多个自变量。类似f(x,y,z),三个自变量x,y,z
多元函数求偏导过程中:对某一个自变量求导,其他自变量当做常量即可
例1:
例2:
例3:
练习:
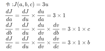
已知J(a,b,c) = 3(a+bc),令u=a+v,v = bc,求a,b,c各自的偏导数。
计算图:通过图的方式来描述函数的图形
在上面的练习中,J(a,b,c) = 3(a+bc),令u=a+v,v = bc,把它绘制成计算图可以表示为:
绘制成为计算图之后,可以清楚的看到向前计算的过程
之后,对每个节点求偏导可有:
【从后往前,计算每一层的梯度】
那么反向传播的过程就是一个上图的从右往左的过程,自变量a,b,c各自的偏导就是连线上的梯度的乘积:
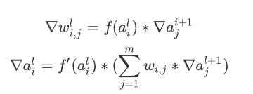
3.2.1 神经网络的示意图
w1,w2,....wn表示网络第n层权重
表示第n层第i个神经元,连接到第n+1层第j个神经元的权重。
3.2.2 神经网络的计算图
其中:
-
是根据损失函数对预测值进行求导得到的结果
-
f函数可以理解为激活函数
问题:那么此时的偏导该如何求解呢?
通过观察,发现从到
的连接线有两条
结果如下:
公式分为两部分:
-
括号外:左边红线部分
-
括号内
-
加号左边:右边红线部分
-
加号右边:蓝线部分
-
但是这样做,当模型很大的时候,计算量非常大
所以反向传播的思想就是对其中的某一个参数单独求梯度,之后更新,如下图所示:
计算过程如下
更新参数之后,继续反向传播
计算过程如下:
继续反向传播
计算过程如下:
通用的描述如下
