- 在整个Pytorch框架中, 所有的神经网络本质上都是一个autograd package(自动求导工具包)
- autograd package提供了一个对Tensors上所有的操作进行自动微分的功能.
关于torch.Tensor
- torch.Tensor是整个package中的核心类, 如果将属性.requires_grad设置为True, 它将追踪在这个类上定义的所有操作. 当代码要进行反向传播的时候, 直接调用.backward()就可以自动计算所有的梯度. 在这个Tensor上的所有梯度将被累加进属性.grad中.
- 如果想终止一个Tensor在计算图中的追踪回溯, 只需要执行.detach()就可以将该Tensor从计算图中撤下, 在未来的回溯计算中也不会再计算该Tensor.
- 除了.detach(), 如果想终止对计算图的回溯, 也就是不再进行方向传播求导数的过程, 也可以采用代码块的方式with torch.no_grad():, 这种方式非常适用于对模型进行预测的时候, 因为预测阶段不再需要对梯度进行计算.
- 关于torch.Function:
- Function类是和Tensor类同等重要的一个核心类, 它和Tensor共同构建了一个完整的类, 每一个Tensor拥有一个.grad_fn属性, 代表引用了哪个具体的Function创建了该Tensor.
- 如果某个张量Tensor是用户自定义的, 则其对应的grad_fn is None.
对于pytorch中的一个tensor,如果设置它的属性 .requires_grad为True,那么它将会追踪对于该张量的所有操作。或者可以理解为,这个tensor是一个参数,后续会被计算梯度,更新该参数。
假设有以下条件(1/4表示求均值,xi中有4个数),使用torch完成其向前计算的过程
如果x为参数,需要对其进行梯度的计算和更新
那么,在最开始随机设置x的值的过程中,需要设置他的requires_grad属性为True,其默认值为False
import torch
x = torch.ones(2, 2, requires_grad=True) # 初始化参数x并设置requires_grad=True用来追踪其计算历史
print(x)
运行结果:
import torch
x = torch.ones(2, 2, requires_grad=True) # 初始化参数x并设置requires_grad=True用来追踪其计算历史
y = x + 2
print(y)
运行结果:
import torch
x = torch.ones(2, 2, requires_grad=True) # 初始化参数x并设置requires_grad=True用来追踪其计算历史
y = x + 2
z = y * y * 3 #平方x3
print(z)
运行结果:
import torch
x = torch.ones(2, 2, requires_grad=True) # 初始化参数x并设置requires_grad=True用来追踪其计算历史
y = x + 2
z = y * y * 3 # 平方x3
out = z.mean() # 求均值
print(out)
运行结果:
从上述代码可以看出:
-
x的requires_grad属性为True
-
之后的每次计算都会修改其
grad_fn属性,用来记录做过的操作-
通过这个函数和grad_fn能够组成一个和上一篇博客类似的计算图
-
import torch
a = torch.randn(2, 2)
a = ((a * 3) / (a - 1))
print(a.requires_grad) # False
a.requires_grad_(True) # 就地修改
print(a.requires_grad) # True
b = (a * a).sum()
print(b.grad_fn) #
with torch.no_grad(): # 其中的操作不会被跟踪
c = (a * a).sum() # tensor(151.6830),此时c没有gard_fn
print(c.requires_grad) # False
运行结果:
注意:
为了防止跟踪历史记录(和使用内存),可以将代码块包装在with torch.no_grad():中。在评估模型时特别有用,因为模型可能具有requires_grad = True的可训练的参数,但是我们不需要在此过程中对他们进行梯度计算。
对于1.1 中的out而言,我们可以使用backward方法来进行反向传播,计算梯度
out.backward(),此时便能够求出导数,调用
x.gard能够获取导数值
得到
tensor([[4.5000, 4.5000],
[4.5000, 4.5000]])
因为:
在等于1时其值为4.5
注意:在输出为一个标量的情况下,我们可以调用输出tensor的backword() 方法,但是在数据是一个向量的时候,调用backward()的时候还需要传入其他参数。
很多时候我们的损失函数都是一个标量,所以这里就不再介绍损失为向量的情况。
loss.backward()就是根据损失函数,对参数(requires_grad=True)去计算他的梯度,并且把它累加保存到x.gard,此时还并未更新其梯度
【获取梯度:x.grad,累加梯度, 所以:每次反向传播之前都要先把梯度置为0之后】
注意点:
-
tensor.data:-
在tensor的require_grad=False,tensor.data和tensor等价
-
require_grad=True时,tensor.data仅仅是获取tensor中的数据
-
-
tensor.numpy():-
require_grad=True不能够直接转换,需要使用tensor.detach().numpy() 【tensor.detach().numpy()能够实现对tensor中的数据的深拷贝,转化为ndarray类型】
-
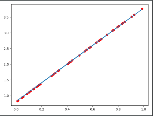
下面,使用一个自定义的数据,来使用torch实现一个简单的线性回归
假设我们的基础模型就是y = wx+b,其中w和b均为参数,我们使用y = 3x+0.8来构造数据x、y,所以最后通过模型应该能够得出w和b应该分别接近3和0.8
-
准备数据
-
计算预测值
-
计算损失,把参数的梯度置为0,进行反向传播
-
更新参数
示例代码:
import torch
from matplotlib import pyplot as plt
# 1.准备数据y=3x+0.8 ,准备参数
x = torch.rand([50])
y = 3 * x + 0.8
w = torch.rand(1, requires_grad=True)
b = torch.rand(1, requires_grad=True)
def loss_fn(y, y_predict):
loss = (y_predict - y).pow(2).mean()
for i in [w, b]:
# 每次反向传播前把梯度置为0
if i.grad is not None:
i.grad.data.zero_()
loss.backward()
return loss.data
def optimize(learning_rate):
w.data -= learning_rate * w.grad.data
b.data -= learning_rate * b.grad.data
for i in range(3000):
# 2.计算预测值
y_predict = x * w + b
# 3.计算损失,把参数的梯度置为0,进行反向传播
loss = loss_fn(y, y_predict)
if i % 500 == 0:
print(i, loss)
# 4.更新参数w和b
optimize(0.01)
# 绘制图形,观察训练结束的预测值和真实值
predict = x * w + b # 使用训练后的w和b计算预测值
plt.scatter(x.data.numpy(), y.data.numpy(), c='r')
plt.plot(x.data.numpy(), predict.data.numpy())
plt.show()
print("w", w)
print("b", b)
运行结果:
图形效果如下:
可知,w和b已经非常接近原来的预设的3和0.8
