物理学上,熵 Entropy 是“混乱”程度的量度。
系统越有序,熵值越低;系统越混乱或者分散,熵值越高。
- 信息理论:
1、从信息的完整性上进行的描述:
当系统的有序状态一致时,**数据越集中的地方熵值越小,数据越分散的地方熵值越大。
2、从信息的有序性上进行的描述:
当数据量一致时,系统越有序,熵值越低;系统越混乱或者分散,熵值越高。
1948年香农提出了信息熵(Entropy)的概念。
假如事件A的分类划分是(A1,A2,...,An),每部分发生的概率是(p1,p2,...,pn),那信息熵定义为公式如下:(log是以2为底,lg是以10为底)
课堂案例1:
如果一颗骰子的六个面都是1 ,投掷它不会给你带来任何新信息,因为你知道它的结果肯定是1,它的信息熵为??
答案:
- log(1) = 0 。
课堂案例2:
假设我们没有看世界杯的比赛,但是想知道哪支球队会是冠军,
我们只能猜测某支球队是或不是冠军,然后观众用对或不对来回答,
我们想要猜测次数尽可能少,你会用什么方法?
答案:
二分法:
假如有 16 支球队,分别编号,先问是否在 1-8 之间,如果是就继续问是否在 1-4 之间,
以此类推,直到最后判断出冠军球队是哪只。
如果球队数量是 16,我们需要问 4 次来得到最后的答案。那么世界冠军这条消息的信息熵就是 4。
如果有32个球队,准确的信息量应该是:
H = -(p1 * logp1 + p2 * logp2 + ... + p32 * logp32),
其中 p1, ..., p32 分别是这 32 支球队夺冠的概率。
当每支球队夺冠概率相等都是 1/32 的时:H = -(32 * 1/32 * log1/32) = 5
每个事件概率相同时,熵最大,这件事越不确定。
练习:
篮球比赛里,有4个球队 {A,B,C,D} ,获胜概率分别为{1/2, 1/4, 1/8, 1/8}
求H(X)
答案:
H(X) = 1\2log(2)+1\4log(4)+1\8log(8)+1\8log(8)=(1\2+1\2+3\8+3\8)log(2)=7\4bits
tips:
以2为底,记做lb,单位bit
以e为底,记做ln,单位nat
2 决策树的划分依据一------信息增益 【偏向于类别更多的样本进行划分】
2.1 概念
信息增益:以某特征划分数据集前后的熵的差值。熵可以表示样本集合的不确定性,熵越大,样本的不确定性就越大。因此可以使用划分前后集合熵的差值来衡量使用当前特征对于样本集合D划分效果的好坏。
信息增益 = entroy(前) - entroy(后)
【注意:信息增益越大,我们优先选择这个属性进行计算;信息增益优先选择属性总类别比较多的进行划分】
- 定义与公式
特征A对训练数据集D的信息增益g(D,A),定义为集合D的信息熵H(D)与特征A给定条件下D的信息条件熵H(D|A)之差,即公式为:
公式的详细解释:
【D:所有的样本数;属于代表某个类别的总体样本数。 例:假如全班有50人,男生有30人,
=30(男生k)k=1,2】
【解释:比如分完男女生后,男生又有带眼镜和不带眼镜之分,
又分为2类,D为男生的数量,
代表带眼镜的男生】
注:信息增益表示得知特征X的信息而使得类Y的信息熵减少的程度
2.2 案例:如下左图,第一列为论坛号码,第二列为性别,第三列为活跃度,最后一列用户是否流失。
我们要解决一个问题:性别和活跃度两个特征,哪个对用户流失影响更大?
通过计算信息增益可以解决这个问题,统计上右表信息
其中Positive为正样本(已流失),Negative为负样本(未流失),下面的数值为不同划分下对应的人数。
可得到三个熵:
整体熵: 【E(S)即为H(S)】
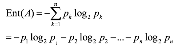
性别熵:
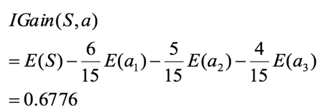
性别信息增益:
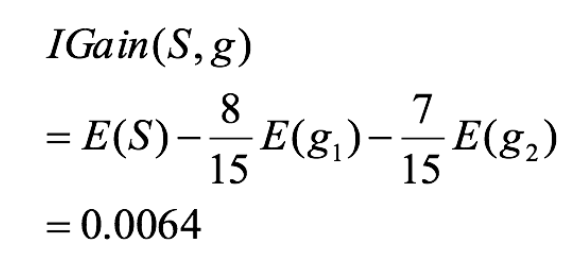
活跃度熵:
活跃度信息增益:
活跃度的信息增益比性别的信息增益大,也就是说,活跃度对用户流失的影响比性别大。
在做特征选择或者数据分析的时候,我们应该重点考察活跃度这个指标。
3 决策树的划分依据二----信息增益率增益率:增益比率度量是用前面的增益度量Gain(S,A)和所分离信息度量SplitInformation(如上例的性别,活跃度等)的比值来共同定义的。 【维持了一个分离信息度量,通过这个分离信息度量当分母,进行了限制】
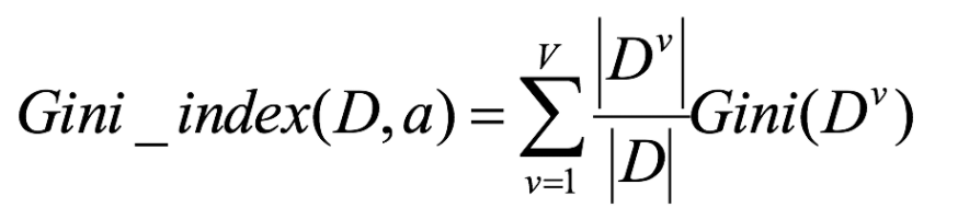
基尼值Gini(D):从数据集D中随机抽取两个样本,其类别标记不一致的概率。故,Gini(D)值越小,数据集D的纯度越高。
基尼指数Gini_index(D):一般,选择使划分后基尼系数最小的属性作为最优化分属性。
请根据下图列表,按照基尼指数的划分依据,做出决策树。
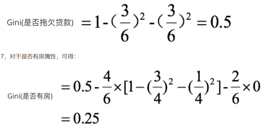
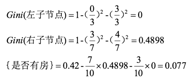
1,对数据集非类标号属性{是否有房,婚姻状况,年收入}分别计算它们的Gini系数增益,取Gini系数增益值最大的属性作为决策树的根节点属性。
2,根节点的Gini系数为:
3,当根据是否有房来进行划分时,Gini系数增益计算过程为:
4,若按婚姻状况属性来划分,属性婚姻状况有三个可能的取值{married,single,divorced},分别计算划分后的Gini系数增益。
对比计算结果,根据婚姻状况属性来划分根节点时取Gini系数增益最大的分组作为划分结果,即:{married} | {single,divorced}
5,同理可得年收入Gini:
对于年收入属性为数值型属性,首先需要对数据按升序排序,然后从小到大依次用相邻值的中间值作为分隔将样本划分为两组。例如当面对年收入为60和70这两个值时,我们算得其中间值为65。以中间值65作为分割点求出Gini系数增益。
最大化增益等价于最小化子女结点的不纯性度量(Gini系数)的加权平均值,现在我们希望最大化Gini系数的增益。根据计算知道,三个属性划分根节点的增益最大的有两个:年收入属性和婚姻状况,他们的增益都为0.12。此时,选取首先出现的属性作为第一次划分。
6,接下来,采用同样的方法,分别计算剩下属性,其中根节点的Gini系数为(此时是否拖欠贷款的各有3个records)
【构造这棵树是循环往复的过程】
4.3 小结一,决策树构建的基本步骤如下:
-
开始将所有记录看作一个节点
-
遍历每个变量的每一种分割方式,找到最好的分割点
-
分割成两个节点N1和N2
-
对N1和N2分别继续执行2-3步,直到每个节点足够“纯”为止。 【少于多少就可以结束了,‘纯’是相对的】
二,决策树的变量可以有两种:
-
数字型(Numeric):变量类型是整数或浮点数,如前面例子中的“年收入”。用“>=”,“>”,“
关注打赏
