随着学习的积累从弱到强
简而言之:每新加入一个弱学习器,整体能力就会得到提升
代表算法:Adaboost,GBDT,XGBoost
1.2 实现过程:1.训练第一个学习器
2.调整数据分布
3.训练第二个学习器
4.再次调整数据分布
5.依次训练学习器,调整数据分布
6.整体过程实现
关键点:
如何确认投票权重?
如何调整数据分布?
AdaBoost的构造过程小结
bagging集成与boosting集成的区别:
区别一:数据方面
Bagging:对数据进行采样训练; 【重新采样】
Boosting:根据前一轮学习结果调整数据的重要性。 【对数据进行权重调整】
区别二:投票方面
Bagging:所有学习器平权投票; 【平权】
Boosting:对学习器进行加权投票。 【加权】
区别三:学习顺序
Bagging的学习是并行的,每个学习器没有依赖关系; 【并行】
Boosting学习是串行,学习有先后顺序。 【串行】
区别四:主要作用
Bagging主要用于提高泛化性能(解决过拟合,也可以说降低方差) 【过拟合】
Boosting主要用于提高训练精度 (解决欠拟合,也可以说降低偏差) 【欠拟合】
- from sklearn.ensemble import AdaBoostClassifier
- api链接:https://scikit-learn.org/stable/modules/generated/sklearn.ensemble.AdaBoostClassifier.html#sklearn.ensemble.AdaBoostClassifier
梯度提升决策树(GBDT Gradient Boosting Decision Tree) 是一种迭代的决策树算法,该算法由多棵决策树组成,所有树的结论累加起来做最终答案。它在被提出之初就被认为是泛化能力(generalization)较强的算法。近些年更因为被用于搜索排序的机器学习模型而引起大家关注。
GBDT = 梯度下降 + Boosting + 决策树
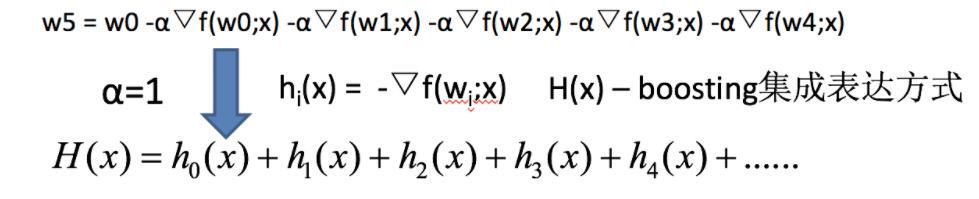
2.1 梯度的概念如果上式中的hi(x)=决策树模型,则上式就变为:
GBDT = 梯度下降 + Boosting + 决策树
2.3 案例预测编号5的身高:
编号年龄(岁)体重(KG)身高(M)15201.127301.3321701.7430601.852565?第一步:计算损失函数,并求出第一个预测值:
【损失函数中使用的是最小二乘法,此公式中乘以一个常数是不受影响的,这儿乘以1/2是为了和求导的2约掉;m为数据的个数】
第二步:求解划分点
【重构目标值时是用误差值来替换掉的】【划分点:如以5为划分点,小于5的有0个,大于5的有4个,编号为1,2,3,4】【其中计算时的0.275是目标值的绝对值的平均值】
得出:年龄21为划分点的方差=0.01+0.0025=0.0125
第三步:通过调整后目标值,求解得出h1(x)
【其实这儿的y‘即为平均值】
第四步:求解h2(x)
… …
得出结果:
编号5身高 = 1.475 + 0.03 + 0.275 = 1.78
【一直迭代容易出现过拟合】
2.4 GBDT主要执行思想1.使用梯度下降法优化代价函数;
2.使用一层决策树作为弱学习器,负梯度作为目标值;
3.利用boosting思想进行集成。
3.XGBoostXGBoost= 二阶泰勒展开+boosting+决策树+正则化
- 面试题:了解XGBoost么,请详细说说它的原理
回答要点:二阶泰勒展开,boosting,决策树,正则化
Boosting:XGBoost使用Boosting提升思想对多个弱学习器进行迭代式学习
二阶泰勒展开:每一轮学习中,XGBoost对损失函数进行二阶泰勒展开,使用一阶和二阶梯度进行优化。
决策树:在每一轮学习中,XGBoost使用决策树算法作为弱学习进行优化。
正则化:在优化过程中XGBoost为防止过拟合,在损失函数中加入惩罚项,限制决策树的叶子节点个数以及决策树叶子节点的值。
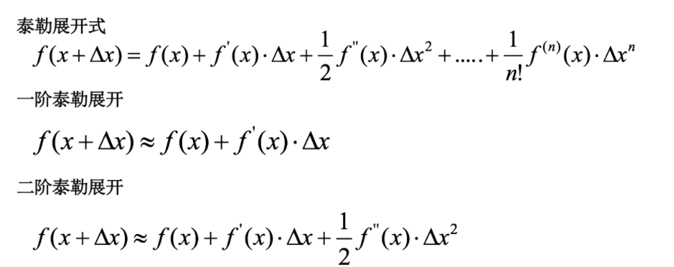
4 什么是泰勒展开式泰勒展开越多,计算结果越精确
